60 bài tập trắc nghiệm Sóng âm có lời giải (phần 3)
Với 60 bài tập trắc nghiệm Sóng âm có (phần 3) có lời giải chi tiết sẽ giúp học sinh ôn tập, biết cách làm bài tập trắc nghiệm Sóng âm có (phần 3)
60 bài tập trắc nghiệm Sóng âm có lời giải (phần 3)
(199k) Xem Khóa học Vật Lí 12 KNTTXem Khóa học Vật Lí 12 CDXem Khóa học Vật Lí 12 CTST
Câu 41. Một cái sáo (một đầu kín, một đầu hở ) phát âm cơ bản là nốt nhạc La tần số 440 Hz. Ngoài âm cơ bản, tần số nhỏ nhất của các hoạ âm do sáo này phát ra là
A. 1320Hz B. 880 Hz
C. 1760 Hz D.440 Hz
Lời giải:
Chọn A.
Đối với ống sáo một đầu hở một đầu kín thì điều kiện có sóng dừng khi:
→
Vậy âm cơ bản ứng với m = 1:
Và tần số nhỏ nhất của họa âm ứng với m = 3:
Câu 42. Một ống khí có một đầu bịt kín, một đàu hở tạo ra âm cơ bản có tần số 112Hz. Biết tốc độ truyền âm trong không khí là 336m/s. Bước sóng dài nhất của các họa âm mà ống này tạo ra bằng:
A. 1m. B. 0,8 m.
C. 0,2 m. D. 2m.
Lời giải:
Chọn A.
Ống sáo:
Với k = 1 là âm cơ bản, k = 3, 5, 7... là các họa âm bậc 3, bậc 5, bậc 7...
→ f = k.f0 (k = 3,5,7...)
Bước sóng của họa âm max nên tần số họa âm min nên k = 3 (họa âm bậc 3)
Câu 43. Trên sợi dây đàn dài 65cm sóng ngang truyền với tốc độ 572m/s. Dây đàn phát ra bao nhiêu hoạ âm (kể cả âm cơ bản) trong vùng âm nghe được ?
A. 45. B. 22.
C. 30. D. 37.
Lời giải:
Chọn A.
Câu 44. Một nhạc cụ phát ra âm có tần số âm cơ bản là f = 420(Hz). Một người có thể nghe được âm có tần số cao nhất là 18000 (Hz). Tần số âm cao nhất mà người này nghe được do dụng cụ này phát ra là:
A. 17850(Hz) B. 18000(Hz)
C. 17000(Hz) D.17640(Hz)
Lời giải:
Chọn D.
fn = n.fcb = 420n (n ∈ N)
Mà fn ≤ 18000 ⇒ 420n ≤ 18000 ⇒ n ≤ 42.
⇒ fmax = 420 x 42 = 17640 (Hz)
Câu 45. Hai nguồn âm nhỏ S1, S2 giống nhau (được coi là hai nguồn kết hợp) phát ra âm thanh cùng pha và cùng biên độ. Một người đứng ở điểm N với S1N = 3m và S2N = 3,375m. Tốc độ truyền âm trong không khí là 330m/s. Tìm bước sóng dài nhất để người đó ở N không nghe được âm thanh từ hai nguồn S1, S2 phát ra.
A. λ = 1m B. λ = 0,5m
C. λ = 0,4m D. λ = 0,75m
Lời giải:
Chọn D.
Để ở N không nghe được âm thì tại N hai sóng âm ngược pha nhau,
Tại N sóng âm có biên độ cực tiểu:
→ λ có giá trị dài nhất khi N ở đường cực tiểu thứ nhất k = 0; Đồng thời f = v/T > 16 Hz
Khi k = 0 thì λ = 0,75 m; khi đó f = 440Hz, âm nghe được.
Câu 46. Gọi Io là cường độ âm chuẩn. Nếu mức cường độ âm là 1(dB) thì cường độ âm
A. Io = 1,26 I. B. I = 1,26 Io.
C. Io = 10 I. D. I = 10 Io.
Lời giải:
Chọn B.
Câu 47. Chọn câu trả lời đúng. Cường độ âm tại một điểm trong môi trường truyền âm là 10-5W/m2. Biết cường độ âm chuẩn là Io = 10-12 W/m2. Mức cường độ âm tại điểm đó bằng:
A. 60dB. B. 80dB.
C. 70dB. D. 50dB.
Lời giải:
Chọn C.
