60 Bài tập trắc nghiệm Con lắc đơn có lời giải (phần 3)
Với 60 Bài tập trắc nghiệm Con lắc đơn (phần 3) có lời giải chi tiết sẽ giúp học sinh ôn tập, biết cách làm Bài tập trắc nghiệm Con lắc đơn có lời giải (phần 3).
60 Bài tập trắc nghiệm Con lắc đơn có lời giải (phần 3)
(199k) Xem Khóa học Vật Lí 12 KNTTXem Khóa học Vật Lí 12 CDXem Khóa học Vật Lí 12 CTST
Câu 41. Một con lắc đơn có chiều dài dây treo 50 cm và vật nhỏ có khối lượng 0,01 kg mang điện tích +5.10-6 C, được coi là điện tích điểm. Con lắc dao động điều hòa trong điện trường đều mà vectơ cường độ điện trường có độ lớn E = 104 V/m, hướng thẳng đứng xuống dưới. Lấy g = 10 m/s2, π = 3,14. Chu kì dao động của con lắc là
A. 0,58 s B. 1,99 s C. 1,40 s D. 1,15 s
Lời giải:
q > 0 nên F→ cùng chiều với E→, a→ cùng chiều với F→ (cùng chiều với g→) và có độ lớn a = qE/m = 5 m/s2; g’ = g + a = 15 m/s2
Chọn D.
Câu 42. Một con lắc đơn được treo vào trần một thang máy. Khi thang máy chuyển động thẳng đứng đi lên nhanh dần đều với gia tốc có độ lớn a thì chu kì dao động điều hòa của con lắc là 2,52 s. Khi thang máy chuyển động thẳng đứng đi lên chậm dần đều với gia tốc cũng có độ lớn a thì chu kì dao động điều hòa của con lắc là 3,15 s. Khi thang máy đứng yên thì chu kì dao động điều hòa của con lắc là
A. 2,96 s B. 2,84 s C. 2,61 s D. 2,78 s
Lời giải:
Chọn D
Câu 43. Một con lắc đơn gồm dây treo có chiều dài 1 m và vật nhỏ có khối lượng 100 g mang điện tích 2.10-5 C. Treo con lắc đơn này trong điện trường đều với vectơ cường độ điện trường hướng theo phương ngang và có độ lớn 5.104 V/m. Trong mặt phẳng thẳng đứng đi qua điểm treo và song song với vectơ cường độ điện trường, kéo vật nhỏ theo chiều của vectơ cường độ điện trường sao cho dây treo hợp với vectơ gia tốc trong trường g→ một góc 54° rồi buông nhẹ cho con lắc dao động điều hòa. Lấy g = 10 m/s2. Trong quá trình dao động, tốc độ cực đại của vật nhỏ là
A. 0,59 m/s B. 3,41 m/s C. 2,87 m/s D. 0,50 m/s
Lời giải:
Ở vị trí cân bằng dây treo lệch so với phương thẳng đứng góc β với tanβ = qE/mg = 1 = tan45° → β = 45° → biên độ góc của dao động là α0 = 54° – 45° = 9° = 0,157 rad; vmax = ωα0 = 0,59 m/s. Chọn A.
Câu 44. Một con lắc đơn được treo vào trần của một xe ô tô đang chuyển động trên một đoạn đường nằm ngang. Chu kỳ dao động của con lắc đơn trong trường hợp xe chuyển động thẳng đều là T1, khi xe chuyển động nhanh dần đều với gia tốc có độ lớn a là T2 và khi xe chuyển động chậm dần đều với gia tốc có độ lớn a là T3. Biểu thức nào sau đây đúng?
A. T1 > T2 > T3.
B. T1 < T2 < T3.
C. T1 > T2 = T3.
D. T1 < T2 = T3.
Lời giải:
Vì g2 = g3 = √(g2+a2) > g, nên T1 > T2 = T3. Chọn C
Câu 45. Một con lắc đơn được treo vào trần một thang máy. Khi thang máy đứng yên, con lắc dao động điều hòa với chu kỳ T. Khi thang máy đi lên thẳng đứng, chậm dần đều với gia tốc có độ lớn bằng một nửa gia tốc trọng trường tại nơi đặt thang máy thì con lắc dao động với chu kỳ T’ bằng
A. 2T B. T/2 C. T√2 D. T/√2
Lời giải:
Chọn C
Câu 46. Một con lắc đơn dao động điều hòa được treo vào trần thang máy. Khi thang máy đứng yên thì trong thời gian t con lắc thực hiện được 20 dao động. Khi thang máy đi xuống chậm dần đều với gia tốc bằng 0,5625 gia tốc trọng trường thì trong thời gian đó con lắc thực hiện được bao nhiêu dao động?
