40 bài tập trắc nghiệm Phương pháp giản đồ vectơ trong dòng điện xoay chiều có lời giải (phần 1)
Với 40 bài tập trắc nghiệm Phương pháp giản đồ vectơ trong dòng điện xoay chiều (phần 1) có lời giải chi tiết sẽ giúp học sinh ôn tập, biết cách làm bài tập trắc nghiệm Phương pháp giản đồ vectơ trong dòng điện xoay chiều (phần 1)
40 bài tập trắc nghiệm Phương pháp giản đồ vectơ trong dòng điện xoay chiều có lời giải (phần 1)
(199k) Xem Khóa học Vật Lí 12 KNTTXem Khóa học Vật Lí 12 CDXem Khóa học Vật Lí 12 CTST
Câu 1. Cho một mạch điện xoay chiều AB gồm điện trở thuần R = 100Ω, cuộn dây thuần cảm L, tụ điện có điện dung C. Đặt vào hai đầu đoạn mạch một điện áp xoay chiều u = 220cos100πt (V), biết ZL = 2ZC. Ở thời điểm t điện áp hai đầu điện trở R là 60V, hai đầu tụ điện là 40V. Hỏi điện áp hai đầu đoạn mạch AB khi đó là:
A. 72,11 V. B. 100,5 V.
C. 76,5 V. D. 87,9 V.
Lời giải:
Chọn A.
Ta có:
Câu 2. Đoạn mạch xoay chiều AB chứa 3 linh kiện R, L, C. Đoạn AM chứa L, MN chứa R và NB chứa C. Biết R = 50 Ω, ZL = 50√3 Ω, ZC = (50√3)/3 Ω. Khi uAN = 80√3 V thì uMB = 60 V. uAB có giá trị cực đại là:
A. 150V. B. 100V.
C. 50√7 V. D. 100√3 V.
Lời giải:
Chọn C.
Từ giá trị các trở kháng ta có giản đồ véctơ. Từ giản đồ véctơ ta thấy ở thời điểm t:
uMB = uRC = 60(V) thì uC = 30(V) và uR = 30√3 (V) suy ra i = UR/R = 0,6√3 A
Ta luôn có i và uC vuông pha nhau nên:
Vậy điện áp cực đại U0 = I0Z = 50√7 V.
Câu 3. Đoạn mạch điện xoay chiều gồm điện trở thuần 30Ω mắc nối tiếp với cuộn dây. Điện áp hiệu dụng ở hai đầu cuộn dây là 120V. Dòng điện trong mạch lệch pha π/6 so với điện áp hai đầu đoạn mạch và lệch pha π/3 so với điện áp hai đầu cuộn dây. Cường độ hiệu dụng dòng qua mạch bằng:
A. 3√3 A B. 3A C. 4A D. √2 A
Lời giải:
Chọn C.
Từ giản đồ véctơ ta thấy tam giác AMB cân tại M, suy ra
UR = MB = 120V ⇒ i = UR/R = 120/30 = 4 A
Câu 4. Trên đoạn mạch xoay chiều không phân nhánh có bốn điểm theo đúng thứ tự A, M, N và B. Giữa hai điểm A và M chỉ có điện trở thuần, giữa hai điểm M và N chỉ có tụ điện, giữa hai điểm N và B chỉ có cuộn cảm. Đặt vào hai đầu đoạn mạch một điện áp xoay chiều 240V – 50 Hz thì uMB và uAM lệch pha nhau π/3, uAB và uMB lệch pha nhau π/6. Điện áp hiệu dụng trên R là
A. 80 V. B. 60 V. C. 60√3 V. D. 80√3 V.
Lời giải:
Chọn D.
Vẽ mạch điện và vẽ giản đồ véctơ.
Tam giác AMB cân tại M nên ta có góc ∠ABM = π/6.
Theo định lý hàm sin:
Câu 5. Cho mạch điện như hình vẽ. Đặt vào hai đầu đoạn mạch điện áp xoay chiều u = 120√6cos100.t (V) ổn định, thì điện áp hiệu dụng hai đầu MB bằng 120V, công suât tiêu thụ toàn mạch bằng 360W; độ lệch pha giữa uAN và uMB là 90°, uAN và uAB là 60° . Tìm R và r
A. R = 120 Ω; r = 60 Ω B. R = 60 Ω; r = 30 Ω
C. R = 60 Ω; r = 120 Ω D. R = 30 Ω; r = 60 Ω
Lời giải:
Chọn B. Vẽ giản đồ véctơ như hình vẽ.
Suy ra: α = ∠EOF = 90° – 60° = 30°.
