125 câu trắc nghiệm Sóng cơ và Sóng âm có lời giải (nâng cao - phần 1)
Với 125 câu trắc nghiệm Sóng cơ và Sóng âm có lời giải chi tiết sẽ giúp học sinh ôn tập, biết cách làm câu trắc nghiệm Sóng cơ và Sóng âm.
125 câu trắc nghiệm Sóng cơ và Sóng âm có lời giải (nâng cao - phần 1)
(199k) Học Vật Lí 12 KNTTHọc Vật Lí 12 CDHọc Vật Lí 12 CTST
Bài 1: Sóng truyền trong một môi trường đàn hồi với tốc độ 360 m/s. Ban đầu tần số sóng là 180 Hz. Để có bước sóng là 0,5m thì cần tăng hay giảm tần số sóng một lượng như nào ?
A. Tăng thêm 420 Hz.
B. Tăng thêm 540 Hz.
C. Giảm bớt 420 Hz.
D. Giảm xuống còn 90Hz.
Lời giải:
Đáp án: B
suy ra ƒ tăng thêm 540Hz
Bài 2: Một cần rung dao động với tần số 20 Hz tạo ra trên mặt nước những gợn lồi và gợn lõm là những vòng tròn đồng tâm. Biết tốc độ truyền sóng trên mặt nước là 40 cm/s. Ở cùng thời điểm, hai gợn lồi liên tiếp (tính từ cần rung) có đường kính chênh lệch nhau
A. 4 cm B. 6 cm C. 2 cm D. 8cm
Lời giải:
Đáp án: A
. Hai gợn lồi liên tiếp có đường kính chênh lệch nhau 2λ= 4cm
Bài 3: Sóng truyền từ M đến N dọc theo phương truyền sóng với bước sóng bằng 120 cm. Khoảng cách d = MN bằng bao nhiêu biết rằng sóng tại N trễ pha hơn sóng tại M góc π/2 rad là bao nhiêu?
A. d = 15 cm. B. d = 24 cm.
C. d = 30 cm. D. d = 20 cm.
Lời giải:
Đáp án: C
Bài 4: Sóng truyền từ M đến N dọc theo phương truyền sóng với bước sóng bằng 120 cm. Khoảng cách d = MN bằng bao nhiêu biết rằng sóng tại N trễ pha hơn sóng tại M góc π/3 rad là bao nhiêu?
A. d = 15 cm. B. d = 24 cm.
C. d = 30 cm. D. d = 20 cm.
Lời giải:
Đáp án: D
Bài 5: Một nguồn sóng có phương trình u = acos(10πt + π/2). Khoảng cách giữa hai điểm gần nhau nhất trên phương truyền sóng mà tại đó dao động của các phần tử môi trường lệch pha nhau góc π/2 là 5 m. Tốc độ truyền sóng là
A. v = 150 m/s. B. v = 120 m/s.
C. v = 100 m/s. D. v = 200 m/s.
Lời giải:
Đáp án: C
Bài 6: Một sợi dây cao su căng thẳng nằm ngang có đầu A nối với một bản rung có tần số ƒ = 0,5 Hz. Sau 2 (s) dao động truyền đi được 10 m, tại điểm M trên dây cách A một đoạn 5 m có trạng thái dao động so với A là
A. ngược pha.
B. cùng pha.
C. lệch pha góc π/2 rad.
D. lệch pha góc π/4 rad.
Lời giải:
Đáp án: A
M ngược pha với A
Bài 7: Một dây đàn hồi rất dài có đầu A dao động theo phương vuông góc với sợi dây. Tốc độ truyền sóng trên dây là 4 m/s. Xét một điểm M trên dây và cách A một đoạn 40 cm, người ta thấy M luôn luôn dao động lệch pha so với A một góc Δφ = (k + 0,5)π với k là số nguyên. Tính tần số sóng, biết tần số ƒ có giá trị Trong khoảng từ 8 Hz đến 13 Hz.
