40 bài tập trắc nghiệm Mạch điện xoay chiều chỉ có 1 phần tử có lời giải (phần 2)
Với 40 bài tập trắc nghiệm Mạch điện xoay chiều chỉ có 1 phần tử (phần 2) có lời giải chi tiết sẽ giúp học sinh ôn tập, biết cách làm bài tập trắc nghiệm Mạch điện xoay chiều chỉ có 1 phần tử (phần 2)
40 bài tập trắc nghiệm Mạch điện xoay chiều chỉ có 1 phần tử có lời giải (phần 2)
(199k) Xem Khóa học Vật Lí 12 KNTTXem Khóa học Vật Lí 12 CDXem Khóa học Vật Lí 12 CTST
Câu 22. Một đoạn mạch điện xoay chiều gồm một tụ điện có điện dung C1 = 2.10-4/π (F) mắc nối tiếp với một tụ điện có điện dung C2 = 2.10-4/(3π) (F) Dòng điện xoay chiều chạy qua đoạn mạch có biểu thức i = cos(100πt + π/3) A. Biểu thức điện áp xoay chiều giữa hai đầu đoạn mạch là
A. u = 200cos(100πt - π/6) V
B. u = 200cos(100πt + π/3) V
C. u ≈ 85,7cos(100πt - π/6) V
D. u ≈ 85,7cos(100πt - π/2) V
Lời giải:
Dung kháng tổng hợp:
Do mạch điện chỉ có tụ điện ⇒ u chậm pha π/2 so với i ⇒ φu = φi - π/2 = -π/6.
Điện áp cực đại: U0 = I0ZC = 200 (V) ⇒ u = 200cos(100πt - π/6) (V). Chọn A.
Câu 23. Cho một đoạn mạch điện xoay chiều chỉ có tụ điện. Điện áp tức thời và cường độ dòng điện tức thời của đoạn mạch là u và i. Điện áp hiệu dụng và cường độ hiệu dụng là U, I. Biểu thức nào sau đây là đúng ?
Lời giải:
Mạch chỉ chứa tụ điện nên u và i vuông pha với nhau:
Chọn B.
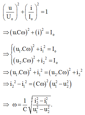
Câu 24. Cho đoạn mạch điện xoay chiều chỉ có tụ điện với điện dung C. Tại thời điểm t1 điện áp và dòng điện qua tụ điện có giá trị lần lượt là u1; i1. Tại thời điểm t2 điện áp và dòng điện qua tụ điện có giá trị lần lượt là u2; i2. Tần số góc của dòng điện được xác định bởi hệ thức nào dưới đây?
Lời giải:
Ta có: U0 = I0.ZC = I0/(Cω)
Mạch chỉ chứa tụ điện nên u và i vuông pha với nhau:
Chọn D.
Câu 25. Cho đoạn mạch điện xoay chiều chỉ có tụ điện với điện dung C. Tại thời điểm t1 điện áp và dòng điện qua tụ điện có giá trị lần lượt là 40 V; 1 A. Tại thời điểm t2 điện áp và dòng điện qua tụ điện có giá trị lần lượt là 50 V ; 0,6 A. Dung kháng của mạch có giá trị là
A. 30 Ω. B. 40 Ω. C. 50 Ω. D. 37,5 Ω.
Lời giải:
Ta có: U0 = I0.ZC = I0/(Cω)
Mạch chỉ chứa tụ điện nên u và i vuông pha với nhau:
Chọn D.
Câu 26. Cho đoạn mạch điện xoay chiều chỉ có tụ điện với điện dung C = 10-4/π (F). Đặt điện áp xoay chiều có tần số 50 Hz vào hai đầu đoạn mạch. Tại thời điểm mà điện áp hai đầu mạch có giá trị 100√10 V thì cường độ dòng điện trong mạch là √2 A. Điện áp hiệu dụng hai đầu tụ điện có giá trị là
A. UC = 100√2 V B. UC = 100√6 V
C. UC = 100√3 V D. UC = 200√2 V
Lời giải:
Ta có:
U0 = I0.ZC = 100I0
Mạch chỉ chứa tụ điện nên u và i vuông pha với nhau:
Chọn B.