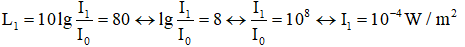
Câu 48. Một máy bay bay ở độ cao h1 = 100 mét, gây ra ở mặt đất ngay phía dưới một tiếng ồn có mức cường độ âm L1 = 120 dB. Muốn giảm tiếng ồn tới mức chịu được L2 = 100 dB thì máy bay phải bay ở độ cao:
A. 316 m. B. 500 m.
C. 1000 m. D. 700 m.
Lời giải:
Chọn C.
Câu 49. Một nguồn âm là nguồn điểm phát âm đẳng hướng trong không gian. Giả sử không có sự hấp thụ và phản xạ âm. Tại một điểm cách nguồn âm 10m thì mức cường độ âm là 80dB. Tại điểm cách nguồn âm 1m thì mức cường độ âm bằng
A. 90dB B. 110dB
C. 120dB D. 100dB.
Lời giải:
Chọn D.
Câu 50. Nguồn âm tại O có công suất không đổi. Trên cùng đường thẳng qua O có ba điểm A, B, C cùng nằm về một phía của O và theo thứ tự xa có khoảng cách tới nguồn tăng dần. Mức cường độ âm tại B kém mức cường độ âm tại A là a (dB), mức cường độ âm tại B hơn mức cường độ âm tại C là 3a (dB). Biết OA = 2OB/3. Tỉ số OC/OA là
A. 81/16 B. 9/4
C. 27/8 D. 32/17
Lời giải:
Chọn A.
Ta cần tính :
- Mức cường độ âm tại B kém mức cường độ âm tại A là a (dB)
+ So sánh A và B:
- Mức cường độ âm tại B hơn mức cường độ âm tại C là 3a (dB)
+ So sánh B và C:
+ Theo giả thiết:
+ Từ (1):
+ Từ (1) và (2) suy ra:
Câu 51. Hai điểm A, B nằm trên cùng một đường thẳng đi qua một nguồn âm và ở hai phía so với nguồn âm. Biết mức cường độ âm tại A và tại trung điểm của AB lần lượt là 50 dB và 44 dB. Mức cường độ âm tại B là
A. 28 dB B. 36 dB
C. 38 dB D. 47 dB
Lời giải:
Chọn B.
Cường độ âm tại điểm cách nguồn âm khoảng R
Với P là công suất của nguồn
I0 cường độ âm chuẩn, L mức cường độ âm
M là trung điểm của AB, nằm hai phía của gốc O nên:
Ta có RA = OA và LA = 5 (B)
Ta có RB = OB và LB = L
Ta có RM = OM và LM = 4,4 (B)
Từ đó ta suy ra 2RM = RB - RA
Câu 52. Hai điểm M và N nằm ở cùng 1 phía của nguồn âm, trên cùng 1 phương truyền âm có LM = 30 dB, LN = 10 dB. Nếu nguồn âm đó dặt tại M thì mức cường độ âm tại N khi đó là
A. 12 B. 7
C. 9 D. 11
Lời giải:
Chọn D.
Gọi P là công suất của nguồn âm
RNM = RN – RM = 0,9RN
Khi nguồn âm đặt tại M
Câu 53. Trong một phòng nghe nhạc, tại một vị trí: Mức cường độ âm tạo ra từ nguồn âm là 80dB, mức cường độ âm tạo ra từ phản xạ ở bức tường phía sau là 74dB. Coi bức tường không hấp thụ năng lượng âm và sự phản xạ âm tuân theo định luật phản xạ ánh sáng. Mức cường độ âm toàn phần tại điểm đó là
A. 77 dB B. 80,97 dB
C. 84,36 dB D. 86,34 dB
Lời giải:
Chọn B.
Cường độ âm của âm từ nguồn phát ra
Cường độ âm phản xạ là
Tại điểm đó mức cường độ âm là
Câu 54. Tại một điểm nghe được đồng thời hai âm: âm truyền tới có mức cường độ âm là 65dB, âm phản xạ có mức cường độ âm là 60dB. Mức cường độ âm toàn phần tại điểm đó là?
A. 5dB B. 125dB
C. 66,19dB D. 62,5dB
Lời giải:
Chọn C.
Gọi I1 và I2 là cường độ âm tới và âm phản xạ tại điểm đó.
