10 câu trắc nghiệm về Công suất của Nguồn điện, Máy thu điện chọn lọc, có đáp án
Với 10 câu trắc nghiệm về Công suất của Nguồn điện, Máy thu điện có lời giải chi tiết sẽ giúp học sinh ôn tập, biết cách làm câu trắc nghiệm về Công suất của Nguồn điện, Máy thu điện.
10 câu trắc nghiệm về Công suất của Nguồn điện, Máy thu điện chọn lọc, có đáp án
(199k) Học Vật Lí 11 KNTTHọc Vật Lí 11 CDHọc Vật Lí 11 CTST
Câu 1. Một máy thu điện có cường độ 0,2A chạy qua. Biết hiệu điện thế giữa hai cực của máy lớn hơn suất phản điện của nó là 0,6 V. Kết luận nào không đúng ?
A. Nhiệt lượng tỏa ra trong một phút là 7,2J.
B. Công suất tỏa nhiệt của máy là 0,12W.
C. Công suất có ích là 0,12W.
D. Điện trở của máy thu là 3Ω.
Lời giải:
Chọn C.
- Dòng điện đi vào cực dương của máy thu:
( Chọn D. đúng)
- Công suất tỏa nhiệt: P = I2R = 0,04.3 = 0,12W (B đúng)
- Nhiệt lượng tỏa ra trong một phút: Q = Pt = 0,12.60 = 7,2 (J) . ( A đúng)
→ C sai vì chưa thể xác định được công suất có ích.
Câu 2. Một acquy được nạp điện sau thời gian 10h thì có dung lượng là q = 7200C. Biết suất phản điện và điện trở trong của acquy ξ = 9V và r = 1,5Ω. Tính hiệu điện thế đặt vào hai cực của acquy.
A. 9V. B. 9,3V.
C. 8,5V. D. 7,8V.
Lời giải:
Chọn B.
Dòng điện đi vào cực dương của acquy
Hiệu điện thế đặt vào hai cực của acquy: U = ξp + I.r = 9,3V
Câu 3. Một máy thu điện có dòng điện 0,3A chạy qua. Biết suất điện động và điện trở trong của máy thu là ξ = 16V và r = 2Ω. Tính công suất nạp điện và công suất tỏa nhiệt.
A. 4,98 W và 0,1 W. B. 5,84 W và 0,18 W.
C. 4,8 W và 0,18 W. D. 4,98 W và 0,18 W.
Lời giải:
Chọn C.
Dòng điện đi vào cực dương của máy thu điện nên U = ξp + I.r = 16 + 0,3.2 = 16,6V
Công suất nạp điện: P = UI = I2.r = 4,8W
(Hoặc C2 : Pn = ξ.I = 16.0,3 = 4,8W ).
Công suất tỏa nhiệt: P' = I2.r = 0,32.2 = 0,18W
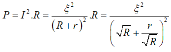
Câu 4. Một mạch điện kín gồm một nguồn điện có suất điện động 26V, điện trở trong 1Ω mắc vào mạch ngoài là hai điện trở R1 = 20Ω song song R2 = 30Ω. Công suất của nguồn và mạch ngoài lần lượt là
A. 5,2W và 4,8W. B. 52W và 48W.
C. 52W và 48W. D. 52W và 24W.
Lời giải:
Chọn B.
Điện trở mạch ngoài
Công suất của nguồn điện: Pn = ξ.I = 26.2 = 52 (W)
Công suất của mạch ngoài: P = I2.R = 4.12 = 48 (W)
Câu 5. Mạch kín gồm nguồn điện có suất điện động 12V, điện trở trong 2Ω. Cho biết công suất mạch ngoài 16W. Điện trở mạch ngoài có giá trị bằng
A. 1Ω và 4Ω. B. 2Ω và 4Ω.
C. 1Ω và 3Ω. D. 2Ω và 3Ω.
Lời giải:
Chọn A.
Cường độ dòng điện qua mạch:
Công suất mạch ngoài bằng: P = I2.R = 16W
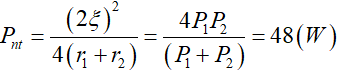
Câu 6. Hai nguồn điện có suất điện động như nhau ξ1 = ξ2 = ξ, các điện trở trong r1, r2 khác nhau. Biết công suất lớn nhất mà mỗi nguồn có thể cung cấp được cho mạch ngoài P1 = 20W, P2 = 30W. Tính công suất lớn nhất mà cả hai nguồn có thể cung cấp cho mạch ngoài khi chúng mắc nối tiếp và song song.
A. 35W và 40W. B. 48W và 35W.
C. 48W và 50W. D. 35W và 48W.
Lời giải:
Chọn C.
Công suất của nguồn điện
Công suất đạt giá trị cực đại khi
Ta có:
- Khi ghép nối tiếp:
- Khi ghép song song:
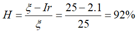
Câu 7. Môt máy phát điện cug cấp điện cho một động cơ. Suất điện động và điện trở trong của máy là ξ = 25V, r = 1Ω. Dòng điện chạy qua động cơ I = 2A, điện trở của các cuộn dây trong động cơ R = 1,5Ω. Hãy tính công suất của nguồn điện và hiệu suất của nó.
A. 50W và 92%. B. 60W và 95%.
C. 60W và 92%. D. 50W và 95%.
Lời giải:
Chọn A.