A. ƒ = 8,5 Hz. B. ƒ = 10 Hz.
C. ƒ = 12 Hz. D. ƒ = 12,5 Hz.
Lời giải:
Đáp án: D
8Hz < ƒ < 13Hz ⇒ k = 2, ƒ = 12,5 Hz
Bài 8: Một sóng truyền theo chiều dương trục Ox, có phương trình sóng là u=6cos(4πt-0,02πx); trong đó u và x tính bằng cm, t tính bằng s. Sóng này có bước sóng là:
A. 150 cm. B. 50 cm.
C. 100 cm. D. 200 cm
Lời giải:
Đáp án: C
Bài 9: Sóng cơ truyền trong một môi trường dọc theo trục Ox với phương trình u = cos(20t - 4x) (cm) (x tính bằng mét, t tính bằng giây). Vận tốc truyền sóng này trong môi trường trên bằng
A. 5m/s. B. 50cm/s. C. 40cm/s D. 4m/s.
Lời giải:
Đáp án: A
Bài 10: Sóng cơ truyền trong một môi trường dọc theo trục Ox với phương trình
(cm) x tính bằng cm, t tính bằng giây. Tốc độ truyền sóng là
A. 20 cm/s. B. 20 mm/s.
C. 20π cm/s. D. 10π cm/s.
Lời giải:
Đáp án: A
Bài 11: Một sóng cơ truyền dọc theo trục Ox với phương trình u = 5cos(6πt - πx) (cm) (x tính bằng mét, t tính bằng giây). Tốc độ cực đại các phần tử môi trường có sóng truyền qua là
A. 6 m/s. B. 60π m/s.
C. 30π cm/s. D. 30π m/s.
Lời giải:
Đáp án: C
Tốc độ cực đại của phần tử vmax = ωA = 6π.5 = 30π cm/s
Bài 12: Một sóng ngang truyền trên trục Ox được mô tả bởi phương trình u = 0,5cos(50x – 1000t) cm, Trong đó x có đơn vị là cm. Tốc độ dao động cực đại của phần tử môi trường lớn gấp bao nhiêu lần tốc độ truyền sóng?
A. 20 lần. B. 25 lần.
C. 50 lần. D. 100 lần.
Lời giải:
Đáp án: B
Tốc độ truyền sóng
Tốc độ cực đại của phần tử vmax = ωA = 1000.0,5 = 500 cm/s = 25v
Bài 13: Một sóng cơ truyền dọc theo truc Ox với phương trình u = 5cos(8πt – 0,04πx) (u và x tính bằng cm, t tính bằng s). Tại thời điểm t = 3 s, ở điểm có x = 25 cm, phần tử sóng có li độ là
A. 5,0 cm. B. -5,0 cm.
C. 2,5 cm. D. -2,5 cm.
Lời giải:
Đáp án: B
Ta có 0,04πx = 2πx/λ → λ = 50cm → v = λ.ƒ = 200cm/s
Vì t = 3s > x/v = 0,125s, thỏa mãn điều kiện đã có sóng truyền đến
→ phần tử sóng tại x = 25cm có li độ là u = 5cos(8π.3 – 0,04π.25) = -5 cm
Bài 14: Cho một sóng có phương trình sóng là
(mm). Trong đó x tính bằng cm, t tính bằng giây. Vị trí của phần tử sóng M cách gốc toạ độ 3m ở thời điểm t = 2s là
A. 5 mm B. 0 C. 5 cm D. 2.5 cm
Lời giải:
Đáp án: B
Ta có πx/2 = 2πx/λ = 2πxƒ/v→ v = 20cm/s
Vì t = 2s < d/v = 300/20 = 15s, nên sóng chưa truyền đến M → uM = 0
Bài 15: Cho một sợi dây đàn hồi, thẳng, rất dài. Đầu O của sợi dây dao động với phương trình u = 4cos(20πt) (t tính bằng s). Coi biên độ sóng không đổi khi sóng truyền đi. Tốc độ truyền sóng trên dây là 0,8 m/s. Li độ của điểm M trên dây cách O một đoạn 20 cm theo phương truyền sóng tại thời điểm t = 0,35 s bằng
A. 2√2 cm. B.-2√2 cm. C. 4 cm. D. – 4 cm.
Lời giải:
Đáp án: C
Vì t = 0,35s > d/v = 0,25s nên tại M đã có sóng truyền qua.
