Cách xác định véctơ cường độ điện trường tổng hợp tại M (hay, chi tiết)
Bài viết Cách xác định véctơ cường độ điện trường tổng hợp tại M với phương pháp giải chi tiết giúp học sinh ôn tập, biết cách làm bài tập Cách xác định véctơ cường độ điện trường tổng hợp tại M.
Cách xác định véctơ cường độ điện trường tổng hợp tại M (hay, chi tiết)
(199k) Xem Khóa học Vật Lí 11 KNTTXem Khóa học Vật Lí 11 CDXem Khóa học Vật Lí 11 CTST
A. Phương pháp & Ví dụ
Áp dụng nguyên lý chồng chất điện trường:
- Xác định phương, chiều, độ lớn của từng vectơ cường độ điện trường do từng điện tích gây ra.
- Vẽ vectơ cường độ điện trường tổng hợp (quy tắc hình bình hành).
- Xác định độ lớn của cường độ điện trường tổng hợp từ hình vẽ.
Khi xác định tổng của hai vectơ cần lưu ý các trường hợp đặc biệt: ↑↑, ↑↓,⊥, tam giác vuông, tam giác đều, … Nếu không xảy ra các trường hợp đặt biệt thì có thể tính độ dài của vectơ bằng định lý hàm cosin: a2 = b2 + c2 – 2bc.cosA.
- Xét trường hợp tại điểm M trong vùng điện trường của 2 điện tích: E→M = E→1 + E→2
+ E→1 ↑↑ E→2 → EM = E1 + E2
+ E→1 ↑↓ E→2 → EM = E1 - E2
+
+
Nếu E1 = E2 → E = 2E1cos(α/2)
Ví dụ 1: Tại hai điểm A và B cách nhau 10 cm trong không khí có đặt hai điện tích q1 = q2 = 16.10-8C. Xác định cường độ điện trường do hai điện tích điểm này gây ra tại
a. M với MA = MB = 5 cm.
b. N với NA = 5 cm, NB = 15 cm.
c. C biết AC = BC = 8 cm.
d. Xác định lực điện trường tác dụng lên q3 = 2.10-6 C đặt tại C.
Hướng dẫn:
a. Ta có MA = MB = 5 cm và AB = 10 cm nên M là trung điểm của AB.
Vecto cường độ điện trường tại M là tổng hợp hai vecto cường độ điện trường do mỗi điện tích gây ra: = E→1M + E→2M
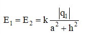
Với
Vì E→1M cùng phương và ngược chiều với E→2M nên EM = E1M – E2M
b. Ta có NA = 5 cm, NB = 15 cm và AB = 10 cm nên N nằm ngoài AB và nằm trên đường thẳng AB.
Vecto cường độ điện trường tại M là tổng hợp hai vecto cường độ điện trường do mỗi điện tích gây ra: = E→1N + E→2N
Với
Vì E→1M cùng phương và cùng chiều với E→2M nên EM = E1M + E2M = 6,4.105 V/m
c. Ta có AC = BC = 8 cm và AB = 10 cm nên C nằm trên đường trung trực của AB.
Tương tự, ta có vecto cường độ điện trường tổng hợp tại C sẽ là:
EC = 2E1Ccosα = 3,51.105 V/m
d. Lực điện trường tổng hợp tác dụng lên q3 là F = q3E = 0,7 N
Có chiều cùng chiều với E→C
Ví dụ 2: Tại hai điểm A và B cách nhau 10 cm trong không khí có đặt 2 điện tích q1 = -q2 = 6.10-6 C. Xác định cường độ điện trường do hai điện tích điểm này gây ra tại điểm C, biết AC = BC = 12 cm. Tính lực điện trường tác dụng lên điện tích q3 = -3.10-8 Cđặt tại C.
Hướng dẫn:
+ Ta có AC = BC = 12 cm và AB = 10 cm nên C nằm trên trung trực của AB. Cường độ điện trường tại C là tổng hợp của các vecto điện trường thành phần E→C = E→1C + E→2C
Trong đó E1C và E2C lần lượt là cường độ điện trường do các điện tích điểm q1 và q2 gây ta tại C. Ta có:
Từ hình vẽ ta có:
EC = 2E1Ccosα = 3,125.106 V/m.
