Lý thuyết tổng hợp Dòng điện trong các môi trường (hay, chi tiết nhất)
Bài viết Lý thuyết tổng hợp Dòng điện trong các môi trường hay, chi tiết nhất giúp bạn nắm vững kiến thức trọng tâm về Dòng điện trong các môi trường.
Lý thuyết tổng hợp Dòng điện trong các môi trường
(199k) Xem Khóa học Vật Lí 11 KNTTXem Khóa học Vật Lí 11 CDXem Khóa học Vật Lí 11 CTST
A. Tóm tắt lý thuyết
1. Dòng điện trong kim loại
- Hạt tải điện là electron tự do với mật độ n = hằng số.
- Dòng điện trong kim loại là dòng chuyển dời có hướng của các electron tự do dưới tác dụng của điện trường.
- Điện trở suất của kim loại tăng khi nhiệt độ tăng: ρ = ρ0[1 + α(t - t0)]
Trong đó:
ρ0 là điện trở suất ở nhiệt độ t0oC (thường ở 20oC)
ρ là điện trở suất ở nhiệt độ toC
α là hệ số nhiệt điện trở (K-1)
Hệ số nhiệt điện trở không những phụ thuộc vào nhiệt độ mà vào cả độ sạch và chế độ gia công của vật liệu đó.
- Suất điện động nhiệt điện:
E = αT(T1 - T2)
Trong đó:
T1 là nhiệt độ ở đầu có nhiệt độ cao hơn (K)
T2 là nhiệt độ ở đầu có nhiệt độ thấp hơn (K)
αT là hệ số nhiệt điện động (V/K)
2. Dòng điện trong chất điện phân
- Chất điện phân là các dung dịch axit, bazơ, muối hoặc các hợp chất này nóng chảy.
- Hạt tải điện là các ion dương và ion âm bị phân li từ phân tử chất điện phân.
- Dòng điện trong chất điện phân là dòng chuyển dời có hướng của các ion trong điện trường.
- Hiện tượng điện phân là hiện tượng dòng điện tách các hợp chất thành các thành phần hóa học và đưa chúng đến các điện cực.
- Định luật Fa-ra-đây thứ nhất: Khối lượng vật chất được giải phóng ở điện cực của bình điện phân tỉ lệ thuận với điện trường chạy qua bình đó: m = k.q
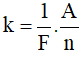
- Định luật Fa-ra-đây thứ hai: Đương lượng điện hóa k của một nguyên tố tỉ lệ với đương lượng gam
của nguyên tố đó.
Hệ số tỉ lệ là
, trong đó F gọi là số Fa-ra-đây.
- Khối lượng của chất được giải phóng ở điện cực tuân theo định luật Fa-ra-đây:
- Ứng dụng: Điều chế clo, xút, luyện kim (nhôm), mạ điện…
3. Dòng điện trong chất khí
- Chất khí vốn không có hạt tải điện. Các hạt tải điện (electron, ion) được tạo ra nhờ tác nhân ion hóa.
- Dòng điện trong chất khí là dòng chuyển dời có hướng của các electron và các ion trong điện trường.
- Dẫn điện không tự lực: Biến mất khi không còn tác nhân ion hóa.
- Dẫn điện tự lực: Duy trì được nhờ tự tạo ra hạt tải điện ban đầu và nhân số hạt tải điện ấy lên nhiều lần nhờ dòng điện chạy qua.
- Hồ quang điện: Tự tạo ra electron nhờ phát xạ nhiệt electron từ catot nóng. Nhiệt độ catot được duy trì nhờ dòng điện.
Ứng dụng: làm đèn ống, hàn điện…
- Tia lửa điện: Tự tạo ra electron và ion dương nhờ ion hóa chất khí bằng điện trường mạnh. Xảy ra trong tia sét.
Ứng dụng: làm bugi ô tô, xe máy…
4. Dòng điện trong chân không
- Chân không vốn không có hạt tải điện. Dẫn điện được khi đưa electron vào.
- Dòng điện trong chân không là dòng chuyển dời có hướng của các electron.
- Điôt chân không có tính chỉnh lưu.
- Tia catot (tia âm cực) là chùm electron bay tự do. Tia catot mang năng lượng cao.
- Tia catot có thể được tạo ra bằng phóng điện qua chất khí ở áp suất thấp hoặc bằng súng electron.
- Ứng dụng: Làm điôt chân không, ống phóng điện tử, đèn hình…
5. Dòng điện trong chất bán dẫn
- Giá trị của điện trở suất nằm trung gian giữa điện trở suất của kim loại và điện trở suất của điện môi.
- Hạt tải điện trong chất bán dẫn:
+ Là electron nhưng thể hiện dưới hai dạng: electron tự do (tích điện âm) và lỗ trống (tích điện dương).