Bài 16: Một sóng cơ học lan truyền trên một phương truyền sóng với tốc độ v. Phương trình sóng của một điểm O trên phương truyền sóng đó là
cm. Một điểm M cách O khoảng x = λ/3 thì ở thời điểm t = T/6 có độ dịch chuyển uM = 2 cm. Biên độ sóng A có giá trị là
A. A = 2 cm. B. A = 4 cm.
C. A = 3 cm. D. A = 2√3 cm.
Lời giải:
Đáp án: B
Bài 17: Một sóng cơ ngang truyền trên một sợi dây rất dài có phương trình u = 6cos(4πt - 0,02πx); Trong đó u và x có đơn vị là cm, t có đơn vị là giây. Hãy xác định vận tốc dao động của một điểm trên dây có toạ độ x = 25 cm tại thời điểm t = 4 s.
A. 24π (cm/s) B. 14π (cm/s)
C. 12π (cm/s) D. 44π (cm/s)
Lời giải:
Đáp án: A
v = 4π/ (0,02π) = 200cm/s → t = 4s > x/v = 25/200 = 0,125s → tại x = 25cm đã có dao động sóng
→ uM = 6cos(4π.4 - 0, 02π.25) = 0, vật ở VTCB nên vmax = ωA = 4π.6 = 24π cm/s
Bài 18: Sóng cơ có tần số 80Hz lan truyền trong một môi trường với vận tốc 4m/s. Dao động của các phần tử vật chất tại hai điểm trên một phương truyền sóng cách nguồn sóng những đoạn lần lượt 31cm và 33,5cm, lệch pha nhau góc
Lời giải:
Đáp án: B
Bài 19: Trên một sợi dây dài đang có sóng ngang hình sin truyền qua theo chiều dương của trục Ox. Tại thời điểm t0, một đoạn của sợi dây có dạng như hình bên. Hai phần tử dây tại Q và O dao động lệch pha nhau
Lời giải:
Bài 20: Trên một sợi dây dài đang có sóng ngang hình sin truyền qua theo chiều dương của trục Ox. Tại thời điểm t0, một đoạn của sợi dây có dạng như hình bên. Hai phần tử dây tại M và O dao động lệch pha nhau
Lời giải:
Đáp án: C
Bài 21: Ở một mặt nước (đủ rộng), tại điểm O có một nguồn sóng dao động theo phương thẳng đứng với phương trình u0 = 4cos20πt (u tính bằng cm, t tính bằng s). Tốc độ truyền sóng trên mặt nước là 40 m/s, coi biên độ sóng không đổi khi sóng truyền đi. Phương trình dao động của phần tử nước tại điểm M (ở mặt nước), cách O một khoảng 50 cm là
Lời giải:
Đáp án: B
Bài 22: Một nguồn phát sóng cơ dao động theo phương trình
. Biết dao động tại hai điểm gần nhau nhất trên cùng một phương truyền sóng cách nhau 0,5m có độ lệch pha là
. Tốc độ truyền của sóng đó là :
A. 1,0m/s B. 2,0m/s. C. 1,5m/s. D. 6,0m/s.
Lời giải:
Đáp án: D
Bài 23: Trên một phương truyền sóng có hai điểm M và N cách nhau 80 cm. Sóng truyền theo chiều từ M đến N với bước sóng là 1,6 m. Coi biên độ của sóng không đổi trong quá trình truyền sóng. Biết phương trình sóng tại N là
(m) thì phương trình sóng tại M là
Lời giải:
Đáp án: C
Bài 24: Một sóng hình sin truyền theo chiều dương của trục Ox với phương trình dao động của nguồn sóng (đặt tại O) là uO = 4cos100πt (cm). Ở điểm M (theo hướng Ox) cách O một phần tư bước sóng, phần tử môi trường dao động với phương trình là
