Cách giải bài tập Từ thông qua một khung dây kín (hay, chi tiết)
Bài viết Cách giải bài tập Từ thông qua một khung dây kín với phương pháp giải chi tiết giúp học sinh ôn tập, biết cách làm bài tập Từ thông qua một khung dây kín.
Cách giải bài tập Từ thông qua một khung dây kín (hay, chi tiết)
(199k) Xem Khóa học Vật Lí 11 KNTTXem Khóa học Vật Lí 11 CDXem Khóa học Vật Lí 11 CTST
A. Phương pháp & Ví dụ
+ Từ thông qua diện tích S đặt trong từ trường: Φ = BScos(n→, ).
+ Từ thông qua khung dây có N vòng dây: Φ = NBScos(n→, ).
Trong đó: Φ: từ thông qua mạch kín
S: diện tích của mạch (m2)
B: cảm ứng từ gửi qua mạch (T)
α = (, n→), n→ là pháp tuyến của mạch kín
N: số vòng dây của mạch kín.
Tùy thuộc vào góc α mà từ thông có thể có giá trị âm hoặc dương:
Khi 0° < α < 90° ⇒ cos α > 0 thì Φ dương
Khi 90° < α < 180° ⇒ cos α < 0 thì Φ âm
Khi α = 90° ⇒ cos α = 0 thì Φ = 0
Khi α = 0° ⇒ cos α = 1 thì Φmax = BS
Khi α = 180° ⇒ cos α = -1 thì Φmin = -BS
⇒ -BS ≤ Φ ≤ BS
- Ý nghĩa của từ thông: Từ thông diễn tả số đường sức từ xuyên qua một diện tích nào đó
- Đơn vị: Vê-be (Wb).
Ví dụ 1: Một vòng dây phẵng giới hạn diện tích S = 5 cm2 đặt trong từ trường đều cảm ứng từ B = 0,1 T. Mặt phẵng vòng dây làm thành với một góc α = 30°. Tính từ thông qua S.
Hướng dẫn:
Mặt phẵng vòng dây làm thành với góc 30° nên góc giữa và pháp tuyến n→ là 60°. Do đó: Φ = BScos(n→, ) = 25.10-6 Wb.
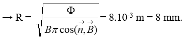
Ví dụ 2: Một khung dây đặt trong từ trường đều có cảm ứng từ B = 0,06 T sao cho mặt phẵng khung dây vuông góc với các đường sức từ. Từ thông qua khung dây là 1,2.10-5 Wb. Tính bán kín vòng dây.
Hướng dẫn:
Ta có: Φ = BScos(n→, ) = BπR2cos(n→, )
Ví dụ 3: Một khung dây phẵng giới hạn diện tích S = 5 cm2 gồm 20 vòng dây đặt trong từ trường đều có cảm ứng từ từ B = 0,1 T sao cho mặt phẵng khung dây hợp với véc tơ cảm ứng từ một góc 60°. Tính từ thông qua diện tích giới hạn bởi khung dây.
Hướng dẫn:
Ta có: Φ = NBScos(n→, ) = 8,7.10-4 Wb.
Ví dụ 4: Một khung dây hình vuông cạnh 5 cm đặt trong từ trường đều có cảm ứng từ B = 8.10-4 T. Từ thông qua hình vuông đó bằng 10-6 Wb. Tính góc hợp giữa véc tơ cảm ứng từ và véc tơ pháp tuyến của hình vuông đó.
Hướng dẫn:
Ta có: Φ = BScosα
B. Bài tập
Bài 1: Một khung dây hình chữ nhật ABCD gồm 20 vòng cạnh 5 cm và 4 cm. Khung đặt trong từ trường đều B = 3.10-3 T, đường sức vuông góc với mặt phẳng khung. Quay khung 60° quanh cạnh AB, độ biến thiên từ thông qua khung bằng bao nhiêu?
Lời giải:
Từ thông qua khung Φ = NBScos α
→ Độ biến thiên từ thông qua khung:
ΔΦ = NBS.Δcos α = 20.3.10-3.(0,05.0,04).(cos60° - cos0°) = -60.10-6 Wb
Bài 2: Một khung dây hình vuông cạnh 5 cm được đặt trong từ trường đều, B = 0,01 T. Đường sức từ vuông góc với mặt khung. Quay khung cho mặt phẳng khung song song với các đừng sức từ. Độ biến thiên từ thông bằng bao nhiêu?
