60 bài tập trắc nghiệm Hiện tượng quang điện có lời giải (phần 3)
Với 60 bài tập trắc nghiệm Hiện tượng quang điện (phần 3)có lời giải chi tiết sẽ giúp học sinh ôn tập, biết cách làm bài tập trắc nghiệm Hiện tượng quang điện (phần 3)
60 bài tập trắc nghiệm Hiện tượng quang điện có lời giải (phần 3)
(199k) Xem Khóa học Vật Lí 12 KNTTXem Khóa học Vật Lí 12 CDXem Khóa học Vật Lí 12 CTST
Bài 1: Với ε1, ε2, ε3 lầnlượt là năng lượng của phôton ứng với các bức xạ màu lục, bức xạ tử ngoại và bức xạ hồng ngoại thì
A. ε2 > ε1 > ε3. B. ε2 > ε3 > ε1.
C. ε1 > ε2 > ε3. D. ε3 > ε1 > ε2.
Lời giải:
Đáp án A
Trong ba bức xạ đã cho: bức xạ tử ngoại có bước sóng ngắn nhất nên năng lượng của phôtôn tương ứng là lớn nhất; bức xạ hồng ngoại có bước sóng dài nhất nên năng lượng của phôtôn tương ứng là bé nhất.
Bài 2: Khi nói về thuyết lượng tử ánh sáng, phát biểu nào dưới đây là sai?
A. Khi ánh sáng truyền đi, tần số ánh sáng không bi thay đổi và không phụ thuộc khoảng cách tới nguồn sáng.
B. Nguyên tử hay phân tử vật chất không hấp thụ hay bức xạ ánh sáng một cách liên tục mà thành từng phần riêng biệt, đứt quãng.
C. Năng lượng của phôtôn ứng với ánh sáng đỏ lớn hơn năng lượng của phôtôn ứng vớị ánh sáng tím.
D. Mỗi chùm sáng dù rất yếu cũng chứa một số lượng phôtôn rất lớn.
Lời giải:
Đáp án C
Phát biểu sai là: Năng lượng của phôtôn ứng với ánh sáng độ lớn hơn năng lượng của phôtôn ứng với ánh sáng tím.
Bài 3: Chiếu vào catôt của tế bào quang điện lần lượt hai bức xạ. Khi chiếu bức xạ có tần số f1 = 1,6500.1015Hz thì dòng quang điện bằng 0 với UAK < - 4,95V. Khi chiếu bức xạ có f2 = 1,9035.1015Hz thì dòng quang điện bằng 0 với UAK < - 6V. Đáp án đáp số đúng về hằng số Plãng.
A. 6,625.10-34J.s. B. 6,624.10-34J.s.
C. 6,627.10-34J.s. D. 6,626.10-34J.s.
Lời giải:
Đáp án C
Theo đề ra thì hiệu điện thế hãm trong hai trường hợp là U1 = 4,95V và U2 = 6V.
Từ (1) và (2), ta có:
h(f1 - f2) = e(U1 - U2) ⇒ h = 6,627.10-34J.s
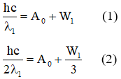
Bài 4: Chiếu lần lượt hai bức xạ λ1 và λ2 = 2λ1 vào tấm kim loại có giới hạn quang điện λ0 = 0,6μm. Động năng ban đầu cưc đại lần lượt thu được có Wđ1 = 3Wđ2. Vậy Wđ1 là
A. 3eV. B. 3,5eV. C. 9,94.10-19J. D. 3,212J.
Lời giải:
Đáp án C
Ta có:
Chia hai vế của (1) cho 2, rồi trừ đi (2):
Bài 5: Trong đồ thị hình 3.2, đường tiệm cận ngang của phần kéo dài đồ thị là Uh = U1. Đáp án phát biểu đúng.