A. uM = 4cos(100πt + π) (cm).
B. uM = 4cos(100πt) (cm).
C. uM = 4cos(100πt – 0,5π) (cm).
D. uM = 4cos(100πt + 0,5π) (cm).
Lời giải:
Đáp án: C
Bài 25: Tại hai điểm MN trên phương truyền sóng cách nhau 4 cm có phương trình lần lượt như sau:
cm;
cm. Hãy xác định sóng truyền như thế nào?
A. Truyền từ N đến M với vận tốc 96m/s
B. Truyền từ N đến M với vận tốc 0,96m/s
C. Truyền từ M đến N với vận tốc 96m/s
D. Truyền từ M đến N với vận tốc 0,96m/s
Lời giải:
Đáp án: B
M trễ pha hơn N nên sóng truyền từ N đến M
Bài 26: Một sóng cơ lan truyền trong một môi trường với tốc độ 1 m/s và tần số 10 Hz, biên độ sóng không đổi là 4 cm. Khi phần tử môi trường đi được quãng đường S cm thì sóng truyền thêm được quãng đường 25 cm. Tính S
A. S = 10 cm B. S = 50 cm
C. S = 56 cm D. S = 40 cm.
Lời giải:
Đáp án: D
. Thời gian phần tử dao động t = d/v = 25/100 = 0,25 s = 2,5T
Quãng đường phần tử dao động đi được là S = 8A + 2A = 10A = 40 cm
Bài 27: Lúc t = 0 đầu O của sợi dây cao su nằm ngang bắt đầu dao động đi lên với chu kỳ 2 s, tạo thành sóng lan truyền trên dây với tốc độ 2 m/s. Điểm M trên dây cách O một khoảng bằng 1,4 m. Thời điểm đầu tiên để M đến điểm cao nhất là
A. 1,5 s B. 2,2 s
C. 0,25 s D. 1,2 s
Lời giải:
Đáp án: D
Thời gian sóng truyền từ O đến M là t = 1,4/2 = 0,7s. Thời gian để M đi từ VTCB lên đến điểm cao nhất là T/4 = 0,5 s. Thời gian cần tìm là 0,7 + 0,5 = 1,2 s
Bài 28: Lúc t = 0 đầu O của sợi dây cao su nằm ngang bắt đầu dao động đi lên với chu kỳ 2 s biên độ 5 cm, tạo thành sóng lan truyền trên dây với tốc độ 2 m/s. Điểm M trên dây cách O một khoảng bằng 1,4 cm. Thời điểm đầu tiên để M đến điển N thấp hơn vị trí cân bằng 2 cm là
A. 1,53 s B. 2,23 s
C. 1,83 s D. 1,23 s
Lời giải:
Đáp án: C
Thời gian sóng truyền từ O đến M là t = 1,4/2 = 0,7s. Thời gian để M đi từ VTCB lên đến điểm N thấp hơn VTCB 2 cm là
Thời gian cần tìm là 0,7 + 1,13 = 1,83 s
Bài 29: Một sóng cơ lan truyền Trong một môi trường với tốc độ 100 cm/s và tần số 20 Hz, biên độ sóng không đổi là 4 cm. Khi phần tử môi trường đi được quãng đường 72 cm thì sóng truyền thêm được quãng đường bằng