Công suất của nguồn điện: P = ξ.I = 25.2 = 50 (W)
Hiệu suất của nguồn điện:
Câu 8. Môt máy phát điện cug cấp điện cho một động cơ. Suất điện động và điện trở trong của máy là ξ = 25V, r = 1Ω. Dòng điện chạy qua động cơ I = 2A, điện trở của các cuộn dây trong động cơ R = 1,5Ω. Hãy tính công suất tỏa nhiệt và hiệu suất của động cơ.
A. 6W và 78%. B. 6W và 87%.
C. 8W và 65%. D. 8W và 56%.
Lời giải:
Chọn B.
Công suất tỏa nhiệt: P' = I2.R = 1,5.4 = 6 (W)
Công suất tiêu thụ: P = UI = (ξ - r.I) = 46 W
Hiệu suất của động cơ:
Câu 9. Cho đoạn mạch AB như hình vẽ, hiệu điện thế UAB = 9 V, dòng điện chạy từ A đến B. Suất điện động và điện trở nội của nguồn bằng 12V - 2Ω. Công suất phát điện (công suất có ích) của nguồn bằng
A. 94,5 W. B. 108 W.
C. -94,5 W. D. -108 W.
Lời giải:
Chọn C.
Ta có
Công suất tiêu thụ của đoạn mạch: Ptt = UAB.I = 9.10,5 = 94,5W
⇒ Pphat = -Ptt = -94,5W
Câu 10. Mắc một acquy 9V - r Ω vào nguồn điện AB có UAB = 12 V, dòng điện chạy từ A đến B. Công suất nạp điện của acquy là 27 W. Giá trị r là
A. 0,25 Ω. B. 0,5 Ω.
C. 0,75 Ω. D. 1 Ω.
Lời giải:
Chọn D.
Công suất nạp điện của nguồn là
(199k) Học Vật Lí 11 KNTTHọc Vật Lí 11 CDHọc Vật Lí 11 CTST
Xem thêm các dạng bài tập Vật Lí lớp 11 có trong đề thi Tốt nghiệp THPT khác:
- Dạng 1: Công và công suất của dòng điện không đổi
- Trắc nghiệm Công và công suất của dòng điện không đổi
- Dạng 2: Công suất của Nguồn điện, Máy thu điện
- 50 bài tập trắc nghiệm Công suất của dòng điện không đổi có đáp án (phần 1)
- 50 bài tập trắc nghiệm Công suất của dòng điện không đổi có đáp án (phần 2)
Tủ sách VIETJACK shopee lớp 10-11 (cả 3 bộ sách):
Đã có app VietJack trên điện thoại, giải bài tập SGK, SBT Soạn văn, Văn mẫu, Thi online, Bài giảng....miễn phí. Tải ngay ứng dụng trên Android và iOS.
Theo dõi chúng tôi miễn phí trên mạng xã hội facebook và youtube:Nếu thấy hay, hãy động viên và chia sẻ nhé! Các bình luận không phù hợp với nội quy bình luận trang web sẽ bị cấm bình luận vĩnh viễn.
- Giải Tiếng Anh 11 Global Success
- Giải sgk Tiếng Anh 11 Smart World
- Giải sgk Tiếng Anh 11 Friends Global
- Lớp 11 - Kết nối tri thức
- Soạn văn 11 (hay nhất) - KNTT
- Soạn văn 11 (ngắn nhất) - KNTT
- Giải sgk Toán 11 - KNTT
- Giải sgk Vật Lí 11 - KNTT
- Giải sgk Hóa học 11 - KNTT
- Giải sgk Sinh học 11 - KNTT
- Giải sgk Lịch Sử 11 - KNTT
- Giải sgk Địa Lí 11 - KNTT
- Giải sgk Giáo dục KTPL 11 - KNTT
- Giải sgk Tin học 11 - KNTT
- Giải sgk Công nghệ 11 - KNTT
- Giải sgk Hoạt động trải nghiệm 11 - KNTT
- Giải sgk Giáo dục quốc phòng 11 - KNTT
- Giải sgk Âm nhạc 11 - KNTT
- Lớp 11 - Chân trời sáng tạo
- Soạn văn 11 (hay nhất) - CTST
- Soạn văn 11 (ngắn nhất) - CTST
- Giải sgk Toán 11 - CTST
- Giải sgk Vật Lí 11 - CTST
- Giải sgk Hóa học 11 - CTST
- Giải sgk Sinh học 11 - CTST
- Giải sgk Lịch Sử 11 - CTST
- Giải sgk Địa Lí 11 - CTST
- Giải sgk Giáo dục KTPL 11 - CTST
- Giải sgk Hoạt động trải nghiệm 11 - CTST
- Giải sgk Âm nhạc 11 - CTST
- Lớp 11 - Cánh diều
- Soạn văn 11 Cánh diều (hay nhất)
- Soạn văn 11 Cánh diều (ngắn nhất)
- Giải sgk Toán 11 - Cánh diều
- Giải sgk Vật Lí 11 - Cánh diều
- Giải sgk Hóa học 11 - Cánh diều
- Giải sgk Sinh học 11 - Cánh diều
- Giải sgk Lịch Sử 11 - Cánh diều
- Giải sgk Địa Lí 11 - Cánh diều
- Giải sgk Giáo dục KTPL 11 - Cánh diều
- Giải sgk Tin học 11 - Cánh diều
- Giải sgk Công nghệ 11 - Cánh diều
- Giải sgk Hoạt động trải nghiệm 11 - Cánh diều
- Giải sgk Giáo dục quốc phòng 11 - Cánh diều
- Giải sgk Âm nhạc 11 - Cánh diều


Giải bài tập SGK & SBT
Tài liệu giáo viên
Sách
Khóa học
Thi online
Hỏi đáp

