125 câu trắc nghiệm Sóng cơ và Sóng âm có lời giải (nâng cao - phần 3)
Với 125 câu trắc nghiệm Sóng cơ và Sóng âm có lời giải chi tiết sẽ giúp học sinh ôn tập, biết cách làm câu trắc nghiệm Sóng cơ và Sóng âm.
125 câu trắc nghiệm Sóng cơ và Sóng âm có lời giải (nâng cao - phần 3)
(199k) Học Vật Lí 12 KNTTHọc Vật Lí 12 CDHọc Vật Lí 12 CTST
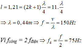
Bài 1: Một sợi dây sắt dài 1,21 m căng ngang, có một đầu cố định một đầu tự do. Ở phía trên, gần sợi dây có một nam châm điện được nuôi bằng nguồn điện xoay chiều. Cho dòng điện qua nam châm thì trên dây xuất hiện sóng dừng với 6 bụng sóng. Nếu tốc độ truyền sóng trên dây là 66 m/s thì tần số của dòng điện xoay chiều là
A. 50 Hz B. 137,5 Hz C. 60 Hz D. 75 Hz
Lời giải:
Đáp án: D
Dây có một đầu cố định một đầu tự do nên:
Bài 2: Quan sát sóng dừng trên sợi dây AB, đầu A dao động điều hòa theo phương vuông góc với sợi dây (coi A là nút). Với đầu B tự do và tần số dao động của đầu A là 22 Hz thì trên dây có 6 nút. Nếu đầu B cố định và coi tốc độ truyền sóng trên dây như cũ, để vẫn có 6 nút thì tần số dao động của đầu A phải bằng
A. 25Hz. B. 18Hz. C. 20Hz. D. 23Hz.
Lời giải:
Đáp án: C
Đầu A tự do, đầu B cố định, ta có
Khi 2 đầu cố định
Bài 3: Một sợi dây đàn hồi căng ngang, hai đầu cố định. Trên dây có sóng dừng, tốc độ truyền sóng không đổi. Khi tần số sóng trên dây là 42 Hz thì trên dây có 4 điểm bụng. Nếu trên dây có 6 điểm bụng thì tần số sóng trên dây là
A. 252Hz. B. 126Hz. C. 28Hz. D. 63Hz.
Lời giải:
Đáp án: D
Bài 4: Trên một sợi dây đàn hồi dài 1,2 m, hai đầu cố định, đang có sóng dừng. Biết sóng truyền trên dây có tần số 100 Hz và tốc độ 80 m/s. Số bụng sóng trên dây là
A. 3. B. 5. C. 4. D. 2.
Lời giải:
Đáp án: A
Trên dây có 3 bụng
Bài 5: Một sợi dây AB dài 100 cm căng ngang, đầu B cố định, đầu A gắn với một nhánh của âm thoa dao động điều hòa với tần số 40 Hz. Trên dây AB có một sóng dừng ổn định, A được coi là nút sóng. Tốc độ truyền sóng trên dây là 20 m/s. Kể cả A và B, trên dây có
A. 3 nút và 2 bụng. B. 7 nút và 6 bụng.
C. 9 nút và 8 bụng. D. 5 nút và 4 bụng.
Lời giải:
Đáp án: D
Suy ra có 4 bụng và 5 nút
Bài 6: Tạo sóng dừng trên sợi dây hai đầu cố định có chiều dài 1m, vận tốc truyền sóng trên dây là 30m/s. Hỏi nếu kích thích với các tần số sau thì tần số nào có khả năng gây ra hiện tuợng sóng dừng trên dây.
A. 20 Hz B. 40 Hz C. 35Hz D. 45Hz
Lời giải:
Đáp án: D
. Suy ra k = 3 và f = 45 Hz
Bài 7: Một sợi dây đàn hồi 2 đầu cố định, hai tần số liên tiếp có sóng dừng trên dây là 50 Hz và 70Hz. Hãy xác định tần số nhỏ nhất có sóng dừng trên dây.