A. 25 B. 24 C. 20 D. 18
Lời giải:
Chọn A.
Câu 47. Một con lắc đơn có dây treo dài 98,6 cm, treo ở nơi có gia tốc trọng trường g = π2 = 9,86 m/s2. Vật có khối lượng m = 90 g và có điện tích q = -9 μC. Con lắc dao động điều hòa trong điện trường có phương thẳng đứng với chu kỳ 1,8 s. Xác định độ lớn và hướng của véc tơ cường độ điện trường.
A. 21400 V/m; hướng xuống
B. 21400 V/m; hướng lên
C. 19600 V/m; hướng xuống
D. 19600 V/m; hướng lên
Lời giải:
Nên a→ hướng xuống (cùng hướng với g→ và có độ lớn a = g’ – g = 2,14 m/s2
E = ma/|q| = 2,14.104; q < 0 nên a→ ngược chiều với E→ → E→ hướng lên. Chọn B
Câu 48. Một con lắc đơn dao động điều hòa được treo vào trần một thang máy. Khi thang máy đi xuống lúc đầu là nhanh dần đều, sau đó là chậm dần đều với gia tốc có cùng độ lớn thì chu kỳ dao động điều hòa của con lắc lần lượt là T1 = 2,17 s và T2 = 1,86 s. Lấy g = 10 m/s2. Độ lớn của gia tốc đó là
A. |a| = 1,5 m/s2
B. |a| = 2,5 m/s2
C. |a| = 1,25 m/s2
D. |a| = 1,21 m/s2
Lời giải:
Chọn A.
Câu 49. Một con lắc đơn dao động điều hòa được treo vào trần một toa xe. Khi xe đứng yên, con lắc dao động với chu kỳ T. Khi xe chuyển động nhanh dần đều trên đoạn đường nằm ngang với gia tốc 2,87 m/s2. Lấy g = 10 m/s2 thì chu kỳ dao động điều hòa của con lắc là
A. T’ = 0,98T B. T’ = 1,12T C. T’ = √2 T D. T’ = 0,71T
Lời giải:
Chọn A.
Câu 50. Một con lắc gồm quả cầu có khối lượng 400g và sợi dây treo không dãn có trọng lượng không đáng kể, chiều dài 0,1 (m) được treo thẳng đứng ở điểm A. Biết con lắc đơn dao động điều hòa, tại vị trí có li độ góc 0,075 (rad) thì có vận tốc 0,075√3 (m/s) Cho gia tốc trọng trường 10(m/s2) Cơ năng dao động
A. 4,7 mJ B. 4,4 mJ C 4,5 mJ D 4,8 mJ
Lời giải:
Ta có ω2 = g/l = 10/0,1 = 100 và = α.l = 0,075.0,1 = 7,5.10-3 m
Vì vật dao động điều hòa nên:
Vậy
Câu 51. Chọn phát biểu sai. Xét con lắc đơn dao động điều hòa dưới tác dụng của trọng lực và lực căng dây, chu kì dao động của con lắc sẽ thay đổi khi
A. Giảm chiều dài của dây treo và giữa nguyên các thông số khác
B. Tăng chiều dài của dây treo và giữa nguyên các thông số khác
C. Thay đổi gia tốc trọng trường tại nơi đặt con lắc và giữ nguyên các thông số khác
D. Thay đổi khối lượng của vật nặng và giữ nguyên các thông số khác
Lời giải:
Chu kì dao động của con lắc đơn không phụ thuộc vào khối lượng của vật nặng, do đó việc thay đổi khối lượng không làm thay đổi chu kì dao động của con lắc. Chọn D.
Câu 52. Một con lắc đơn dao động điều hòa với phương trình dao động s = 7,2cos((5π/6)t - π/3) cm. Lấy g = π2 cm/s2. Biên độ góc của dao động
A. 0,069 rad B. 0,072 rad C. 0,05 rad D. 0,036 rad
Lời giải:
Ta có
Biên độ góc của dao động
Chọn C
Câu 53. (Quốc gia – 2013) Hai con lắc đơn có chiều dài lần lượt là 81cm và 64cm được treo ở trần một căn phòng. Khi các vật nhỏ của hai con lắc đang ở vị trí cân bằng, đồng thời truyền cho chúng các vận tốc cùng hướng sao cho hai con lắc dao động điều hòa với cùng biên độ góc, trong hai mặt phẳng song song với nhau. Gọi Δt là khoảng thời gian ngắn nhất kể từ lúc truyền vận tốc đến lúc hai dây treo song song nhau. Giá trị Δt gần giá trị nào nhất sau đây:
A. 2,36 s B. 8,12 s C. 0,45 s D. 7,20 s
Lời giải:
Dạng phương trình dao động của hai con lắc đơn α = α0cos(ωt - π/2) rad
Trong đó
Điều kiện hai sợi dây song song ⇔ hai con lắc này có cùng li độ góc
Hệ nghiệm thứ nhất luôn cho nghiệm thời gian âm nên không có ý nghĩa vật lý
⇒ t = 36/85 + 72k/85 thời gian ngắn nhất ứng với k = 0 ⇒ t = 36/85 s. Chọn C.