Lời giải:
Từ thông qua khung Φ = NBScos α
→ Độ biến thiên từ thông qua khung:
ΔΦ = NBS.Δcos α = 0,01.(0,05.0,05).(cos90° - cos0°) = -25.10-6 Wb
Bài 3: Một khung dây có diện tích 5 cm2 gồm 50 vòng dây. Đặt khung dây trong từ trường đều có cảm ứng từ B và quay khung theo mọi hướng. Từ thông qua khung có giá trị cực đại là 5.10-3 Wb. Cảm ứng từ B có giá trị bằng bao nhiêu?
Lời giải:
Từ thông qua khung Φ = NBScos α → từ thông cực đại Φ = NBS
→ Độ lớn cảm ứng từ
Bài 4: Một hình vuông cạnh 5 cm đặt trong từ trường đều có cảm ứng từ B = 8.10-4 T. Từ thông qua hình vuông đó bằng 10-6 Wb. Góc hợp bởi véc - tơ cảm ứng từ với mặt phẳng của hình vuông đó bằng bao nhiêu?
Lời giải:
Từ thông qua khung Φ = NBScos α
→ Góc hợp bởi véc - tơ cảm ứng từ với mặt phẳng của hình vuông đó là 90° - 60° = 30°.
C. Bài tập tự luyện
Bài 1: Từ thông qua một vòng dây thẳng diện tích S có công thức:
A. Φ = B.S.sinα
B. Φ = B.S.tanα
C. Φ = B.S.cosα
D. Φ = B.S.cotanα
Bài 2: Chọn câu đúng.
A. Từ thông là một đại lượng luôn luôn dương.
B. Từ thông qua một mạch kín luôn bằng không.
C. Từ thông là một đại lượng có hướng.
D. Từ thông qua mạch kín tỉ lệ với tiết diện của mạch.
Bài 3: Từ thông qua vòng dây phẳng đặt trong từ trường đều thay đổi khi
A. Dịch chuyển vòng dây một đoạn d theo phương các đường sức từ.
B. Bóp méo vòng dây.
C. Quay vòng dây một góc 3600.
D. Tất cả các câu trên đều đúng.
Bài 4: Cho một vòng đây có mặt phẳng khung dây hợp với vectơ một góc α. Từ thông gửi qua khung dây đạt cực đại khi
A. α = 00
B. α = 300
C. α = 600
D. α = 900
Bài 5: Một hình vuông cạnh 5 cm, đặt trong từ trường dều có cảm ứng từ
B = 10-4 T. từ thông qua hình vuông đó bằng 10-6 Wb. Góc hợp bởi vectơ cảm ứng từ và vectơ pháp tuyến hình vuông đó là:
A. α = 00
B. α = 900
C. α = 1200
D. α = 1800
Bài 6: Một hình chữ nhật kích thước 3 cm×4 cm đặt trong từ trường đều có cảm ứng từ B = 5.10-4 T. Vectơ cảm ứng từ hợp với mặt phẳng một góc 300. Từ thông qua hình chữ nhật đó là
A. 6.10-7 Wb.
B. 3.10-7 Wb.
C. 5,2.10-7 Wb.
D. 3.10-3 Wb.
Bài 7: Một khung dây phẳng có diện tích 12 cm2 đặt trong từ trường đều có cảm ứng từ B = 0,05 T, mặt phẳng khung dây hợp với đường cảm ứng từ một góc 300. Tính độ lớn từ thông qua khung.
Bài 8: Một khung dây có 10 vòng dây, diện tích mỗi vòng dây là 20 cm2, đặt khung trong từ trường đều có cảm ứng từ B = 0,02 T. Tính từ thông xuyên qua khung dây, biết vectơ pháp tuyến của mặt phẳng khung dây hợp với vectơ một góc 600.
Bài 9: Một khung dây phẳng có diện tích 5 cm2 đặt trong từ trường đều có cảm ứng từ 0,01 T. Mặt phẳng khung dây hợp với vectơ một góc 300. Tính từ thông qua diện tích S.
Bài 10: Khung dây hình chữ nhật có kích thước (2 cm x 3 cm) gồm 20 vòng dây đặt trong từ trường đều có cảm ứng từ B. khi vectơ pháp tuyến của khung tạo với vectơ một góc 600 thì từ thông xuyên qua khung là 2,4.10-4 Wb. Tính cảm ứng từ B của từ trường.