A. 20 B. 10 C. 30 D. 40
Lời giải:
Đáp án: A
Vì tần số gây ra sóng dừng trên sợi dây 2 đầu cố định là
→ fk + 1 – fk = fmin = 70 – 50 = 20Hz
Bài 8: Một sợi dây đàn hồi 1 đầu cố định 1 đầu tự do, hai tần số liên tiếp có sóng dừng trên dây là 45 Hz và 75 Hz. Hãy xác định tần số nhỏ nhất có sóng dừng trên dây.
A. 20 B. 15 C. 30 D. 40
Lời giải:
Đáp án: B
Vì tần số gây ra sóng dừng trên sợi dây 1 đầu cố định 1 đầu tự do là
→ fk + 1 – fk = 2fmin = 75 – 45 = 30Hz
Bài 9: Sóng dừng trên sợi dây đàn hồi 2 đầu cố định AB dài 1 m. Biết tần số sóng trong khoảng 300 Hz đến 450 Hz. Tốc độ truyền dao động là 320 m/s. Xác định tần số sóng trên sợi dây
A. 320 Hz B. 300 Hz C. 400 Hz D. 420 Hz
Lời giải:
Đáp án: A
Bài 10: Trong thí nghiệm về sóng dừng trên một sợi dây đàn hồi dài 1,2m với hai đầu cố định, người ta quan sát thấy ngoài 2 đầu dây cố định còn có hai điểm khác trên dây không dao động. Biết khoảng thời gian giữa hai lần liên tiếp sợi dây duỗi thẳng là 0,05s. Tốc độ truyền sóng trên dây là
A. 12 m/s. B. 8 m/s. C. 16 m/s. D. 4 m/s.
Lời giải:
Đáp án: B
Bài 11: Một sợi dây đàn hồi dài 90 cm có một đầu cố định và một đầu tự do đang có sóng dừng. Kể cả đầu dây cố định, trên dây có 8 nút. Biết rằng khoảng thời gian giữa 6 lần liên tiếp sợi dây duỗi thẳng là 0,25 s. Tốc độ truyền sóng trên dây là
A. 1,2 m/s B. 2,9 m/s C. 2,4 m/s D. 2,6 m/s
Lời giải:
Đáp án: C
Khoảng thời gian giữa 6 lần liên tiếp sợi dây duỗi thẳng là 0,25 s
Kể cả đầu dây cố định, trên dây có 8 nút
Bài 12: Một sợi dây đàn hồi căng ngang, đang có sóng dừng ổn định. Trên dây, A là một điểm nút, B là một điểm bụng gần A nhất, C là trung điểm của AB, với AB = 10 cm. Biết khoảng thời gian ngắn nhất giữa hai lần mà li độ dao động của phần tử tại B bằng biên độ dao động của phần tử tại C là 0,2s. Tốc độ truyền sóng trên dây là
A. 2m/s. B. 0,5m/s. C. 1m/s. D. 0,25m/s.
Lời giải:
Đáp án: B
Biên độ sóng dừng tại 1 điểm cách nút bất kỳ 1 đoạn x là:
Biên độ của điểm B là 2a và C là:
Suy ra thời gian ngắn nhất giữa hai lần mà li độ dao động của phần tử tại B bằng biên độ dao động của phần tử tại C là T/4 = 0,2 ⇒ T = 0,8s
λ = vT ⇒ v =50 cm/s = 0,5m/s
Bài 13: Trên một sợi dây căng ngang với hai đầu cố định đang có sóng dừng. Không xét các điểm bụng hoặc nút, quan sát thấy những điểm có cùng biên độ và ở gần nhau nhất thì đều cách đều nhau 15cm. Bước sóng trên dây có giá trị bằng
A. 30 cm. B. 60 cm. C. 90 cm. D. 45 cm.
Lời giải:
Đáp án: B
Những điểm có cùng biên độ và ở gần nhau nhất thì đều cách đều nhau
Bài 14: Một sóng âm truyền trong thép với vận tốc 5000m/s. Nếu độ lệch của sóng âm đó ở hai điểm gần nhau nhất cách nhau 1m trên cùng một phương truyền sóng là π/2 thì tần số của sóng bằng:
A. 1000Hz B. 1250Hz
C. 5000Hz D. 2500Hz.
Lời giải:
Đáp án: B
Bài 15: Để ước lượng độ sâu của một giếng cạn nước, một người dùng đồng hồ bấm giây, ghé sát tai vào miệng giếng và thả một hòn đá rơi tự do từ miệng giếng; sau 3s thì người đó nghe thấy tiếng hòn đá đập vào đáy giếng. Giả sử tốc độ truyền âm trong không khí là 330 m/s, lấy g = 9,9 m/s2. Độ sâu ước lượng của giếng là
A. 43 m. B. 45 m. C. 39 m. D. 41 m.
Lời giải:
Đáp án: D
Thời gian hòn đá rơi tự do trong giếng là:
Thời gian sóng âm truyền lại tai người sau khi va chạm vào đáy giếng là:
Ta có phương trình:
Bài 16: Một sóng âm có tần số xác định truyền trong không khí và trong nước với vận tốc lần lượt là 330m/s và 1452m/s. Khi sóng âm đó truyền từ nước ra không khí thì bước sóng của nó sẽ
A. giảm 4,4 lần B. giảm 4 lần
C. tăng 4,4 lần D. tăng 4 lần
Lời giải:
Đáp án: A
Bài 17: Cường độ âm chuẩn 10-12 W/m2. Cường độ âm tại một điểm trong môi trường truyền âm là 10-5 W/m2. Mức cường độ âm tại điểm đó bằng
A. 50 dB B. 60 dB C. 70 dB D. 80 dB
Lời giải:
Đáp án: C
Bài 18: Cường độ âm chuẩn 10-12 W/m2. Mức cường độ âm tại một điểm trong môi trường truyền âm là 40 dB. Cường độ âm tại điểm đó bằng
A. 10-5 W/m2 B. 10-6 W/m2
C. 10-7 W/m2 D. 10-8 W/m2
Lời giải:
Đáp án: D
Bài 19: Một sóng âm truyền trong một môi trường. Biết cường độ âm tại một điểm gấp 100 lần cường độ âm chuẩn của âm đó thì mức cường độ âm tại điểm đó là
A. 10 dB. B. 100 dB. C. 20 dB. D. 50 dB.
Lời giải:
Đáp án: C
Bài 20: Khi mức cường độ âm tại một điểm trong môi trường truyền âm tăng thêm 70 dB thì cường độ âm tại điểm đó tăng
A. 107 lần. B. 106 lần.
C. 105 lần. D. 103 lần.
Lời giải:
Đáp án: A
Bài 21: Tại một điểm A nằm cách nguồn âm N (Nguồn điểm)một khoảng NA = 1m, có mức cường độ âm là LA = 90dB. Biết ngưỡng nghe của âm đó là I0 = 0,1n W/m2. Cường độ của âm đó tại A là:
A. IA = 0,1 nW/m2. B. IA = 0,1 mW/m2.
C. IA = 0,1 W/m2. D. IA = 0,1 GW/m2.
Lời giải:
Đáp án: C
Bài 22: Một sóng âm truyền trong không khí. Mức cường độ âm tại điểm M và tại điểm N lần lượt là 40dB và 80dB. Cường độ âm tại N lớn hơn cường độ âm tại M.
A. 10000 lần B. 1000 lần
C. 40 lần D. 2 lần
Lời giải:
Đáp án: A
Bài 23: Tại một vị trí trong môi trường truyền âm, khi cường độ âm tăng gấp 10 lần giá trị cường độ âm ban đầu thì mức cường độ âm
A. giảm đi 10B. B. tăng thêm 10B.
C. tăng thêm 10dB. D. giảm đi 10dB.
Lời giải:
Đáp án: C
I’ = 10I ⇔ L’ = L + 10 (dB)
Bài 24: Xét điểm M ở trong môi trường đàn hồi có sóng âm truyền qua. Mức cường độ âm tại M là L (dB). Nếu cường độ âm tại điểm M tăng lên 100 lần thì mức cường độ âm tại điểm đó bằng