Cường độ âm toàn phần là I = I1 + I2
Câu 55. Một nguồn âm phát sóng âm đẳng hướng theo mọi phương. Một người đứng cách nguồn âm 50m nhận được âm có mức cường độ 70dB. Cho cường độ âm chuẩn 10-12W/m2, π = 3,14. Môi trường không hấp thụ âm. Công suất phát âm của nguồn
A. 0,314W B. 6,28mW
C. 3,14mW D. 0,628W.
Lời giải:
Chọn A.
Câu 56. Công suất âm thanh cực đại của một máy nghe nhạc gia đình là 10W. Cho rằng cứ truyền trên khoảng cách 1m, năng lượng âm bị giảm 5 % so với lần đầu do sự hấp thụ của môi trường truyền âm. Biết I0 = 10-12 W/m2. Nếu mở to hết cỡ thì mức cường độ âm ở khoảng cách 6 m là
A. 102 dB B. 107 dB
C. 98 dB D. 89 dB
Lời giải:
Chọn B.
Do cứ sau 1m năng lượng giảm 5% nên còn lại 95% ta có: W1 = 0,95W0 và W2 = 0,95 W1
Sau n mét thì Năng lượng còn lại là: Wn = (0,95)n W
Năng lượng còn lại sau 6m là W = (0,95)6 10 = 7,35
Cường độ âm:
Mức cường độ âm:
Câu 57. Cho 3 điểm A, B, C thẳng hàng, theo thứ tự xa dần nguồn âm. Mức cường độ âm tại A, B, C lần lượt là 40dB; 35,9dB và 30dB. Khoảng cách giữa AB là 30m và khoảng cách giữa BC là
A. 78m B. 108m
C. 40m D. 65m
Lời giải:
Chọn A.
Giả sử nguồn âm tại O có công suất
RB – RA = ( 100,205 – 1)RA = BC = 30m → RA = 49,73 m
RC – RB = (100,5 – 100,205)RA → BC = (100,5 – 100,205)49,73 = 77,53 m ≈ 78 m.
Câu 58. Trong một bản hợp ca, coi mọi ca sĩ đều hát với cùng cường độ âm và coi cùng tần số. Khi một ca sĩ hát thì mức cường độ âm là 68 dB Khi cả ban hợp ca cùng hát thì đo được mức cường độ âm là 80 dB. Số ca sĩ có trong ban hợp ca là
A. 16 người. B. 12 người.
C. 10 người. D. 18 người
Lời giải:
Chọn A.
Gọi số ca sĩ là N; cường độ âm của mỗi ca sĩ là I
Câu 59. Tại O có 1 nguồn phát âm thanh đẳng hướng với công suất ko đổi.1 người đi bộ từ A đến C theo 1 đường thẳng và lắng nghe âm thanh từ nguồn O thì nghe thấy cường độ âm tăng từ I đến 4I rồi lại giảm xuống I.Khoảng cách AO bằng:
A. AC√/2 B. AC√/3
C. AC/3 D. AC/2
Lời giải:
Chọn B.
Do nguồn phát âm thanh đẳng hướng
Cường độ âm tại điểm cách nguồn âm R:
Giả sử người đi bộ từ A qua M tới C → IA = IC = I → OA = OC
IM = 4I → OA = 2. OM. Trên đường thẳng qua AC
IM đạt giá trị lớn nhất, nên M gần O nhất
→ OM vuông góc với AC và là trung điểm của AC
Câu 60. Một nguồn âm được coi là nguồn điểm phát sóng cầu và môi trường không hấp thụ âm.Tại một vị trí sóng âm biên độ 0,12mm có cường độ âm tại điểm đó bằng . Hỏi tại vị trí sóng có biên độ bằng 0,36mm thì sẽ có cường độ âm tại điểm đó bằng bao nhiêu ?
A. 0,6Wm-2 B. 2,7Wm-2
C. 5,4Wm-2 D. 16,2Wm-2
Lời giải:
Chọn D.