Câu 27. Đặt điện áp u = U0cos(100π – π/3) V vào hai đầu một tụ điện có điện dung C = 2.10-4/π (F). Ở thời điểm điện áp giữa hai đầu tụ điện là 150 V thì cường độ dòng điện trong mạch là 4 A. Biểu thức cường độ dòng điện trong mạch là
Lời giải:
Ta có:
U0 = I0.ZC = 50I0
Mạch chỉ chứa tụ điện nên u và i vuông pha với nhau:
Mạch chỉ chứa tụ nên φi sớm pha π/2 so với φu : φi = π/2 + φu = π/2 – π/3 = π/6
⇒ i = 5cos(100πt + π/6) A. Chọn A.
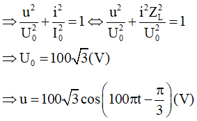
Câu 28. Cho đoạn mạch điện xoay chiều chỉ có tụ điện với điện dung C = 10-4/(π√3) (F). Đặt điện áp xoay chiều có tần số 50 Hz vào hai đầu đoạn mạch thì cường độ dòng điện chạy qua tụ điện có biểu thức i = I0cos(100π + π/6) A Tại thời điểm mà điện áp hai đầu mạch có giá trị 100√6 V thì cường độ dòng điện trong mạch là √2 A. Biểu thức điện áp hai đầu tụ điện là
Lời giải:
Ta có:
Mạch chỉ chứa tụ điện nên u và i vuông pha với nhau:
Mạch chỉ chứa tụ nên φi sớm pha π/2 so với φu : φi = π/2 + φu ⇒ φu = π/6 – π/2 = -π/3
⇒ u = 200√3cos(100πt - π/3) V. Chọn D.
Câu 29. Đặt điện áp u = U0cos(100πt – π/4) V vào hai đầu một tụ điện có điện dung C = 10-4/π (F) Ở thời điểm điện áp giữa hai đầu tụ điện là 50√3 V thì cường độ dòng điện trong mạch là 0,5 A. Biểu thức cường độ dòng điện trong mạch là
A. i = cos(100πt – π/4) A.
B. i = 0,5cos(100πt – π/4) A
C. i = cos(100πt + π/4) A.
D. i = 0,5cos(100πt – π/4) A
Lời giải:
U0 = I0.ZC = 100I0
Do mạch chỉ có C nên u, i vuông pha nhau. Ta có mối quan hệ vuông pha:
Mạch chỉ có C nên i nhanh pha π/2 so với u ⇒ φi = φu + π/2 = -π/4 + π/2 = π/4
⇒ i = cos(100πt + π/4). Chọn C.
Câu 30. Đặt điện áp u = U0cos(ωt) vào 2 đầu cuộn cảm thuần có L = 1/(3π) H. Ở thời điểm t1 các giá trị tức thời của u và i lần lượt là 100 V và -2,5√3 A, ở thời điểm t2 có giá trị là 100√3 V và -2,5 A. Tìm ω?
A. 100π rad/s B. 50π rad/s
C. 60π rad/s D. 120π rad/s
Lời giải:
Do mạch điện chỉ có cuộn dây thuần cảm ⇒ u nhanh pha π/2 so với i
Mà U0 = ωLI0 ⇒ ω = U0/(LI0) = 120π (rad/s). Chọn D.
Câu 31. Chọn phát biểu đúng khi nói so sánh pha của các đại lượng trong dòng điện xoay chiều?
A. uR nhanh pha hơn uL góc π/2.
B. uR và i ngược pha với nhau.
C. uR nhanh pha hơn uC góc π/2.
D. uL nhanh pha hơn uC góc π/2.
Lời giải:
uR cùng pha với i; uR nhanh pha hơn uC góc π/2, uR trễ pha hơn uL góc π/2. Chọn C.
Câu 32. Vẽ đồ thị biểu diễn sự phụ thuộc của cảm kháng ZL vào tần số của dòng điện xoay chiều qua cuộn dây ta được đường biểu diễn là
A. đường parabol.
B. đường thẳng qua gốc tọa độ.
C. đường hypebol.
D. đường thẳng song song với trục hoành.
Lời giải:
Ta có: ZL = L.ω = L.2πf ⇒ ZL phụ thuộc vào f là hàm bậc nhất theo thời gian nên có đồ thị phụ thuộc là một đường thẳng qua gốc tọa độ. Chọn B.