+ Lực điện tác dụng lên điện tích q3 có chiều cùng chiều với E→C và có độ lớn F = |q3|.EC = 0,094 N
Ví dụ 3: Tại hai điểm A và B cách nhau 20 cm trong không khí có đặt hai điện tích q1 = 4.10-6 Cvà q2 = -6,4.10-6 C. Xác định cường độ điện trường do hai điện tích điểm này gây ra tại C, biết AC = 12 cm, BC = 16 cm. Xác định lực điện tác dụng lên điện tích q3 = -5.10-8 C đặt tại C.
Hướng dẫn:
+ Cường độ điện trường do các điện tích q1 và q2 gây ra tại C có chiều như hình vẽ và có độ lớn:
Ta có
+ Lực điện tác dụng lên q3 ngược chiều với E→C và có độ lớn:
F = |q3|EC
Ví dụ 4: Hai điện tích q1 = q2 (q > 0) đặt tại hai điểm A và B với AB = 2a. M là điểm nằm trên đường trung trực của AB và cách AB một đoạn h.
a. Xác đinh vecto cường độ điện trường tại điểm M.
b. Xác định x để cường độ điện trường tại M cực đại, tính giá trị đó.
Hướng dẫn:
a. Cường độ điện trường tại điểm M là E→M = E→1 + E→2
Trong đó E→1, E→2 là cường độ điện trường do q1 và q2 gây ra tại M.
+ Cường độ điện trường tổng hợp tại M
b. Xác định h để EM cực đại
Ta có
EM cực đại khi
B. Bài tập
Bài 1: Tại 2 điểm A và B cách nhau 10 cm trong không khí có đặt 2 điện tích q1 = q2 = 16.10-8 C. Xác định cường độ điện trường do hai điện tích này gây ra tại điểm C biết AC = BC = 8 cm. Xác định lực điện trường tác dụng lên điện tích q3 = 2.10-6 C đặt tại C.
Lời giải:
Các điện tích q1 và q2 gây ra tại C các véc tơ E→1 và E→2 có phương chiều như hình vẽ, có độ lớn:
E1 = E2 =
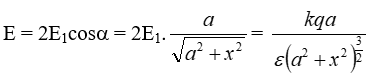
Cường độ điện trường tổng hợp tại C do các điện tích q1 và q2 gây ra là: = E→1 + E→2; có phương chiều như hình vẽ; có độ lớn:
E = E1cosα + E2cosα = 2E1cosα = 2E1. ≈ 351.103 V/m.
Lực điện trường tổng hợp do q1 và q3 tác dụng lên q3 là: = q3 . Vì q3 > 0, nên F cùng phương cùng chiều với E và có độ lớn: F = |q3|E = 0,7 N.
Bài 2: Tại hai điểm A và B cách nhau 10 cm trong không khí có đặt hai điện tích q1 = - q2 = 6.10-6C. Xác định cường độ điện trường do hai điện tích này gây ra tại điểm C biết AC = BC = 12 cm. Tính lực điện trường tác dụng lên điện tích q3 = -3.10-8 C đặt tại C.
Lời giải:
Các điện tích q1 và q2 gây ra tại C các véc tơ E→1 và E→2 có phương chiều như hình vẽ, có độ lớn:
E1 = E2 =
Cường độ điện trường tổng hợp tại C do các điện tích q1 và q2 gây ra là: = E→1 + E→2 có phương chiều như hình vẽ; có độ lớn:
E = E1cosα + E2cosα = 2E1cosα = 2E1. ≈ 312,5.104 V/m.
Lực điện trường tổng hợp do q1 và q3 tác dụng lên q3 là: = q3.
Vì q3 < 0, nên cùng phương ngược chiều với và có độ lớn: F = |q3|E = 0,094 N.
Bài 3: Tại 2 điểm A, B cách nhau 20 cm trong không khí có đặt 2 điện tích q1 = 4.10-6 C, q2 = -6,4.10-6 C. Xác định cường độ điện trường do hai điện tích này gây ra tại điểm C biết AC = 12 cm; BC = 16 cm. Xác định lực điện trường tác dụng lên q3 = -5.10-8C đặt tại C.
Lời giải:
Tam giác ABC vuông tại C. Các điện tích q1 và q2 gây ra tại C các véc tơ E→1 và E→2 có phương chiều như hình vẽ, có độ lớn:
Cường độ điện trường tổng hợp tại C do các điện tích q1 và q2 gây ra là E→1 và E→2: có phương chiều như hình vẽ; có độ lớn: .
Lực tác dụng lên q3 là: F = q3.E . Vì q3 < 0, nên F cùng phương ngược chiều với E và F = |q3|E = 0,17 N.