Năng lượng của sóng âm tỉ lệ với bình phương của biên độ sóng âm
W1 ∼ a12 với a1 = 0,12mm; W2 ∼ a22 với a2 = 0,36mm;
Ta có:
Năng lượng của sóng âm tỉ lệ nghịch với bình phương khoảng cách đến nguồn phát:
P = I1S1 với S1 = 4πR12; R1 là khoảng cách từ vị trí 1 đến nguồn âm
P = I2S2 với S2 = 4πR22; R1 là khoảng cách từ vị trí 1 đến nguồn âm
(199k) Xem Khóa học Vật Lí 12 KNTTXem Khóa học Vật Lí 12 CDXem Khóa học Vật Lí 12 CTST
Xem thêm các dạng bài tập Vật Lí lớp 12 ôn thi Tốt nghiệp có lời giải hay khác:
- Tổng hợp lý thuyết sóng âm là gì, ngắn gọn, chi tiết, đầy đủ
- Bài toán về đặc trưng vật lí của âm: bước sóng, vận tốc, cường độ âm, năng lượng
- Bài toán về nguồn nhạc âm trong sóng âm cực hay có lời giải
- Bài tập Sóng âm ôn thi Tốt nghiệp (có lời giải)
- Dạng bài tập về đồ thị sóng âm cực hay có lời giải
Đã có app VietJack trên điện thoại, giải bài tập SGK, SBT Soạn văn, Văn mẫu, Thi online, Bài giảng....miễn phí. Tải ngay ứng dụng trên Android và iOS.
Theo dõi chúng tôi miễn phí trên mạng xã hội facebook và youtube:Nếu thấy hay, hãy động viên và chia sẻ nhé! Các bình luận không phù hợp với nội quy bình luận trang web sẽ bị cấm bình luận vĩnh viễn.
- Giải Tiếng Anh 12 Global Success
- Giải sgk Tiếng Anh 12 Smart World
- Giải sgk Tiếng Anh 12 Friends Global
- Lớp 12 Kết nối tri thức
- Soạn văn 12 (hay nhất) - KNTT
- Soạn văn 12 (ngắn nhất) - KNTT
- Giải sgk Toán 12 - KNTT
- Giải sgk Vật Lí 12 - KNTT
- Giải sgk Hóa học 12 - KNTT
- Giải sgk Sinh học 12 - KNTT
- Giải sgk Lịch Sử 12 - KNTT
- Giải sgk Địa Lí 12 - KNTT
- Giải sgk Giáo dục KTPL 12 - KNTT
- Giải sgk Tin học 12 - KNTT
- Giải sgk Công nghệ 12 - KNTT
- Giải sgk Hoạt động trải nghiệm 12 - KNTT
- Giải sgk Giáo dục quốc phòng 12 - KNTT
- Giải sgk Âm nhạc 12 - KNTT
- Giải sgk Mĩ thuật 12 - KNTT
- Lớp 12 Chân trời sáng tạo
- Soạn văn 12 (hay nhất) - CTST
- Soạn văn 12 (ngắn nhất) - CTST
- Giải sgk Toán 12 - CTST
- Giải sgk Vật Lí 12 - CTST
- Giải sgk Hóa học 12 - CTST
- Giải sgk Sinh học 12 - CTST
- Giải sgk Lịch Sử 12 - CTST
- Giải sgk Địa Lí 12 - CTST
- Giải sgk Giáo dục KTPL 12 - CTST
- Giải sgk Tin học 12 - CTST
- Giải sgk Hoạt động trải nghiệm 12 - CTST
- Giải sgk Âm nhạc 12 - CTST
- Lớp 12 Cánh diều
- Soạn văn 12 Cánh diều (hay nhất)
- Soạn văn 12 Cánh diều (ngắn nhất)
- Giải sgk Toán 12 Cánh diều
- Giải sgk Vật Lí 12 - Cánh diều
- Giải sgk Hóa học 12 - Cánh diều
- Giải sgk Sinh học 12 - Cánh diều
- Giải sgk Lịch Sử 12 - Cánh diều
- Giải sgk Địa Lí 12 - Cánh diều
- Giải sgk Giáo dục KTPL 12 - Cánh diều
- Giải sgk Tin học 12 - Cánh diều
- Giải sgk Công nghệ 12 - Cánh diều
- Giải sgk Hoạt động trải nghiệm 12 - Cánh diều
- Giải sgk Giáo dục quốc phòng 12 - Cánh diều
- Giải sgk Âm nhạc 12 - Cánh diều


Giải bài tập SGK & SBT
Tài liệu giáo viên
Sách
Khóa học
Thi online
Hỏi đáp