A. 20 cm B. 12 cm
C. 25 cm D. 22,5 cm.
Lời giải:
Đáp án: D
Quãng đường phần tử đi được là 72 cm = 18A = 4.4A + 2A suy ra thời gian phần tử chuyển động là 4,5T = 0,225 s. Quãng đường sóng truyền được là S = 100.0,225 = 22,5 cm
Bài 30: Tại điểm O trong lòng đất đang xảy ra dư chấn của một trận động đất. Ở điểm A trên mặt đất có một trạm quan sát địa chấn. Tại thời điểm to, một rung chuyển ở O, tạo ra hai sóng cơ (một sóng dọc và một sóng ngang) truyền thẳng đến A và tới A ở hai thời điểm cách nhau 5 s. Biết tốc độ truyền sóng dọc và sóng ngang trong lòng đất lần lượt là 8000 m/s và 5000 m/s. Khoảng cách OA bằng
A. 66,7 km B. 15 km
C. 115 km D. 75,1 km
Lời giải:
Đáp án: A
Bài 31: Ở đầu một thanh thép đàn hồi dao động với tần số 16 Hz có gắn một quả cầu nhỏ chạm nhẹ vào mặt nước. Khi đó trên mặt nước có hình thành một sóng tròn tâm O. Tại A và B trên mặt nước, nằm cách nhau 6 cm trên đường thẳng qua O luôn cùng pha với nhau. Biết tốc độ truyền sóng thỏa mãn 0,4 m/s ≤ v ≤ 0,6 m/s. Tốc độ tuyền sóng trên mặt nước nhận giá trình trị nào sau dưới đây?
A. v = 52 cm/s. B. v = 48 cm/s.
C. v = 44 cm/s. D. v = 36 cm/s.
Lời giải:
Đáp án: B
Hai điểm dao động cùng pha
Vì 0,4 m/s ≤ v ≤ 0,6 m/s suy ra k = 2, v = 48 cm/s
Bài 32: Tại điểm S trên mặt nước yên tĩnh có nguồn dao động điều hoà theo phương thẳng đứng với tần số 50Hz. Khi đó trên mặt nước hình thành hệ sóng tròn đồng tâm S. Tại hai điểm M, N nằm cách nhau 9cm trên đường thẳng đi qua S luôn dao động cùng pha với nhau. Biết rằng, tốc độ truyền sóng thay đổi trong khoảng từ 70cm/s đến 80cm/s. Tốc độ truyền sóng trên mặt nước là
A. 75cm/s. B. 80cm/s.
C. 70cm/s. D. 72cm/s.
Lời giải:
Đáp án: A
Hai điểm dao động cùng pha
Vì 70cm/s ≤ v ≤ 80cm/s suy ra k = 6, v = 75 cm/s
Bài 33: Tại điểm S trên mặt nước yên tĩnh có nguồn dao động điều hoà theo phương thẳng đứng với tần số ƒ. Khi đó trên mặt nước hình thành hệ sóng tròn đồng tâm S. Tại hai điểm M, N nằm cách nhau 5cm trên đường thẳng đi qua S luôn dao động ngược pha với nhau. Biết tốc độ truyền sóng trên mặt nước là 80cm/s và tần số của nguồn dao động thay đổi trong khoảng từ 48Hz đến 64Hz. Tần số dao động của nguồn là
A. 64Hz. B. 48Hz.
C. 54Hz. D. 56Hz.
Lời giải:
Đáp án: D
Hai điểm dao động ngược pha
Vì 48Hz ≤ v ≤ 64Hz suy ra k = 3, ƒ = 56Hz
Bài 34: Một sóng ngang truyền trên sợi dây rất dài với tốc độ truyền sóng là 4m/s và tần số sóng có giá trị từ 33 Hz đến 43 Hz. Biết hai phần tử tại hai điểm trên dây cách nhau 25 cm luôn dao động ngược pha nhau. Tần số sóng trên dây là