A. Vẽ đường kéo dài nét đứt là vì theo quy ước Uh > 0.
B. Không tính được U1.
C. U1 = -3V.
D. U1 = -1,875V.
Lời giải:
Đáp án D
Bài 6: Chiếu đồng thời hai bức xạ λ1 = 0,23μm; λ2 = 0,35μm, các quang electron bật ra có vận tốc ban đầu cực đại là 106m/s. Giới hạn quang điện λ0 của kim loại là
A. 0,6μm. B. 0,46μm. C. 0,3μm. D. 0,554μm.
Lời giải:
Đáp án B
Do λ2 > λ1 nên quang electron có vận tốc ban đầu cực đại cần tìm phải ứng với λ1:
Thay số, ta có: λ0 = 0,46μm.
Bài 7: Chiếu một bức xạ có bước sóng λ vào tấm kim loại có công thoát là 3eV thì tấm kim loại đạt điện thế cực đại là 2V. Vậy λ phải là
A. 0,248μm. B. 0,3μm.
C. 0,158μm. D. 0,25μm.
Lời giải:
Đáp án A
Biểu thức của điện thế cực đại mà tấm kim loại cô lập đạt được là:
Thay số, ta được λ = 0,248μm.
Bài 8: Chiếu bức xạ có λ = 0,3μm vào tấm kim loại có giới hạn quang điện λ0 = 0,6μm. Cho chùm hẹp các quang electron này đi vào từ trường đều vuông góc với vận tốc ban đầu
và không đổi, có cảm ứng từ B = 10-2T, thì bán kính quỹ đạo tròn của quang êlectron là:
A. r = 2cm. B. r ≤ 4,85cm.
C. r = 1,5cm. D. r = 1,44cm.
Lời giải:
Đáp án B
Khi đi vào từ trường mà
thì quang electron chuyển động tròn đều.
Lực Lo - ren - xơ là lực hướng tâm:
Do v0 < v0max nên
. Tính v0max tò công thức Anh-xtanh:
Thay số, ta được r ≤ 4,85cm.
Bài 9: Kim loại dùng làm catôt của một tế bào quang điện có giới hạn quang điện ứng với tần số là 4,5283.1014Hz. Biết h = 6,625.10-34J.s và tốc độ ánh sáng trắng chân không C = 3.108m/s. Công thoát của êlectron khỏi mặt kim loại này là
A. 0,3.10-17J. B. 3.10-17J.
C. 3.10-19J. D. 0,3.10-20J.
Lời giải:
Đáp án C
A = hf0 = 6,625.10-34.4,5238.1014 ≈ 3.10-19J.
Bài 10: Công thoát êlectron khỏi mặt kim loại canxi là 2,76eV. Biết h = 6,625.10-34J.s; C = 3.108m/s và 1eV = 1,6.10-19J. Giới hạn quang điện của kim loại này là
A. 0,36μm. B. 0,66|μm.
C. 0,72μm D. 0,45μm.
Lời giải:
Đáp án D
Bài 11: Để gây ra hiện tượng quang điện với kim loại có công thoát electron là 1,88eV thì ánh sáng kích thích phải có tần số tối thiểu bằng bao nhiêu?
Biết hằng số Plăng h = 6,625.10-34J.s, tốc độ ánh sáng trắng chân không c = 3.108m/s và 1eV = 1,6.10-19J.
A. 1,45.1014Hz. B. 4,04.1014Hz.
C. 4,54.1014Hz. D. 2,54.1014Hz.
Lời giải:
Đáp án C
Bài 12: Giới hạn quang điện của một kim loại làm catôt của tế bào quang điện là λ0 = 500nm. Biết tốc độ ánh sáng trắng chân không và hằng số Plăng lần lượt là 3.108m/s và 6,625.10-34J.s. Chiếu vào catôt của tế bào quang điện này bức xạ có bước sóng λ = 350nm, thì động năng ban đầu cực đại của quang êlectron là
A. 0,625eV. B. 1,0625eV.
C. 6,25eV. D. 1,625eV.
Lời giải:
Đáp án B
Từ công thức:
Bài 13: Chiếu vào catôt của tế bào quang điện một chùm bức xạ có tần số 2.1014Hz với công suất 0,1W thì có hiện tượng quang điện xảy ra. Hỏi trong mỗi giây có bao nhiêu electron bật ra khỏi catôt nếu hiệu suất quang điện bằng 0,1%?