Xét tam giác OEF: EF2 = OE2 + OF2 – 2OE.OFcos30° .
Thay số: EF = OE = 120 (V). Suy ra UR = 120V (3)
Mặt khác: UAB2 = (UR + Ur)2 + (UL – UC)2 .
Với (UL – UC)2 = UMB2 – Ur2 (xét tam giác vuông OO1E)
UAB2 = UR2 +2URUr + UMB2 .
Từ (1), (2), (3) ta được Ur = 60 (V).
Góc lệch pha giữa u và i trong mạch: φ = ∠FOO3 = 30° (vì theo trên ΔOEF là tam giác cân có góc ở đáy bằng 30°).
Từ công thức P = UIcosφ
Câu 6. Đặt điện áp xoay chiều tần số 50 Hz vào hai đầu đoạn mạch AB gồm hai đoạn mạch AM và MB mắc nối tiếp. Đoạn AM gồm điện trở thuần R = 100√3 Ω mắc nối tiếp với cuộn cảm thuần có độ tự cảm L, đoạn MB chỉ có tụ điện có điện dung C = 0,05/π mF. Biết điện áp giữa hai đầu đoạn mạch MB và điện áp giữa hai đầu đoạn mạch AB lệch pha nhau π/3. Giá trị L bằng
A. 2/π H. B. 1/π H.
C. (√3)/π H. D. 3/π H.
Lời giải:
Chọn B.
Câu 7. Cho mạch điện AB gồm điện trở thuần R, tụ điện C và cuộn dây mắc nối tiếp. Xét điểm M nối giữa R và C, đoạn NB chứa cuộn dây. Biết điện áp hai đầu đoạn mạch có biểu thức uAB = 120√2cos(100πt + π/6) V. Cường độ dòng điện hiệu dụng trong mạch là I = 2A, uMB lệch pha π/3 so với uAM, uMB lệch pha π/6 so với uAB, uAN lệch pha π/2 so với uAB. Điện trở thuần của cuộn dây là
A. r = 10√2 Ω . B. r = 20√2 Ω
C. r = 20√3 Ω . D. r = 10√3 Ω .
Lời giải:
Chọn C.
Câu 8. Trên đoạn mạch xoay chiều không phân nhánh có bốn điểm theo đúng thứ tự A, M, N và B. Giữa hai điểm A và M chỉ có điện trở thuần, giữa hai điểm M và N chỉ có cuộn dây, giữa 2 điểm N và B chỉ có tụ điện. Đặt vào hai đầu đoạn mạch một điện áp 175 V – 50 Hz thì điện áp hiệu dụng trên đoạn AM là 25 V, trên đoạn MN là 25 V và trên đoạn NB là 175 V. Hệ số công suất của toàn mạch là
A. 3/25 . B. 1/25 . C. 7/25 . D. 2/25 .
Lời giải:
Chọn C.
Câu 9. Một cuộn cảm có độ tự cảm L = (0,5√2)/π H mắc nối tiếp với một điện trở thuần R. Đặt vào hai đầu đoạn mạch một điện áp xoay chiều tần số f = 50Hz có giá trị hiệu dụng U = 100V thì điện áp hai đầu R là U1 = 25√2 V , hai đầu cuộn dây là U2 = 25√10 V. Công suất tiêu thụ của đoạn mạch là:
A. 50√2 W B. (125√6)/4 W
C. 25√6 W D. 50√6 W
Lời giải:
Chọn A.
Dễ thấy rằng cuộn dây không thuần cảm, có điện trở thuần r.
Ta có:
Vậy công suất tiêu thụ trên toàn mạch là: P = I2(R + r) = 50√2 W.
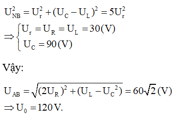
Câu 10. Cho mạch điện xoay chiều như hình vẽ. Biết hiệu điện thế hai đầu đoạn mạch: u = U0cosωt (V), R = r. Hiệu điện thế uAM và uNB vuông pha với nhau và có cùng một giá trị hiệu dụng là 30√5. Hỏi U0 có giá trị bao nhiêu?
A. 120√2 V. B. 120 V.
C. 60√2 V. D. 60 V.
Lời giải:
Chọn B.
Vẽ giản đồ véctơ.
Dễ thấy 2 tam giác APM và BPN bằng nhau.
Do đó: MP = NP hay UL = Ur = UR và PB = AP hay UC – UL = 2 UR.