A. 42 Hz. B. 35 Hz.
C. 40 Hz. D. 37 Hz.
Lời giải:
Đáp án: C
Hai điểm dao động ngược pha
Vì 33Hz ≤ v ≤ 43Hz suy ra k = 2, ƒ = 40Hz
Bài 35: Một sóng hình sin truyền theo phương Ox từ nguồn O với tần số 20 Hz, có tốc độ truyền sóng nằm trong khoảng từ 0,7 m/s đến 1 m/s. Gọi A và B là hai điểm nằm trên Ox, ở cùng một phía so với O và cách nhau 10 cm. Hai phần tử môi trường tại A và B luôn dao động ngược pha với nhau. Tốc độ truyền sóng là
A. 100cm/s B. 80cm/s
C. 85cm/s D. 90cm/s
Lời giải:
Đáp án: B
Hai điểm dao động ngược pha
Vì 0,7m/s ≤ v ≤ 1m/s suy ra k = 2, v = 80 cm/s
Bài 36: Trên mặt một chất lỏng, tại O có một nguồn sóng cơ dao động có tần số ƒ = 30 Hz. Tốc độ truyền sóng là một giá trị nào đó Trong khoảng từ 1,6 m/s đến 2,9 m/s. Biết tại điểm M cách O một khoảng 10 cm sóng tại đó luôn dao động ngược pha với dao động tại O. Giá trị của tốc độ truyền sóng là
A. v = 2 m/s. B. v = 3 m/s.
C. v = 2,4 m/s. D. v = 1,6 m/s.
Lời giải:
Đáp án: A
Hai điểm dao động ngược pha
Vì 1,6m/s ≤ v ≤ 2,9m/s suy ra k = 1, v = 2 m/s
Bài 37: Một sóng cơ học truyền trên dây với tốc độ v = 4 m/s, tần số sóng thay đổi từ 22 Hz đến 26 Hz. Điểm M trên dây, cách nguồn 28 cm luôn dao động lệch pha vuông góc với nguồn. Bước sóng truyền trên dây là
A. λ = 160 cm. B. λ = 1,6 cm.
C. λ = 16 cm. D. λ = 100 cm.
Lời giải:
Đáp án: C
Hai điểm dao động vuông pha
Vì 22 Hz ≤ v ≤ 26 Hz suy ra k = 3, ƒ = 25 Hz,
Bài 38: Một sóng cơ học có tần số ƒ = 50 Hz, tốc độ truyền sóng là v = 150 cm/s. Hai điểm M và N trên phương truyền sóng dao động ngược pha nhau, giữa chúng có 2 điểm khác cũng dao động ngược pha với M. Khoảng cách MN là
A. d = 4,5 cm. B. d = 9 cm.
C. d = 6 cm. D. d = 7,5 cm.
Lời giải:
Đáp án: D
. Hai điểm dao động ngược pha cách nhau nửa bước sóng, M ngược pha với N, giữa M và n có 2 điểm ngược pha với M (tức đồng pha với N) nên khoảng cách
Bài 39: Hai điểm M, N cùng nằm trên một hướng truyền sóng và cách nhau một phần ba bước sóng. Biên độ sóng không đổi trong quá trình truyền. Tại một thời điểm, khi li độ dao động của phần tử tại M là 3 cm thì li độ dao động của phần tử tại N là -3 cm. Biên độ sóng bằng
A. 6 cm. B. 3 cm.
C. 2√3 cm. D. 3√2 cm.
Lời giải:
Đáp án: C
Độ lệch pha của M và N là:
Từ vòng tròn biểu thị dao động cho hai điểm M và N ta thấy
Bài 40: Một sóng ngang có bước sóng λ lan truyền trên một sợi dây dài qua M rồi đến N cách nhau λ/12. Tai một thời điểm nào đó M có li độ 3 cm và N có li độ - 3√3 cm. Tính giá trị của biên độ sóng.
A. 6 cm. B. 2√3cm.
C. 6√7 cm D. 3√3 cm.
Lời giải:
Đáp án: C
Giả sử sóng truyền từ M đến N nên dao động tại M sớm pha hơn dao động tại N là:
Bài 41: Một sóng ngang có bước sóng λ lan truyền trên một sợi dây dài qua M rồi đến N cách nhau λ/3. Tai một thời điểm nào đó M có li độ 6 cm và N có li độ - 6 cm. Tính giá trị của biên độ sóng.