Câu 33. Đặt điện áp xoay chiều u = U0cos(100πt) vào hai đầu cuộn dây thuần cảm L = 5/π H. Khi điện áp có giá trị u = 50 V thì cường độ dòng điện là i = 0,1√3 A. Điện áp cực đại đầu cuộn dây là
A. 100√3 V B. 100√2 V C. 100V D. 50√2 V
Lời giải:
Ta có:
Do mạch chỉ có L nên u, i vuông pha nhau. Ta có mối quan hệ vuông pha:
Chọn C.
Câu 34. Một mạch điện xoay chiều chỉ có tụ điện, mối quan hệ về pha của u và i trong mạch là
A. i sớm pha hơn u góc π/2.
B. u và i ngược pha nhau.
C. u sớm pha hơn i góc π/2.
D. u và i cùng pha với nhau.
Lời giải:
Mạch xoay chiều chỉ có tụ điện thì i sớm pha π/2 so với u, hay u trễ pha π/2 so với i. Chọn A.
Câu 35. Cuộn dây thuần cảm có độ tự cảm L. Đặt vào hai đầu cuộn dây điện áp xoay chiều u = U0cos100πt (V). Tại thời điểm t = t1 điện áp tức thời và cường độ dòng điện tức thời có giá trị lần lượt u1 = 50 V; i1 = √2 A. Đến thời điểm t2 thì u2 = 50√2 V; i2 = 1 A. Tính điện áp hiệu dụng hai đầu cuộn dây?
A. U = 50√3 V B. U = 50√6 V C. U = 50√2 V D. 25√6 V
Lời giải:
Do mạch điện chỉ có cuộn dây thuần cảm ⇒ u nhanh pha π/2 so với i
Chọn D.
Câu 36. Một mạch điện xoay chiều chỉ có cuộn thuần cảm, mối quan hệ về pha của u và i trong mạch là
A. i sớm pha hơn u góc π/2.
B. u và i ngược pha nhau.
C. u sớm pha hơn i góc π/2.
D. u và i cùng pha với nhau.
Lời giải:
Mạch chỉ có cuộn cảm lên u sớm pha hơn i góc π/2. Chọn C.
Câu 37. Đồ thị biểu diễn của uC theo i trong mạch điện xoay chiều chỉ có tụ điện có dạng là
A. đường cong parabol.
B. đường thẳng qua gốc tọa độ.
C. đường cong hypebol.
D. đường elip.
Lời giải:
Trong mạch chỉ có tụ điện nên uC và i vuông pha với nhau, ta có:
⇒ uC phụ thuộc vào i có đồ thị là đường elip. Chọn D.
Câu 38. Cho đoạn mạch điện xoay chiều chỉ có tụ điện với điện dung C = 2.10-4/(π√3) (F). Đặt điện áp xoay chiều có tần số 50 Hz vào hai đầu đoạn mạch thì cường độ dòng điện chạy qua tụ điện có biểu thức i = I0cos(100π + π/6) A. Tại thời điểm mà điện áp hai đầu mạch có giá trị 150 V thì cường độ dòng điện trong mạch là 1 A. Biểu thức điện áp hai đầu tụ điện là
Lời giải:
Dung kháng: .
Do mạch điện chỉ có cuộn dây thuần cảm ⇒ u chậm pha π/2 so với i ⇒ φu = φi - π/2 = -π/3.
Chọn D.
Câu 39. Đồ thị biểu diễn của uR theo i trong mạch điện xoay chiều có dạng là
A. đường cong parabol.
B. đường thẳng qua gốc tọa độ.
C. đường cong hypebol.
D. đường elip.
Lời giải:
uR cùng pha với i: uR = i.R: đồ thị là đường thẳng qua gốc tọa độ. Chọn B.
Câu 40. Đặt điện áp u = U0cos(ωt) vào 2 đầu cuộn cảm thuần có L = (√2)/(5π) H. Ở thời điểm t1 các giá trị tức thời của u và i lần lượt là 50 V và 2√2 A, ở thời điểm t2 có giá trị là 50√3 V và -2 A. Tìm ω?
A. 125π rad/s B. 150π rad/s
C. 100π rad/s D. 120π rad/s
Lời giải:
Do mạch điện chỉ có cuộn dây thuần cảm ⇒ u nhanh pha π/2 so với i
Mà U0 = ωLI0 ⇒ ω = U0/(LI0) = 125π (rad/s). Chọn A.