Bài 4: Tại hai điểm A và B cách nhau 10 cm trong không khí có đặt hai điện tích q1 = - 1,6.10-6 C và q2 = - 2,4.10-6 C. Xác định cường độ điện trường do 2 điện tích này gây ra tại điểm C. Biết AC = 8 cm, BC = 6 cm.
Lời giải:
Tam giác ABC vuông tại C. Các điện tích q1 và q2 gây ra tại C các véc tơ cường độ điện trường E→1 và E→2 có phương chiều như hình vẽ, có độ lớn:
Cường độ điện trường tổng hợp tại C do các điện tích q1 và q2 gây ra là: = E→1 + E→2 có phương chiều như hình vẽ; có độ lớn:
Bài 5: Hai điện tích + q và – q (q > 0) đặt tại hai điểm A và B với AB = 2a. M là điểm nằm trên đường trung trực của AB và cách AB một đoạn x.
a. Xác đinh vecto cường độ điện trường tại điểm M.
b. Xác định x để cường độ điện trường tại M cực đại, tính giá trị đó.
Lời giải:
a. Cường độ điện trường tại điểm M là E→M = E→1 + E→2
Trong đó E→1, E→2 là cường độ điện trường do q1 và q2 gây ra tại M.
+ Cường độ điện trường tổng hợp tại M
b. Dễ thấy rằng để EM lớn nhất thì x = 0, khi đó
Bài 6: Đặt 4 điện tích có cùng độ lớn q tại 4 đỉnh của một hình vuông ABCD cạnh a với điện tích dương đặt tại A và C, điện tích âm đặt tại B và D. Xác định cường độ tổng hợp tại giao điểm hai đường chéo của hình vuông.
Lời giải:
Các điện tích đặt tại các đỉnh của hình vuông gây ra tại giao điểm O của hai đường chéo hình vuông các véc tơ E→A, E→B, E→C, E→D có phương chiều như hình vẽ, có độ lớn: EA = EB = EC = ED = .
Cường độ điện tường tổng hợp tại O là:
= E→A + E→B + E→C + E→D = 0→; vì E→A + E→C = 0→ và E→B + E→D = 0→
Bài 7: Đặt 4 điện tích có cùng độ lớn q tại 4 đỉnh của một hình vuông ABCD cạnh a với điện tích dương đặt tại A và D, điện tích âm đặt tại B và C. Xác định cường độ tổng hợp tại giao điểm hai đường chéo của hình vuông.
Lời giải:
Các điện tích đặt tại các đỉnh của hình vuông gây ra tại giao điểm O của hai đường chéo hình vuông các véc tơ E→A, E→B, E→C, E→D có phương chiều như hình vẽ, có độ lớn: EA = EB = EC = ED = .
Cường độ điện tường tổng hợp tại O là:
= E→A + E→B + E→C + E→D có phương chiều như hình vẽ; có độ lớn:
Bài 8: Tại 3 đỉnh của một hình vuông cạnh a đặt 3 điện tích dương cùng độ lớn q. Xác định cường độ điện trường tổng hợp do 3 điện tích gây ra tại đỉnh thứ tư của hình vuông.
Lời giải:
Các điện tích đặt tại các đỉnh A, B, C của hình vuông gây ra tại đỉnh D của hình vuông các véc tơ E→A, E→B, E→C có phương chiều như hình vẽ, có độ lớn: EA = EC = ; EB =
.
Cường độ điện trường tổng hợp tại D là: = E→A + E→B + E→C; có phương chiều như hình vẽ; có độ lớn:
Bài 9: Tại 3 đỉnh A, B, C của một hình vuông cạnh a đặt 3 điện tích dương cùng độ lớn q. Trong đó điện tích tại A và C dương, còn điện tích tại B âm. Xác định cường độ điện trường tổng hợp do 3 điện tích gây ra tại đỉnh D của hình vuông.
Lời giải:
Các điện tích đặt tại các đỉnh A, B, C của hình vuông gây ra tại đỉnh D của hình vuông các véc tơ cường độ điện trường E→A, E→B, E→C có phương chiều như hình vẽ, có độ lớn: EB = EC = ; EA =
.
Cường độ điện trường tổng hợp tại D là: = E→A + E→B + E→C; có phương chiều như hình vẽ; có độ lớn:
Bài 10: Hai điện tích q1 = q2 = q > 0 đặt tại hai điểm A và B trong không khí cách nhau một khoảng AB = 2a. Xác định véc tơ cường độ điện trường tại điểm M nằm trên đường trung trực của đoạn AB và cách trung điểm H của đoạn AB một đoạn x.