A. 3,65.1015. B. 3,65.1014.
C. 7,55.1015. D. 7,55.1014.
Lời giải:
Đáp án D
Bài 14: Trong thí nghiệm về tế bào quang điện, cường độ dòng quang điện bão hòa là 64μA. Hiệu suất lượng tử là 2%. Số phôtôn phát ra trong mỗi giây là
A. 2.1016. B. 4.1017. C. 4.1018. D. 4.1019.
Lời giải:
Đáp án A
Bài 15: Khi truyền trong chân không, ánh sáng đỏ có bước sóng λ1 = 640μm, ánh sáng tím có bước sóng λ2 = 500μm. Cho hai ánh sáng này truyền trong một môi trường trong suốt thì chiết suất tuyệt đối của môi trường đó đối với hai ánh sáng này lần lượt là n1 = 1,41 và n2 = 1,44. Khi truyền trong môi trường trong suốt trên, tỉ số năng lượng của phôtôn có bước sóng so với năng lượng của phôtôn có bước sóng λ2 bằng
Lời giải:
Đáp án B
Bài 16: Giới hạn quang điện của đồng (Cu) là λ0 = 0,30μm. Biết hằng số Plăng h = 6,625.10-34J.s và tốc độ truyền ánh sáng trắng chân không là c = 3.108m/s. Công thoát của electron khỏi bề mặt của đồng là
A. 8,28eV. B. 2,07eV. C. 1,03eV. D. 4,14eV.
Lời giải:
Đáp án D
Bài 17: Theo thuyết lượng tử ánh sáng thì năng lượng của
A. một phôtôn bằng năng lượng nghỉ của một electron
B. phôtôn phụ thuộc vào khoảng cách từ phôtôn đó tới nguồn phát ra nó.
C. các phôtôn trong cùng một chùm sáng đơn sắc có trị số bằng nhau.
D. phôtôn tỉ lệ thuận với bước sóng ánh sáng tương ứng với phôtôn đó.
Lời giải:
Chọn C
Bài 18: Chiếu ánh sáng có bước sóng λ = 0,42μm vào catôt của một tế bào quang điện có công thoát êlectron là 2eV. Phải dùng hiệu điện thế hãm Uh bằng bao nhiêu để vừa đủ triệt tiêu dòng quang điện?
Biết h = 6,625.10-34J.s; c = 3.108m/s.
A. 1,2eV. B. 1,5eV. C. 0,96eV. D. 3eV.
Lời giải:
Đáp án C
Từ công thức:
Bài 19: Chiếu ánh sáng có tần số thích hợp vào catôt tế bào quang điện thì số êlectron bị bứt ra khỏi catôt của tế bào quang điện trong mỗi giây là 5.1014 (êlectron/s). Cho ε = 1,6.10-19C. Cường độ dòng quang điện bão hòa là
A. 80μA. B. 2,5.10-6A. C. 8.10-6A. D. 5μA.
Lời giải:
Đáp án A
Số êlectron bị bật ra khỏi catôt của tế bào quang điện trong giây:
Ibh = Nee = 5.1014.1,6.10-19 = 80.10-6A = 80μA.
Bài 20: Chiếu ánh sáng có tần số thích hợp vào catôt của tế bào quang điện thì động năng ban đầu cực đại của êlectron quang điện là 3,4eV và cường độ dòng quang điện qua mạch là 0,2μA. Nếu vẫn chiếu ánh sáng có tần số nói trên và duy trì một hiệu điện thế giữa arrôt vàr catôt của tế bào quang điện là UAK = -4,2V, thì cường độ dòng quang điện khi đó có trị số bằng
A. 0. B. 0,2μA. C. 4μA. D. 0,4μA.
Lời giải:
Đáp án A
eUh = Wđmax ⇒ Uh = 3,4V.