A. 100L (dB). B. L + 100 (dB).
C. 20L (dB). D. L + 20 (dB).
Lời giải:
Đáp án: D
Bài 25: Một nguồn điểm O phát sóng âm có công suất không đổi trong một môi trường truyền âm đẳng hướng và không hấp thụ âm. Hai điểm A, B cách nguồn âm lần lượt là r1 và r2. Biết cường độ âm tại A gấp 4 lần cường độ âm tại B. Tỉ số
bằng
Lời giải:
Đáp án: D
Bài 26: Nguồn âm phát ra sóng âm đều theo mọi phương. Giả sử rằng năng lượng phát ra được bảo toàn. Ở trước nguồn âm một khoảng d có cường độ là I. Nếu xa nguồn âm thêm 30 m cường độ âm bằng I/9. Khoảng cách d là
A. 10 m B. 15 m C. 30 m D. 60 m
Lời giải:
Đáp án: B
Bài 27: Trên một đường thẳng cố định trong môi trường đẳng hướng, không hấp thụ và phản xạ âm, một máy thu ở cách nguồn âm một khoảng d thu được âm có mức cường độ âm là L; khi dịch chuyển máy thu ra xa nguồn âm thêm 9 m thì mức cường độ âm thu được là L – 20 (dB). Khoảng cách d là
A. 8 m B. 1 m C. 9 m D. 10 m
Lời giải:
Đáp án: B
Bài 28: Một nguồn âm điểm đặt tại O phát âm đẳng hướng với công suất không đổi trong môi trường không hấp thụ và phản xạ âm. Hai điểm M và N cách O lần lượt là r và r – 50 (m) có cường độ âm tương ứng là I và 4I. Giá trị của r bằng ?
A. 60m B. 66 m C. 100 m D. 142 m
Lời giải:
Đáp án: C
Bài 29: Một nguồn âm điểm S phát âm đẳng hướng với công suất không đổi trong một môi trường không hấp thụ và không phản xạ âm. Lúc đầu, mức cường độ âm do S gây ra tại M là L (dB). Khi cho S tiến lại gần M thêm một đoạn 60 m thì mức cường độ âm tại M lúc này là L+6 (dB). Khoảng cách từ S đến M lúc đầu là
A. 80,6 m B. 120,3 m C. 200 m D. 40 m
Lời giải:
Đáp án: B
Bài 30: Hình bên là đồ thị biểu diễn sự phụ thuộc của mức cường độ âm L theo cường độ âm I. Cường độ âm chuẩn gần nhất với giá trị nào sau đây ?
A 0,35a B. 0,33a C. 0,37a D. 0,31a
Lời giải:
Đáp án: D
I = a thì L = 0,5 B.
Bài 31: Tại một điểm trên trục Ox có một nguồn âm điểm phát âm đẳng hướng. Hình vẽ bên là đồ thị biểu diển sự phụ thuộc của cường độ âm I tại những điểm trên trục Ox theo toạ độ x. Cường độ âm chuẩn là I0 = 10-12 W/m2. M là điểm trên trục Ox có toạ độ x = 4 cm. Mức cường độ âm tại M có giá trị gần nhất với giá trị nào sau đây ?
A. 24,4 dB B. 24 dB C. 23,5 dB D. 23 dB
Lời giải:
Đáp án: A
Do cường độ âm giảm dần từ O theo chiều dương của trục Ox, nên nguồn đặt trước O một đoạn a.
Xét tại O và tại điểm x = 2 ta có
Bài 32: Trong một cuộc thi bắn súng, các khẩu súng hoàn toàn giống hệt nhau. Hai khẩu bắn cùng một lúc thì mức cường âm đo được là 80 dB. Nếu chỉ một khẩu súng bắn thì mức cường độ âm đo được là bao nhiêu?