Lời giải:
Các điện tích q1 và q2 gây ra tại M các véc tơ cường độ điện trường E1 và E2 có phương chiều như hình vẽ, có độ lớn:
Cường độ điện trường tổng hợp tại M do các điện tích q1 và q2 gây ra là: = E→1 + E→2 có phương chiều như hình vẽ; có độ lớn:
E = E1cosα + E2cosα = 2E1cosα
Bài 11: Hai điện tích q1 = - q2 = q > 0 đặt tại hai điểm A và B trong không khí cách nhau một khoảng AB = a. Xác định véc tơ cường độ điện trường tại điểm M nằm trên đường trung trực của AB và cách trung điểm H của đoạn AB một khoảng x.
Lời giải:
Các điện tích q1 và q2 gây ra tại M các véc tơ cường độ điện trường E→1, E→2 có phương chiều như hình vẽ, có độ lớn: E1 = E2 = .
Cường độ điện trường tổng hợp tại M do các điện tích q1 và q2 gây ra là: = E→1 + E→2 có phương chiều như hình vẽ; có độ lớn:
C. Bài tập tự luyện
Bài 1: Cho hai điện tích q1 = 4.10–10 C, q2 = –4.10–10 C, đặt tại A và B trong không khí biết AB = 2 cm. Xác định vectơ cường độ điện trường tại M biết MA = 1 cm, MB = 3 cm.
Bài 2: Tại ba đỉnh của một tam giác vuông tại A cạnh a = 50 cm, b = 40 cm, c = 30 cm. Ta đặt lần lượt các điện tích q1 = q2 = q3 = 10–9 C. Xác định vectơ cường độ điện trường tại H, H là chân đường cao kẻ từ A.
Bài 3: Hai điện tích điểm q1 = 8.10–8 C, q2 = –8.10–8 C đặt tại A và B trong không khí biết AB = 4 cm. Tìm vectơ cường độ điện trường tại C trên đường trung trực của AB và cách AB một đoạn 2 cm và từ đó suy ra lực tác dụng lên điện tích q = 2.10–9 C đặt tại C.
Bài 4: Tại hai điểm A và B cách nhau 5 cm trong chân không có hai điện tích q1 = 16.10–8 C, q2 = –9.10–8 C. Tìm cường độ điện trường tổng hợp và vẽ vectơ cường độ điện trường tại điểm C cách A một khoảng 4 cm, cách B một khoảng 3 cm.
Bài 5: Cho hai điện tích điểm q1, q2 đặt tại A và B, biết AB = 2 cm; q1 + q2 = 7.10–8 C và điểm C cách q1 là 6 cm, cách q2 là 8 cm có cường độ điện trường bằng không. Tìm q1 và q2?
Bài 6: Cho hai điện tích điểm q1 và q2 đặt tại A và B trong không khí, biết AB = 100 cm. Tìm điểm C mà tại đó cường độ điện trường bằng không với q1 = 36.10–6 C, q2 = 4.10–6C.
Bài 7: Trong chân không có hai điện tích điểm q1 = 3.10–8 C và q2 = 4.10–8 C đặt theo thứ tự tại hai đỉnh B và C của tam giác ABC vuông cân tại A với AB = AC = 0,1 m. Tính cường độ điện trường tại A.
Bài 8: Điện tích điểm q = 80 nC đặt cố định tại O trong dầu. Hằng số điện môi của dầu là ε = 4. Cường độ điện trường do q gây ra tại M cách O một khoảng MO = 30 cm là
A. 0,6.103 V/m.
B. 0,6.104 V/m.
C. 2.103 V/m.
D. 2.105 V/m
Bài 9: Một điểm cách một điện tích một khoảng cố định trong không khí có cường độ điện trường 4000 V/m theo chiều từ trái sang phải. Khi đổ một chất điện môi có hằng số điện môi bằng 2 bao chùm điện tích điểm và điểm đang xét thì cường độ điện trường tại điểm đó có độ lớn và hướng:
A. 8000 V/m, hướng từ trái sang phải.
B. 8000 V/m, hướng từ phải sang trái.
C. 2000 V/m, hướng từ phải sang trái.
D. 2000 V/m hướng từ trái sang phải.
Bài 10: Một điện tích đặt tại điểm có cường độ điện trường 0,5 (V/m). Lực tác dụng lên điện tích đó bằng 2.10-5 (N). Độ lớn điện tích đó là:
A. q = 5.10-6 (C).
B. q = 5.10-5 (C).
C. q = 4.10-5 (C).
D. q = 2,5.10-6 (C).
(199k) Xem Khóa học Vật Lí 11 KNTTXem Khóa học Vật Lí 11 CDXem Khóa học Vật Lí 11 CTST
Xem thêm các dạng bài tập Vật Lí lớp 11 có trong đề thi THPT Quốc gia khác:
- Lý thuyết Điện trường - Cường độ điện trường
- Dạng 1: Cách tính cường độ điện trường tại một điểm
- Trắc nghiệm Cường độ điện trường
- Dạng 2: Xác định véctơ cường độ điện trường tổng hợp tại M
- Trắc nghiệm Xác định véctơ cường độ điện trường tổng hợp tại M
- Dạng 3: Xác định vị trí cường độ điện trường bằng 0
- Trắc nghiệm Xác định vị trí cường độ điện trường bằng 0
- Dạng 4: Cân bằng của điện tích trong điện trường
- Trắc nghiệm Cân bằng của điện tích trong điện trường
Tủ sách VIETJACK shopee lớp 10-11 (cả 3 bộ sách):
Đã có app VietJack trên điện thoại, giải bài tập SGK, SBT Soạn văn, Văn mẫu, Thi online, Bài giảng....miễn phí. Tải ngay ứng dụng trên Android và iOS.
Theo dõi chúng tôi miễn phí trên mạng xã hội facebook và youtube:Nếu thấy hay, hãy động viên và chia sẻ nhé! Các bình luận không phù hợp với nội quy bình luận trang web sẽ bị cấm bình luận vĩnh viễn.
- Giải Tiếng Anh 11 Global Success
- Giải sgk Tiếng Anh 11 Smart World
- Giải sgk Tiếng Anh 11 Friends Global
- Lớp 11 - Kết nối tri thức
- Soạn văn 11 (hay nhất) - KNTT
- Soạn văn 11 (ngắn nhất) - KNTT
- Giải sgk Toán 11 - KNTT
- Giải sgk Vật Lí 11 - KNTT
- Giải sgk Hóa học 11 - KNTT
- Giải sgk Sinh học 11 - KNTT
- Giải sgk Lịch Sử 11 - KNTT
- Giải sgk Địa Lí 11 - KNTT
- Giải sgk Giáo dục KTPL 11 - KNTT
- Giải sgk Tin học 11 - KNTT
- Giải sgk Công nghệ 11 - KNTT
- Giải sgk Hoạt động trải nghiệm 11 - KNTT
- Giải sgk Giáo dục quốc phòng 11 - KNTT
- Giải sgk Âm nhạc 11 - KNTT
- Lớp 11 - Chân trời sáng tạo
- Soạn văn 11 (hay nhất) - CTST
- Soạn văn 11 (ngắn nhất) - CTST
- Giải sgk Toán 11 - CTST
- Giải sgk Vật Lí 11 - CTST
- Giải sgk Hóa học 11 - CTST
- Giải sgk Sinh học 11 - CTST
- Giải sgk Lịch Sử 11 - CTST
- Giải sgk Địa Lí 11 - CTST
- Giải sgk Giáo dục KTPL 11 - CTST
- Giải sgk Hoạt động trải nghiệm 11 - CTST
- Giải sgk Âm nhạc 11 - CTST
- Lớp 11 - Cánh diều
- Soạn văn 11 Cánh diều (hay nhất)
- Soạn văn 11 Cánh diều (ngắn nhất)
- Giải sgk Toán 11 - Cánh diều
- Giải sgk Vật Lí 11 - Cánh diều
- Giải sgk Hóa học 11 - Cánh diều
- Giải sgk Sinh học 11 - Cánh diều
- Giải sgk Lịch Sử 11 - Cánh diều
- Giải sgk Địa Lí 11 - Cánh diều
- Giải sgk Giáo dục KTPL 11 - Cánh diều
- Giải sgk Tin học 11 - Cánh diều
- Giải sgk Công nghệ 11 - Cánh diều
- Giải sgk Hoạt động trải nghiệm 11 - Cánh diều
- Giải sgk Giáo dục quốc phòng 11 - Cánh diều
- Giải sgk Âm nhạc 11 - Cánh diều


Giải bài tập SGK & SBT
Tài liệu giáo viên
Sách
Khóa học
Thi online
Hỏi đáp