+ Là do chuyển động nhiệt hoặc các tác nhân ion hóa khác sinh ra.
- Dòng điện trong chất bán dẫn là dòng chuyển dời có hướng của các electron tự do và lỗ trống dưới tác dụng của điện trường.
- Bán dẫn loại n: Chứa tạp chất đôno, mật độ electron rất lớn so với mật độ lỗ trống.
- Bán dẫn loại p: Chứa tạp chất axepto, mật độ lỗ trống rất lớn so với mật độ electon.
- Lớp chuyển tiếp p – n có tính chỉnh lưu, dùng làm điôt bán dẫn.
- Cấu trúc n – p – n với miền p rất mỏng có hiệu ứng tranzito và khả năng khuếch đại dòng điện, được dùng làm tranzito.
(199k) Xem Khóa học Vật Lí 11 KNTTXem Khóa học Vật Lí 11 CDXem Khóa học Vật Lí 11 CTST
Xem thêm tóm tắt lý thuyết Vật Lí lớp 11 hay, chi tiết khác:
- Lý thuyết Dòng điện trong chất khí
- Lý thuyết Dòng điện trong chân không
- Lý thuyết Dòng điện trong chất bán dẫn
- Lý thuyết tổng hợp: Dòng điện trong các môi trường
Tủ sách VIETJACK shopee lớp 10-11 (cả 3 bộ sách):
Đã có app VietJack trên điện thoại, giải bài tập SGK, SBT Soạn văn, Văn mẫu, Thi online, Bài giảng....miễn phí. Tải ngay ứng dụng trên Android và iOS.
Theo dõi chúng tôi miễn phí trên mạng xã hội facebook và youtube:Nếu thấy hay, hãy động viên và chia sẻ nhé! Các bình luận không phù hợp với nội quy bình luận trang web sẽ bị cấm bình luận vĩnh viễn.
- Giải Tiếng Anh 11 Global Success
- Giải sgk Tiếng Anh 11 Smart World
- Giải sgk Tiếng Anh 11 Friends Global
- Lớp 11 - Kết nối tri thức
- Soạn văn 11 (hay nhất) - KNTT
- Soạn văn 11 (ngắn nhất) - KNTT
- Giải sgk Toán 11 - KNTT
- Giải sgk Vật Lí 11 - KNTT
- Giải sgk Hóa học 11 - KNTT
- Giải sgk Sinh học 11 - KNTT
- Giải sgk Lịch Sử 11 - KNTT
- Giải sgk Địa Lí 11 - KNTT
- Giải sgk Giáo dục KTPL 11 - KNTT
- Giải sgk Tin học 11 - KNTT
- Giải sgk Công nghệ 11 - KNTT
- Giải sgk Hoạt động trải nghiệm 11 - KNTT
- Giải sgk Giáo dục quốc phòng 11 - KNTT
- Giải sgk Âm nhạc 11 - KNTT
- Lớp 11 - Chân trời sáng tạo
- Soạn văn 11 (hay nhất) - CTST
- Soạn văn 11 (ngắn nhất) - CTST
- Giải sgk Toán 11 - CTST
- Giải sgk Vật Lí 11 - CTST
- Giải sgk Hóa học 11 - CTST
- Giải sgk Sinh học 11 - CTST
- Giải sgk Lịch Sử 11 - CTST
- Giải sgk Địa Lí 11 - CTST
- Giải sgk Giáo dục KTPL 11 - CTST
- Giải sgk Hoạt động trải nghiệm 11 - CTST
- Giải sgk Âm nhạc 11 - CTST
- Lớp 11 - Cánh diều
- Soạn văn 11 Cánh diều (hay nhất)
- Soạn văn 11 Cánh diều (ngắn nhất)
- Giải sgk Toán 11 - Cánh diều
- Giải sgk Vật Lí 11 - Cánh diều
- Giải sgk Hóa học 11 - Cánh diều
- Giải sgk Sinh học 11 - Cánh diều
- Giải sgk Lịch Sử 11 - Cánh diều
- Giải sgk Địa Lí 11 - Cánh diều
- Giải sgk Giáo dục KTPL 11 - Cánh diều
- Giải sgk Tin học 11 - Cánh diều
- Giải sgk Công nghệ 11 - Cánh diều
- Giải sgk Hoạt động trải nghiệm 11 - Cánh diều
- Giải sgk Giáo dục quốc phòng 11 - Cánh diều
- Giải sgk Âm nhạc 11 - Cánh diều


Giải bài tập SGK & SBT
Tài liệu giáo viên
Sách
Khóa học
Thi online
Hỏi đáp