A. 40dB. B. 77dB. C. 50dB. D. 70dB.
Lời giải:
Đáp án: B
Bài 33: Khi một nguồn âm phát ra với tần số f và cường độ âm chuẩn là 10-12 W/m2 thì mức cường độ âm tại một điểm M cách nguồn một khoảng r là 40 dB. Giữ nguyên công suất phát nhưng thay đổi f của nó để cường độ âm chuẩn là 10-10 W/m2 thì cũng tại M, mức cường độ âm là
A. 80 dB B. 60 dB C. 40 dB D. 20 dB
Lời giải:
Đáp án: D
Bài 34: Trong một buổi hòa nhạc, giả sử có 6 chiếc kèn đều giống nhau cùng phát sóng âm thì tại M có mức cường độ âm là 50 dB. Để tại M có mức cường độ âm 60 dB thì số kèn cần thiết là
A. 50. B. 6 C. 60 D. 10
Lời giải:
Đáp án: C
Bài 35: Tại một điểm nghe được đồng thời hai âm: âm truyền tới có mức cường độ 68 dB và âm phản xạ có mức cường độ 60 dB. Mức cường độ âm toàn phần tại điểm đó là
A. 5dB. B. 68,64dB. C. 66,19dB. D. 62,5dB
Lời giải:
Đáp án: B
10L(B) = 10L1(B) + 10L2(B) = 106,8 + 106 ⇒ L = 6,864(B)
Bài 36: Một nguồn âm là nguồn điểm phát âm đẳng hướng trong không gian. Giả sử không có sự hấp thụ và phản xạ âm. Tại một điểm cách nguồn âm 10 m thì mức cường độ âm là 80 dB. Tại điểm cách nguồn độ âm 1 m thì mức cường độ âm bằng
A. 100dB. B. 110dB. C. 120dB. D. 90dB
Lời giải:
Đáp án: A
Bài 37: Một máy bay ở độ cao 100 m, gây ra ở mặt đất ngay phía dưới một tiếng ồn có mức cường độ âm 120 dB. Muốn giảm tiếng ồn tới mức chịu được 100 dB thì máy bay phải bay ở độ cao
A. 316 m B. 500 m C. 1000 m D. 700 m
Lời giải:
Đáp án: C
Bài 38: Tại điểm O trong môi trường đẳng hướng, không hấp thụ âm, có 2 nguồn âm điểm, giống nhau với công suất phát âm không đổi. Tại điểm A có mức cường độ âm 20 dB. Để tại trung điểm M của đoạn OA có mức cường độ âm là 30 dB thì số nguồn âm giống các nguồn âm trên cần đặt thêm tại O bằng
A. 4. B. 6. C. 5. D. 7.
Lời giải:
Đáp án: B
Gọi n1, n2 lần lượt là số nguồn âm trong 2 trường hợp. Ta có:
Bài 39: Ba điểm O, A, B cùng nằm trên một nửa đường thẳng xuất phát từ O. Tại O đặt một nguồn điểm phát sóng âm đẳng hướng ra không gian, môi trường không hấp thụ âm. Mức cường độ âm tại A là 60dB, tại B là 10dB. Mức cường độ âm tại trung điểm M của đoạn AB là
A. 26dB. B. 16dB. C. 34dB. D. 40dB.
Lời giải:
Đáp án: B
Ta có:
M là trung điểm của AB nên 2rM = rA + rB
⇒ 2.10-0,5LM = 10-3 + 10-0,5 ⇒ LM = 1,6 (B)
Bài 40: Trong môi trường đẳng hướng và không hấp thụ âm, có 3 điểm thẳng hàng theo đúng thứ tự A; B; C với AB = 100 m, AC = 250 m. Khi đặt tại A một nguồn điểm phát âm công suất P thì mức cường độ âm tại B là 100 dB. Bỏ nguồn âm tại A, đặt tại B một nguồn điểm phát âm công suất 3P thì mức cường độ âm tại A và C là