Câu 41. Vẽ đồ thị biểu diễn sự phụ thuộc của dung kháng ZC vào tần số của dòng điện xoay chiều qua tụ điện ta được đường biểu diễn là
A. đường cong parabol.
B. đường thẳng qua gốc tọa độ.
C. đường cong hypebol.
D. đường thẳng song song với trục hoành.
Lời giải:
Ta có: ZC phụ thuộc vào f có đồ thị là đường cong hypebol. Chọn C.
(199k) Xem Khóa học Vật Lí 12 KNTTXem Khóa học Vật Lí 12 CDXem Khóa học Vật Lí 12 CTST
Xem thêm các dạng bài tập Vật Lí lớp 12 ôn thi Tốt nghiệp có lời giải hay khác:
40 bài tập trắc nghiệm Mạch điện xoay chiều chỉ có 1 phần tử có lời giải (phần 1)
40 bài tập trắc nghiệm Mạch điện xoay chiều chỉ có 1 phần tử có lời giải (phần 2)
Đã có app VietJack trên điện thoại, giải bài tập SGK, SBT Soạn văn, Văn mẫu, Thi online, Bài giảng....miễn phí. Tải ngay ứng dụng trên Android và iOS.
Theo dõi chúng tôi miễn phí trên mạng xã hội facebook và youtube:Nếu thấy hay, hãy động viên và chia sẻ nhé! Các bình luận không phù hợp với nội quy bình luận trang web sẽ bị cấm bình luận vĩnh viễn.
- Giải Tiếng Anh 12 Global Success
- Giải sgk Tiếng Anh 12 Smart World
- Giải sgk Tiếng Anh 12 Friends Global
- Lớp 12 Kết nối tri thức
- Soạn văn 12 (hay nhất) - KNTT
- Soạn văn 12 (ngắn nhất) - KNTT
- Giải sgk Toán 12 - KNTT
- Giải sgk Vật Lí 12 - KNTT
- Giải sgk Hóa học 12 - KNTT
- Giải sgk Sinh học 12 - KNTT
- Giải sgk Lịch Sử 12 - KNTT
- Giải sgk Địa Lí 12 - KNTT
- Giải sgk Giáo dục KTPL 12 - KNTT
- Giải sgk Tin học 12 - KNTT
- Giải sgk Công nghệ 12 - KNTT
- Giải sgk Hoạt động trải nghiệm 12 - KNTT
- Giải sgk Giáo dục quốc phòng 12 - KNTT
- Giải sgk Âm nhạc 12 - KNTT
- Giải sgk Mĩ thuật 12 - KNTT
- Lớp 12 Chân trời sáng tạo
- Soạn văn 12 (hay nhất) - CTST
- Soạn văn 12 (ngắn nhất) - CTST
- Giải sgk Toán 12 - CTST
- Giải sgk Vật Lí 12 - CTST
- Giải sgk Hóa học 12 - CTST
- Giải sgk Sinh học 12 - CTST
- Giải sgk Lịch Sử 12 - CTST
- Giải sgk Địa Lí 12 - CTST
- Giải sgk Giáo dục KTPL 12 - CTST
- Giải sgk Tin học 12 - CTST
- Giải sgk Hoạt động trải nghiệm 12 - CTST
- Giải sgk Âm nhạc 12 - CTST
- Lớp 12 Cánh diều
- Soạn văn 12 Cánh diều (hay nhất)
- Soạn văn 12 Cánh diều (ngắn nhất)
- Giải sgk Toán 12 Cánh diều
- Giải sgk Vật Lí 12 - Cánh diều
- Giải sgk Hóa học 12 - Cánh diều
- Giải sgk Sinh học 12 - Cánh diều
- Giải sgk Lịch Sử 12 - Cánh diều
- Giải sgk Địa Lí 12 - Cánh diều
- Giải sgk Giáo dục KTPL 12 - Cánh diều
- Giải sgk Tin học 12 - Cánh diều
- Giải sgk Công nghệ 12 - Cánh diều
- Giải sgk Hoạt động trải nghiệm 12 - Cánh diều
- Giải sgk Giáo dục quốc phòng 12 - Cánh diều
- Giải sgk Âm nhạc 12 - Cánh diều


Giải bài tập SGK & SBT
Tài liệu giáo viên
Sách
Khóa học
Thi online
Hỏi đáp