Câu 54. (Sở Bình Thuận – 2017) Để đo gia tốc trọng trường g tại một vị trí trên mặt đất ta có thể sử dụng con lắc đơn và
A. Đo chu kì T, đo khối lượng m của con lắc, từ đó tính được gia tốc g.
B. Đo chiều dài dây treo l, đo khối lượng m của con lắc, từ đó tính được gia tốc g.
C. Đo biên độ A, đo chu kì T, từ đó tính được gia tốc g.
D. Đo chiều dài dây treo l, đo chu kì T, từ đó tính được gia tốc g.
Lời giải:
Ta có thể đo gia tốc bằng cách sử dụng con lắc đơn, đo chu kì và chiều dài dây treo của con lắc sau đó tính gia tốc trọng trường từ biểu thức.
Chọn D
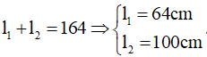
Câu 55. (Chuyên Lê Hồng Phong – 2017) Tại một nơi có hai con lắc đơn dao động điều hòa. Trong cùng một khoảng thời gian, người ta thấy con lắc thứ nhất thực hiện được 4 dao động, con lắc thứ hai thực hiện được 5 dao động. Tổng chiều dài của hai con lắc là 164 cm. Chiều dài của mỗi con lắc là
A. l1 = 100 m, l2 = 6,4 m
B. l1 = 64 cm, l2 = 100 cm
C. l1 = 1 m, l2 = 64 cm
D. l1 = 6,4 cm, l2 = 100 cm
Lời giải:
Ta có chu kì của các con lắc được xác định bởi
Kết hợp với giả thuyết
Chọn B
Câu 56. (THPT Thực hành – sp HCM – 2017) Một con lắc đơn gồm vật nặng có khối lượng m gắn với dây treo có chiều dài l. Từ vị trí cân bằng kéo lệch sợi dây sao cho góc lệch của sợi dây với phương thẳng đứng là α0 = 60° rồi thả nhẹ. Lấy g = 10 m/s2. Bỏ qua mọi ma sát. Độ lớn của gia tốc khi lực căng dây có độ lớn bằng trọng lực
A. 10/3 m/s2 B. 0 m/s2 C. (10√5)/3 m/s2 D. (10√6)/3 m/s2
Lời giải:
Biểu thức của lực căng dây :
Gia tốc của vật
a = √(an + at)với an là gia tốc hướng tâm và at là gia tốc tiếp tuyến
Vậy
Chọn B
Câu 57. (Chuyên Phan Bội Châu – 2017) Một con lắc đơn có chiều dài 40 cm, được treo tại nơi có gia tốc trọng trường bằng 10 m/s2. Bỏ qua lực cản của không khí. Đưa dây treo lệch khỏi phương thẳng đứng một góc 0,15 rad rồi thả nhẹ. Tốc độ của quả nặng tại vị trí dây treo lệch khỏi phương thẳng đứng một góc 0,12 rad bằng
A. 6 cm/s B. 24 cm/s C. 18 cm/s D. 30 cm/s
Lời giải:
Tốc độ của vật năng tại vị trí có li độ góc α
Chọn C
Câu 58. (Cẩm Lý – 2017)Tại một nơi trên mặt đất, con lắc đơn có chiều dài l1 dao động với tần số 3 Hz, con lắc đơn có chiều dài l2 dao động với tần số 4 Hz. Con lắc có chiều dài l1 + l2 sẽ dao động với tần số là
A. 1 Hz B. 5 Hz C. 2,4 Hz D. 7 Hz
Lời giải:
Ta có
Chọn C
Câu 59. (Yên Lạc – 2017) Một con lắc đơn có chiều dài l m được treo dưới gầm cầu cách mặt nước 12 m. Con lắc đơn dao động điều hòa với biên độ góc α0 = 0,1 rad. Khi vật đi qua vị tri cân bằng thì dây bị đứt. Khoảng cách cực đại ( tính theo phương ngang) từ điểm treo con lắc đến điểm mà vật nặng rơi trên mặt nước mà con lắc thể đạt được là.