A. 103 dB và 99,5 dB
B. 105 dB và 101 dB.
C. 103 dB và 96,5 dB.
D. 100 dB và 99,5 dB.
Lời giải:
Đáp án: B
Khi đặt nguồn âm P tại A:
Khi đặt nguồn âm 3P tại B → rA = AB =100m, rC = BC = 250-100 = 150m
(199k) Học Vật Lí 12 KNTTHọc Vật Lí 12 CDHọc Vật Lí 12 CTST
Xem thêm các dạng bài tập Vật Lí lớp 12 có trong đề thi Tốt nghiệp THPT khác:
- 125 câu trắc nghiệm Sóng cơ và Sóng âm có lời giải (cơ bản - phần 1)
- 125 câu trắc nghiệm Sóng cơ và Sóng âm có lời giải (cơ bản - phần 2)
- 125 câu trắc nghiệm Sóng cơ và Sóng âm có lời giải (cơ bản - phần 3)
- 125 câu trắc nghiệm Sóng cơ và Sóng âm có lời giải (nâng cao - phần 1)
- 125 câu trắc nghiệm Sóng cơ và Sóng âm có lời giải (nâng cao - phần 2)
Đã có app VietJack trên điện thoại, giải bài tập SGK, SBT Soạn văn, Văn mẫu, Thi online, Bài giảng....miễn phí. Tải ngay ứng dụng trên Android và iOS.
Theo dõi chúng tôi miễn phí trên mạng xã hội facebook và youtube:Nếu thấy hay, hãy động viên và chia sẻ nhé! Các bình luận không phù hợp với nội quy bình luận trang web sẽ bị cấm bình luận vĩnh viễn.
- Giải Tiếng Anh 12 Global Success
- Giải sgk Tiếng Anh 12 Smart World
- Giải sgk Tiếng Anh 12 Friends Global
- Lớp 12 Kết nối tri thức
- Soạn văn 12 (hay nhất) - KNTT
- Soạn văn 12 (ngắn nhất) - KNTT
- Giải sgk Toán 12 - KNTT
- Giải sgk Vật Lí 12 - KNTT
- Giải sgk Hóa học 12 - KNTT
- Giải sgk Sinh học 12 - KNTT
- Giải sgk Lịch Sử 12 - KNTT
- Giải sgk Địa Lí 12 - KNTT
- Giải sgk Giáo dục KTPL 12 - KNTT
- Giải sgk Tin học 12 - KNTT
- Giải sgk Công nghệ 12 - KNTT
- Giải sgk Hoạt động trải nghiệm 12 - KNTT
- Giải sgk Giáo dục quốc phòng 12 - KNTT
- Giải sgk Âm nhạc 12 - KNTT
- Giải sgk Mĩ thuật 12 - KNTT
- Lớp 12 Chân trời sáng tạo
- Soạn văn 12 (hay nhất) - CTST
- Soạn văn 12 (ngắn nhất) - CTST
- Giải sgk Toán 12 - CTST
- Giải sgk Vật Lí 12 - CTST
- Giải sgk Hóa học 12 - CTST
- Giải sgk Sinh học 12 - CTST
- Giải sgk Lịch Sử 12 - CTST
- Giải sgk Địa Lí 12 - CTST
- Giải sgk Giáo dục KTPL 12 - CTST
- Giải sgk Tin học 12 - CTST
- Giải sgk Hoạt động trải nghiệm 12 - CTST
- Giải sgk Âm nhạc 12 - CTST
- Lớp 12 Cánh diều
- Soạn văn 12 Cánh diều (hay nhất)
- Soạn văn 12 Cánh diều (ngắn nhất)
- Giải sgk Toán 12 Cánh diều
- Giải sgk Vật Lí 12 - Cánh diều
- Giải sgk Hóa học 12 - Cánh diều
- Giải sgk Sinh học 12 - Cánh diều
- Giải sgk Lịch Sử 12 - Cánh diều
- Giải sgk Địa Lí 12 - Cánh diều
- Giải sgk Giáo dục KTPL 12 - Cánh diều
- Giải sgk Tin học 12 - Cánh diều
- Giải sgk Công nghệ 12 - Cánh diều
- Giải sgk Hoạt động trải nghiệm 12 - Cánh diều
- Giải sgk Giáo dục quốc phòng 12 - Cánh diều
- Giải sgk Âm nhạc 12 - Cánh diều


Giải bài tập SGK & SBT
Tài liệu giáo viên
Sách
Khóa học
Thi online
Hỏi đáp