Từ đó:
Câu 11. Đoạn mạch xoay chiều AB chứa 3 linh kiện R, L, C. Đoạn mạch AM chứa L, MN chứa R, NB chứa C, R = 50 Ω, ZL = 50√3 Ω, ZC = 50/√3 Ω. Khi uAN = 80√3 V thì uMB = 60 V. Giá trị cực đại của uAB là
A. 100√3 V B. 100 C. 150 D. 50√7 V
Lời giải:
Chọn D.
Câu 12. Đặt một hiệu điện thế u = U√2cos(ωt) vào hai đầu đoạn mạch RLC mắc nối tiếp, trong đó cuộn dây thuần cảm, hiệu điện thế hiệu dụng URL = √13UC và hiệu điện thế UC lệch pha 2π/3 so với U. Tỉ số U/UC ?
A. (√5)/2 . B. 3. C. 2. D. 2/5 .
Lời giải:
Chọn D.
Theo giản đồ vecto ta có: U2RL = U2 = UC2 - 2UUCcos120° (1)
Mặt khác theo bài ra : URL = UC√13 (2)
Từ (1) và (2) ta có:
Câu 13. Đặt một điện áp xoay chiều vào hai đầu đoạn mạch L, R, C mắc nối tiếp theo thứ tự đó. Điện áp hai đầu đoạn các đoạn mạch chứa L, R có biểu thức: uLR = 150cos(100πt + π/3) (V). Cho R = 25Ω. Cường độ dòng điện trong mạch có giá trị hiệu dụng bằng:
A. 3A. B. 3√2 A. C. (3√2)/2 A. D. 3,3 A.
Lời giải:
Chọn C.
Câu 14. Cho mạch điện AB gồm một điện trở thuần R mắc nối tiếp với một tụ điện C và một cuộn dây theo đúng thứ tự. Gọi M là điểm nối giữa điện trở thuần và tụ điện, N điểm nối giữa tụ điện và cuộn dây. Đặt vào hai đầu đoạn mạch điện áp xoay chiều có giá trị hiệu dụng 120√3 V không đổi, tần số f = 50Hz thì đo đươc điện áp hiệu dụng giữa hai điểm M và B là 120V, điện áp UAN lệch pha π/2 so với điện áp UMB đồng thời UAB lệch pha π/3 so với UAN. Biết công suất tiêu thụ của mạch khi đó là 360W. Nếu nối tắt hai đầu cuộn dây thì công suất tiêu thụ của mạch là :
A. 810W B. 240W C. 540W D. 180W
Lời giải:
Chọn C.
Câu 15. Đặt điện áp u = U0cosωt (U0 và ω không đổi) vào hai đầu đoạn mạch AB theo thứ tự gồm một tụ điện, một cuộn cảm thuần và một điện trở thuần mắc nối tiếp. Gọi M là điểm nối giữa tụ điện và cuộn cảm. Biết điện áp hiệu dụng giữa hai đầu AM bằng điện áp hiệu dụng giữa hai đầu MB và cường độ dòng điện trong đoạn mạch lệch pha π/12 so với điện áp giữa hai đầu đoạn mạch. Hệ số công suất của đoạn mạch MB.
A. (√3)/2 B. 0,26 C. 0,50 D. (√2)/2
Lời giải:
Chọn C.
Cách giải 1:
Vẽ giản đồ véctơ.
Xét tứ giác hình thoi:
φMB = π/3 ⇒ cosφMB = 1/2
Cách giải 2:
Câu 16. Cho đoạn mạch AB gồm hai đoạn mạch AM nối tiếp với MB. Biết đoạn AM gồm R nối tiếp với C và MB có cuộn cảm có độ tự cảm L và điện trở r. Đặt vào AB một điện áp xoay chiều u = U√2cosωt (V). Biết R = r = √(L/C), điện áp hiệu dụng giữa hai đầu MB lớn gấp n = √3 điện áp hai đầu AM. Hệ số công suất của đoạn mạch có giá trị là
A. 0,866 B. 0,975 C. 0,755 D. 0,887
Lời giải:
Chọn A.
Vẽ giản đồ véctơ như hình vẽ.
Từ (1) và (2) ta thấy PQ2 = OP2 + OQ2 ⇒ tam giác OPQ vuông tại O.
Từ UMB = nUAM = UAM√3 ta có:
Tứ giác OPEQ là hình chữ nhật. Khi đó:
Do đó góc lệch pha giữa u và i trong mạch: φ = 90° – 60° = 30°.
Vì vậy cosφ = cos30° = (√3)/2 = 0,866 .
Bài tập bổ sung
Bài 1: Một cuộn dây mắc nối tiếp với tụ điện C, hiệu điện thế hai đầu đoạn mạch u = 120√2sin100πt (V), điện áp hai đầu cuộn dây có giá trị hiệu dụng là 120 (V) và nhanh pha π/2 so với điện áp hai đầu đoạn mạch. Hệ số công suất của mạch bằng
A.√3/2.