(199k) Xem Khóa học Vật Lí 11 KNTTXem Khóa học Vật Lí 11 CDXem Khóa học Vật Lí 11 CTST
Xem thêm các dạng bài tập Vật Lí lớp 11 có trong đề thi THPT Quốc gia khác:
- Lý thuyết Hiện tượng cảm ứng điện từ
- Dạng 1: Chiều dòng điện cảm ứng
- Trắc nghiệm Chiều dòng điện cảm ứng
- Trắc nghiệm Từ thông qua một khung dây kín
- Dạng 3: Suất điện động cảm ứng trong khung dây
- Trắc nghiệm Suất điện động cảm ứng trong khung dây
- 50 câu trắc nghiệm Hiện tượng cảm ứng điện từ có đáp án (phần 1)
- 50 câu trắc nghiệm Hiện tượng cảm ứng điện từ có đáp án (phần 2)
Tủ sách VIETJACK shopee lớp 10-11 (cả 3 bộ sách):
Đã có app VietJack trên điện thoại, giải bài tập SGK, SBT Soạn văn, Văn mẫu, Thi online, Bài giảng....miễn phí. Tải ngay ứng dụng trên Android và iOS.
Theo dõi chúng tôi miễn phí trên mạng xã hội facebook và youtube:Nếu thấy hay, hãy động viên và chia sẻ nhé! Các bình luận không phù hợp với nội quy bình luận trang web sẽ bị cấm bình luận vĩnh viễn.
- Giải Tiếng Anh 11 Global Success
- Giải sgk Tiếng Anh 11 Smart World
- Giải sgk Tiếng Anh 11 Friends Global
- Lớp 11 - Kết nối tri thức
- Soạn văn 11 (hay nhất) - KNTT
- Soạn văn 11 (ngắn nhất) - KNTT
- Giải sgk Toán 11 - KNTT
- Giải sgk Vật Lí 11 - KNTT
- Giải sgk Hóa học 11 - KNTT
- Giải sgk Sinh học 11 - KNTT
- Giải sgk Lịch Sử 11 - KNTT
- Giải sgk Địa Lí 11 - KNTT
- Giải sgk Giáo dục KTPL 11 - KNTT
- Giải sgk Tin học 11 - KNTT
- Giải sgk Công nghệ 11 - KNTT
- Giải sgk Hoạt động trải nghiệm 11 - KNTT
- Giải sgk Giáo dục quốc phòng 11 - KNTT
- Giải sgk Âm nhạc 11 - KNTT
- Lớp 11 - Chân trời sáng tạo
- Soạn văn 11 (hay nhất) - CTST
- Soạn văn 11 (ngắn nhất) - CTST
- Giải sgk Toán 11 - CTST
- Giải sgk Vật Lí 11 - CTST
- Giải sgk Hóa học 11 - CTST
- Giải sgk Sinh học 11 - CTST
- Giải sgk Lịch Sử 11 - CTST
- Giải sgk Địa Lí 11 - CTST
- Giải sgk Giáo dục KTPL 11 - CTST
- Giải sgk Hoạt động trải nghiệm 11 - CTST
- Giải sgk Âm nhạc 11 - CTST
- Lớp 11 - Cánh diều
- Soạn văn 11 Cánh diều (hay nhất)
- Soạn văn 11 Cánh diều (ngắn nhất)
- Giải sgk Toán 11 - Cánh diều
- Giải sgk Vật Lí 11 - Cánh diều
- Giải sgk Hóa học 11 - Cánh diều
- Giải sgk Sinh học 11 - Cánh diều
- Giải sgk Lịch Sử 11 - Cánh diều
- Giải sgk Địa Lí 11 - Cánh diều
- Giải sgk Giáo dục KTPL 11 - Cánh diều
- Giải sgk Tin học 11 - Cánh diều
- Giải sgk Công nghệ 11 - Cánh diều
- Giải sgk Hoạt động trải nghiệm 11 - Cánh diều
- Giải sgk Giáo dục quốc phòng 11 - Cánh diều
- Giải sgk Âm nhạc 11 - Cánh diều


Giải bài tập SGK & SBT
Tài liệu giáo viên
Sách
Khóa học
Thi online
Hỏi đáp