Vì UAK = - 4,2V < - Uh. Vậy không có dòng quang điện (I = 0).
(199k) Xem Khóa học Vật Lí 12 KNTTXem Khóa học Vật Lí 12 CDXem Khóa học Vật Lí 12 CTST
Xem thêm các dạng bài tập Vật Lí lớp 12 ôn thi Tốt nghiệp có lời giải hay khác:
Đã có app VietJack trên điện thoại, giải bài tập SGK, SBT Soạn văn, Văn mẫu, Thi online, Bài giảng....miễn phí. Tải ngay ứng dụng trên Android và iOS.
Theo dõi chúng tôi miễn phí trên mạng xã hội facebook và youtube:Nếu thấy hay, hãy động viên và chia sẻ nhé! Các bình luận không phù hợp với nội quy bình luận trang web sẽ bị cấm bình luận vĩnh viễn.
- Giải Tiếng Anh 12 Global Success
- Giải sgk Tiếng Anh 12 Smart World
- Giải sgk Tiếng Anh 12 Friends Global
- Lớp 12 Kết nối tri thức
- Soạn văn 12 (hay nhất) - KNTT
- Soạn văn 12 (ngắn nhất) - KNTT
- Giải sgk Toán 12 - KNTT
- Giải sgk Vật Lí 12 - KNTT
- Giải sgk Hóa học 12 - KNTT
- Giải sgk Sinh học 12 - KNTT
- Giải sgk Lịch Sử 12 - KNTT
- Giải sgk Địa Lí 12 - KNTT
- Giải sgk Giáo dục KTPL 12 - KNTT
- Giải sgk Tin học 12 - KNTT
- Giải sgk Công nghệ 12 - KNTT
- Giải sgk Hoạt động trải nghiệm 12 - KNTT
- Giải sgk Giáo dục quốc phòng 12 - KNTT
- Giải sgk Âm nhạc 12 - KNTT
- Giải sgk Mĩ thuật 12 - KNTT
- Lớp 12 Chân trời sáng tạo
- Soạn văn 12 (hay nhất) - CTST
- Soạn văn 12 (ngắn nhất) - CTST
- Giải sgk Toán 12 - CTST
- Giải sgk Vật Lí 12 - CTST
- Giải sgk Hóa học 12 - CTST
- Giải sgk Sinh học 12 - CTST
- Giải sgk Lịch Sử 12 - CTST
- Giải sgk Địa Lí 12 - CTST
- Giải sgk Giáo dục KTPL 12 - CTST
- Giải sgk Tin học 12 - CTST
- Giải sgk Hoạt động trải nghiệm 12 - CTST
- Giải sgk Âm nhạc 12 - CTST
- Lớp 12 Cánh diều
- Soạn văn 12 Cánh diều (hay nhất)
- Soạn văn 12 Cánh diều (ngắn nhất)
- Giải sgk Toán 12 Cánh diều
- Giải sgk Vật Lí 12 - Cánh diều
- Giải sgk Hóa học 12 - Cánh diều
- Giải sgk Sinh học 12 - Cánh diều
- Giải sgk Lịch Sử 12 - Cánh diều
- Giải sgk Địa Lí 12 - Cánh diều
- Giải sgk Giáo dục KTPL 12 - Cánh diều
- Giải sgk Tin học 12 - Cánh diều
- Giải sgk Công nghệ 12 - Cánh diều
- Giải sgk Hoạt động trải nghiệm 12 - Cánh diều
- Giải sgk Giáo dục quốc phòng 12 - Cánh diều
- Giải sgk Âm nhạc 12 - Cánh diều


Giải bài tập SGK & SBT
Tài liệu giáo viên
Sách
Khóa học
Thi online
Hỏi đáp