A. 6 cm. B. 4 cm.
C. 4√3 cm D. 3√2 cm.
Lời giải:
Đáp án: C
Giả sử sóng truyền từ M đến N nên dao động tại M sớm pha hơn dao động tại N là:
Bài 42: Hai điểm M, N cùng nằm trên một phương truyền sóng cách nhau λ/3, sóng có biên độ A, tại thời điểm t1 = 0 có uM = +3 cm và uN = –3 cm. Biết sóng truyền từ M đến N. Thời điểm t2 liền sau đó có uM = +A là
A. 11T/12 B. T/12 C. T/6 D. T/3
Lời giải:
Đáp án: B
Độ lệch pha của M và N là:
(M sớm pha hơn N)
Sử dụng vòng tròn biểu diễn dao động ta được thời điểm mà uM = +A sau đó là: t2 = T/12
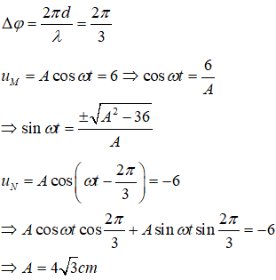
Bài 43: Một sóng cơ truyền dọc theo một sợi dây đàn hồi rất dài với biên độ 8 mm. Tại một thời điểm, hai phần tử trên dây cùng lệch khỏi vị trí cân bằng 4 mm, chuyển động ngược chiều và cách nhau một khoảng ngắn nhất là 7 cm (tính theo phương truyền sóng). Gọi δ là tỉ số của tốc độ dao động cực đại của một phần tử trên dây với tốc độ truyền sóng. δ gần giá trị nào nhất sau đây?
A. 0,105. B. 0,179.
C. 0,239. D. 0,314.
Lời giải:
Đáp án: C
Hai phần tử gần nhau nhất có độ lớn li độ A/2 chuyển động ngược chiều nhau cách nhau
Bài 44: Một sóng hình sin đang truyền trên một sợi dây theo chiều dương của trục Ox. Hình vẽ mô tả hình dạng của sợi dây tại thời điểm t1 (đường nét đứt) và t2 = t1 + 0,3 (s) (đường liền nét).Tại thời điểm t2, vận tốc của điểm N trên đây là
A. 65,4 cm/s. B. -65,4 cm/s.
C. -39,3 cm/s. D. 39,3 cm/s.
Lời giải:
Đáp án: D
A = 5 cm, từ 30 đến 60 cm có 6 ô nên chiều dài mỗi ô là (60 – 30)/6 = 5 cm. Bước sóng bằng 8 ô nên λ = 40cm. Trong thời gian 0,3 s sóng truyền đi được 3 ô theo phương ngang tương ứng quãng đường 15 cm nên tốc độ truyền sóng là
Chu kì
. Tần số góc
Tại t2, N qua VTCB và nằm ở sườn trước nên nó đang đi lên với vận tốc cực đại và vận tốc dương:
vmax = ωA = 2,5π.5 = 39,3 cm/s
Bài 45: Ở mặt nước, có hai nguồn kết hợp A, B dao động theo phương thẳng đứng với phương trình uA = uB = 2cos(20πt) mm. Tốc độ truyền sóng là 30 cm/s. Coi biên độ sóng không đổi khi sóng truyền đi. Phần tử M ở mặt nước cách hai nguồn lần lượt là 10,5 cm và 13,5 cm có biên độ dao động là