B. √2/2.
C. 0,5.
D. 0,8.
Bài 2: Đặt điện áp u = U0 cos(ωt - π/6) (V) vào hai đầu đoạn mạch gồm điện trở thuần R và cuộn cảm thuần có độ tự cảm L mắc nối tiếp thì cường độ dòng điện qua đoạn mạch là i = I0 cos(ωt - 5π/12) (A). Tỉ số điện trở thuần R và cảm kháng của cuộn cảm là
A. 1/2.
B. 1.
C. √3/2.
D. √3.
Bài 3: Mạch điện xoay chiều gồm điện trở thuần R = 30 (Ω) mắc nối tiếp với cuộn dây. Đặt vào hai đầu mạch một điện áp xoay chiều u = U√2cos100πt (V). Điện áp hiệu dụng ở hai đầu cuộn dây là Ud = 60 V. Dòng điện trong mạch lệch pha π/6 so với u và lệch pha π/3 so với ud. Điện áp hiệu dụng ở hai đầu mạch (U) có giá trị
A. 60√3 (V).
B. 120 (V).
C. 90 (V).
D. 60√2 (V).
Bài 4: Một cuộn dây mắc nối tiếp với tụ điện C, hiệu điện thế hai đầu đoạn mạch u = 120√2sin100πt, hiệu điện thế hai đầu cuộn dây có giá trị hiệu dụng là 120 (V) và nhanh pha π/2 so với hiệu điện thế hai đầu đoạn mạch. Hệ số công suất của mạch bằng
A. 0,8.
B. √2/2.
C. √3/2.
D. 1/2.
Bài 5: Đoạn mạch điện xoay chiều gồm điện trở thuần 30 (2) mắc nối tiếp với cuộn dây. Điện áp hiệu dụng ở hai đầu cuộn dây là 120 V. Dòng điện trong mạch lệch pha π/6 so với điện áp hai đầu đoạn mạch và lệch pha π/3 so với điện áp hai đầu cuộn dây. Cường độ hiệu dụng dòng qua mạch bằng
A. 1 (A)
B. 2 (A)
C. 3 (A)
D. 4 (A)
Bài 6: Cho một mạch điện xoay chiều gồm một điện trở thuần R và tụ điện có điện dung C mắc nối tiếp. Điện áp đặt vào hai đầu đoạn mạch là u = 100√2cos100πt (V), bỏ qua điện trở dây nối. Biết cường độ dòng điện trong mạch có giá trị hiệu dụng là √3 A và lệch pha π/3 so với điện áp hai đầu đoạn mạch. Giá trị của R và C là
A. R= 50/√3 Ω và C=10-3/5π F.
B. R=50/√3 Ω và C=10-4/5π F.
C. R=50√3 Ω và C=10-3/π F.
D. R=50√3 Ω và C=10-4/π F.
Bài 7: Một đoạn mạch điện xoay chiều gồm điện trở thuần, cuộn cảm thuần và tụ điện mắc nối tiếp. Biết cảm kháng gấp đôi dung kháng. Dùng vôn kế xoay chiều (điện trở rất lớn) đo điện áp giữa hai đầu tụ điện và điện áp giữa hai đầu điện trở thì số chỉ của vôn kế là như nhau. Độ lệch pha của điện áp giữa hai đầu đoạn mạch so với cường độ dòng điện trong đoạn mạch là
A. π/4.
B. π/6.
C. π/3.
D. -π/3.
Bài 8: Đặt điện áp xoay chiều u = 120√6cosωt V vào hai đầu đoạn mạch AB gồm hai đoạn mạch AM và MB mắc nối tiếp. Đoạn AM là cuộn dây có điện trở thuần r và có độ tự cảm L, đoạn MB gồm điện trở thuần R mắc nối tiếp với tụ điện C. Điện áp hiệu dụng trên đoạn MB gấp đôi điện áp hiệu dụng trên R và cường độ hiệu dụng của dòng điện trong mạch là 0,5 A. Điện áp trên đoạn MB lệch pha so với điện áp hai đầu đoạn mạch là π/2
a. Tính công suất tiêu thụ toàn mạch.
b. Viết biểu thức dòng điện qua mạch.