A. 49 cm B. 95 cm C. 65 cm D. 85 cm
Lời giải:
+ Tốc độ của con lắc khi đi qua vị trí cân bằng
v0 = √(g.l) = √(10.1).0,1 = 0,1π m/s
+ Thời gian chuyển động của vật
t = √(2h/g) = √(2.12/10) = 1,5 s
+ Tầm xa của vật
xmax = v0t = 0,1.π.1,5 = 49 cm
Chọn A
Câu 60. (Chuyên Lê Quý Đôn – 2017) Hai con lắc đơn có khối lượng như nhau, cùng dao động điều hòa với biên độ nhỏ trong hai mặt phẳng thẳng đứng song song nhau. Biết chu kì con lắc thứ nhất gấp 2 lần chu kì con lắc thứ hai, biên độ của con lắc thứ hai gấp 3 lần biên độ của con lắc thứ nhất. Chọn mốc thế năng của mỗi con lắc ở vị trí cân bằng của chúng. Tại một thời điểm nào đó, hai con lắc có cùng li độ, đồng thời động năng con lắc thứ nhất gấp 3 lần thế năng của nó. Tỉ số giữa tốc độ của con lắc thứ hai và con lắc thứ nhất tại thời điểm đó bằng
A. 140/3 B. 35/3 C. √(35/3) D. √(140/3)
Lời giải:
Ta có T1 = 2T2 ⇒ ω2 = 2ω1
Khi hai con lắc này gặp nhau s1 = s2 = s01/2
Chọn D
(199k) Xem Khóa học Vật Lí 12 KNTTXem Khóa học Vật Lí 12 CDXem Khóa học Vật Lí 12 CTST
Xem thêm các dạng bài tập Vật Lí lớp 12 ôn thi Tốt nghiệp có lời giải hay khác:
Đã có app VietJack trên điện thoại, giải bài tập SGK, SBT Soạn văn, Văn mẫu, Thi online, Bài giảng....miễn phí. Tải ngay ứng dụng trên Android và iOS.
Theo dõi chúng tôi miễn phí trên mạng xã hội facebook và youtube:Nếu thấy hay, hãy động viên và chia sẻ nhé! Các bình luận không phù hợp với nội quy bình luận trang web sẽ bị cấm bình luận vĩnh viễn.
- Giải Tiếng Anh 12 Global Success
- Giải sgk Tiếng Anh 12 Smart World
- Giải sgk Tiếng Anh 12 Friends Global
- Lớp 12 Kết nối tri thức
- Soạn văn 12 (hay nhất) - KNTT
- Soạn văn 12 (ngắn nhất) - KNTT
- Giải sgk Toán 12 - KNTT
- Giải sgk Vật Lí 12 - KNTT
- Giải sgk Hóa học 12 - KNTT
- Giải sgk Sinh học 12 - KNTT
- Giải sgk Lịch Sử 12 - KNTT
- Giải sgk Địa Lí 12 - KNTT
- Giải sgk Giáo dục KTPL 12 - KNTT
- Giải sgk Tin học 12 - KNTT
- Giải sgk Công nghệ 12 - KNTT
- Giải sgk Hoạt động trải nghiệm 12 - KNTT
- Giải sgk Giáo dục quốc phòng 12 - KNTT
- Giải sgk Âm nhạc 12 - KNTT
- Giải sgk Mĩ thuật 12 - KNTT
- Lớp 12 Chân trời sáng tạo
- Soạn văn 12 (hay nhất) - CTST
- Soạn văn 12 (ngắn nhất) - CTST
- Giải sgk Toán 12 - CTST
- Giải sgk Vật Lí 12 - CTST
- Giải sgk Hóa học 12 - CTST
- Giải sgk Sinh học 12 - CTST
- Giải sgk Lịch Sử 12 - CTST
- Giải sgk Địa Lí 12 - CTST
- Giải sgk Giáo dục KTPL 12 - CTST
- Giải sgk Tin học 12 - CTST
- Giải sgk Hoạt động trải nghiệm 12 - CTST
- Giải sgk Âm nhạc 12 - CTST
- Lớp 12 Cánh diều
- Soạn văn 12 Cánh diều (hay nhất)
- Soạn văn 12 Cánh diều (ngắn nhất)
- Giải sgk Toán 12 Cánh diều
- Giải sgk Vật Lí 12 - Cánh diều
- Giải sgk Hóa học 12 - Cánh diều
- Giải sgk Sinh học 12 - Cánh diều
- Giải sgk Lịch Sử 12 - Cánh diều
- Giải sgk Địa Lí 12 - Cánh diều
- Giải sgk Giáo dục KTPL 12 - Cánh diều
- Giải sgk Tin học 12 - Cánh diều
- Giải sgk Công nghệ 12 - Cánh diều
- Giải sgk Hoạt động trải nghiệm 12 - Cánh diều
- Giải sgk Giáo dục quốc phòng 12 - Cánh diều
- Giải sgk Âm nhạc 12 - Cánh diều


Giải bài tập SGK & SBT
Tài liệu giáo viên
Sách
Khóa học
Thi online
Hỏi đáp