A. 2 mm. B. 4 mm. C. 1 mm. D. 0 mm.
Lời giải:
Đáp án: B
, d2 – d1 = 3 = λ nên tại M dao động với biên độ cực đại bằng 2.2 = 4 mm
(199k) Học Vật Lí 12 KNTTHọc Vật Lí 12 CDHọc Vật Lí 12 CTST
Xem thêm các dạng bài tập Vật Lí lớp 12 có trong đề thi Tốt nghiệp THPT khác:
- 125 câu trắc nghiệm Sóng cơ và Sóng âm có lời giải (cơ bản - phần 1)
- 125 câu trắc nghiệm Sóng cơ và Sóng âm có lời giải (cơ bản - phần 2)
- 125 câu trắc nghiệm Sóng cơ và Sóng âm có lời giải (cơ bản - phần 3)
- 125 câu trắc nghiệm Sóng cơ và Sóng âm có lời giải (nâng cao - phần 2)
- 125 câu trắc nghiệm Sóng cơ và Sóng âm có lời giải (nâng cao - phần 3)
Đã có app VietJack trên điện thoại, giải bài tập SGK, SBT Soạn văn, Văn mẫu, Thi online, Bài giảng....miễn phí. Tải ngay ứng dụng trên Android và iOS.
Theo dõi chúng tôi miễn phí trên mạng xã hội facebook và youtube:Nếu thấy hay, hãy động viên và chia sẻ nhé! Các bình luận không phù hợp với nội quy bình luận trang web sẽ bị cấm bình luận vĩnh viễn.
- Giải Tiếng Anh 12 Global Success
- Giải sgk Tiếng Anh 12 Smart World
- Giải sgk Tiếng Anh 12 Friends Global
- Lớp 12 Kết nối tri thức
- Soạn văn 12 (hay nhất) - KNTT
- Soạn văn 12 (ngắn nhất) - KNTT
- Giải sgk Toán 12 - KNTT
- Giải sgk Vật Lí 12 - KNTT
- Giải sgk Hóa học 12 - KNTT
- Giải sgk Sinh học 12 - KNTT
- Giải sgk Lịch Sử 12 - KNTT
- Giải sgk Địa Lí 12 - KNTT
- Giải sgk Giáo dục KTPL 12 - KNTT
- Giải sgk Tin học 12 - KNTT
- Giải sgk Công nghệ 12 - KNTT
- Giải sgk Hoạt động trải nghiệm 12 - KNTT
- Giải sgk Giáo dục quốc phòng 12 - KNTT
- Giải sgk Âm nhạc 12 - KNTT
- Giải sgk Mĩ thuật 12 - KNTT
- Lớp 12 Chân trời sáng tạo
- Soạn văn 12 (hay nhất) - CTST
- Soạn văn 12 (ngắn nhất) - CTST
- Giải sgk Toán 12 - CTST
- Giải sgk Vật Lí 12 - CTST
- Giải sgk Hóa học 12 - CTST
- Giải sgk Sinh học 12 - CTST
- Giải sgk Lịch Sử 12 - CTST
- Giải sgk Địa Lí 12 - CTST
- Giải sgk Giáo dục KTPL 12 - CTST
- Giải sgk Tin học 12 - CTST
- Giải sgk Hoạt động trải nghiệm 12 - CTST
- Giải sgk Âm nhạc 12 - CTST
- Lớp 12 Cánh diều
- Soạn văn 12 Cánh diều (hay nhất)
- Soạn văn 12 Cánh diều (ngắn nhất)
- Giải sgk Toán 12 Cánh diều
- Giải sgk Vật Lí 12 - Cánh diều
- Giải sgk Hóa học 12 - Cánh diều
- Giải sgk Sinh học 12 - Cánh diều
- Giải sgk Lịch Sử 12 - Cánh diều
- Giải sgk Địa Lí 12 - Cánh diều
- Giải sgk Giáo dục KTPL 12 - Cánh diều
- Giải sgk Tin học 12 - Cánh diều
- Giải sgk Công nghệ 12 - Cánh diều
- Giải sgk Hoạt động trải nghiệm 12 - Cánh diều
- Giải sgk Giáo dục quốc phòng 12 - Cánh diều
- Giải sgk Âm nhạc 12 - Cánh diều


Giải bài tập SGK & SBT
Tài liệu giáo viên
Sách
Khóa học
Thi online
Hỏi đáp