Bài 9: Đặt điện áp xoay chiều có giá trị hiệu dụng không đổi 150 V vào đoạn mạch AMB gồm đoạn AM chỉ chứa điện trở R, đoạn mạch MB chứa tụ điện có điện dung C mắc nối tiếp với một cuộn cảm thuần có độ tự cảm L thay đổi được. Biết sau khi thay đổi độ tự cảm L thì điện áp hiệu dụng hai đầu mạch MB tăng 2√2 lần và dòng điện trong mạch trước và sau khi thay đổi lệch pha nhau một góc π/2. Tìm điện áp hiệu dụng hai đầu mạch AM khi chưa thay đổi L?
Bài 10: Đặt điện u = 220√2cos100πt (V) vào hai đầu đoạn mạch AB gồm hai đoạn mạch AM và MB mắc nối tiếp. Đoạn AM gồm cuộn cảm thuần L mắc nối tiếp với điện trở thuần R, đoạn MB chỉ có tụ điện C. Biết điện áp giữa hai đầu đoạn mạch AM và điện áp giữa hai đầu đoạn mạch MB có giá nhưng lệch pha nhau 2π/3. Điện áp hiệu dụng giữa hai đầu đoạn mạch AM bằng bao nhiêu?
(199k) Xem Khóa học Vật Lí 12 KNTTXem Khóa học Vật Lí 12 CDXem Khóa học Vật Lí 12 CTST
Xem thêm các dạng bài tập Vật Lí lớp 12 ôn thi Tốt nghiệp có lời giải hay khác:
Đã có app VietJack trên điện thoại, giải bài tập SGK, SBT Soạn văn, Văn mẫu, Thi online, Bài giảng....miễn phí. Tải ngay ứng dụng trên Android và iOS.
Theo dõi chúng tôi miễn phí trên mạng xã hội facebook và youtube:Nếu thấy hay, hãy động viên và chia sẻ nhé! Các bình luận không phù hợp với nội quy bình luận trang web sẽ bị cấm bình luận vĩnh viễn.
- Giải Tiếng Anh 12 Global Success
- Giải sgk Tiếng Anh 12 Smart World
- Giải sgk Tiếng Anh 12 Friends Global
- Lớp 12 Kết nối tri thức
- Soạn văn 12 (hay nhất) - KNTT
- Soạn văn 12 (ngắn nhất) - KNTT
- Giải sgk Toán 12 - KNTT
- Giải sgk Vật Lí 12 - KNTT
- Giải sgk Hóa học 12 - KNTT
- Giải sgk Sinh học 12 - KNTT
- Giải sgk Lịch Sử 12 - KNTT
- Giải sgk Địa Lí 12 - KNTT
- Giải sgk Giáo dục KTPL 12 - KNTT
- Giải sgk Tin học 12 - KNTT
- Giải sgk Công nghệ 12 - KNTT
- Giải sgk Hoạt động trải nghiệm 12 - KNTT
- Giải sgk Giáo dục quốc phòng 12 - KNTT
- Giải sgk Âm nhạc 12 - KNTT
- Giải sgk Mĩ thuật 12 - KNTT
- Lớp 12 Chân trời sáng tạo
- Soạn văn 12 (hay nhất) - CTST
- Soạn văn 12 (ngắn nhất) - CTST
- Giải sgk Toán 12 - CTST
- Giải sgk Vật Lí 12 - CTST
- Giải sgk Hóa học 12 - CTST
- Giải sgk Sinh học 12 - CTST
- Giải sgk Lịch Sử 12 - CTST
- Giải sgk Địa Lí 12 - CTST
- Giải sgk Giáo dục KTPL 12 - CTST
- Giải sgk Tin học 12 - CTST
- Giải sgk Hoạt động trải nghiệm 12 - CTST
- Giải sgk Âm nhạc 12 - CTST
- Lớp 12 Cánh diều
- Soạn văn 12 Cánh diều (hay nhất)
- Soạn văn 12 Cánh diều (ngắn nhất)
- Giải sgk Toán 12 Cánh diều
- Giải sgk Vật Lí 12 - Cánh diều
- Giải sgk Hóa học 12 - Cánh diều
- Giải sgk Sinh học 12 - Cánh diều
- Giải sgk Lịch Sử 12 - Cánh diều
- Giải sgk Địa Lí 12 - Cánh diều
- Giải sgk Giáo dục KTPL 12 - Cánh diều
- Giải sgk Tin học 12 - Cánh diều
- Giải sgk Công nghệ 12 - Cánh diều
- Giải sgk Hoạt động trải nghiệm 12 - Cánh diều
- Giải sgk Giáo dục quốc phòng 12 - Cánh diều
- Giải sgk Âm nhạc 12 - Cánh diều


Giải bài tập SGK & SBT
Tài liệu giáo viên
Sách
Khóa học
Thi online
Hỏi đáp

