Cách giải bài tập về đồ thị sóng âm cực hay có lời giải
Bài viết Cách giải bài tập về đồ thị sóng âm với phương pháp giải chi tiết giúp học sinh ôn tập, biết cách làm bài tập Cách giải bài tập về đồ thị sóng âm.
Cách giải bài tập về đồ thị sóng âm cực hay có lời giải
(199k) Xem Khóa học Vật Lí 12 KNTTXem Khóa học Vật Lí 12 CDXem Khóa học Vật Lí 12 CTST
A. Phương pháp giải
1. Những đặc trưng vật lí của âm:
a) Tần số âm: Tần số âm là một trong những đặc trưng quan trọng nhất của âm
b) Cường độ âm: I (W/m2)
+ Sóng âm lan đến đâu thì sẽ làm cho phần tử của môi trường ở đó dao động. Như vậy, sóng âm mang theo năng lượng.
+ Cường độ âm I tại một điểm là đại lượng đo bằng lượng năng lượng mà sóng âm tải qua một đơn vị diện tích đặt tại điểm đó, vuông góc với phương truyền sóng trong một đơn vị thời gian.
+ Đơn vị của cường độ âm là oát trên mét vuông, kí hiệu là: W/m2.
+ Cường độ âm I tại một điểm là năng lượng gữi qua một đơn vị diện tích đặt vuông góc với phương truyền âm tại điểm đó trong một đơn vị thời gian. I = P/S = P/(4πR2)
+ Cường độ âm tỉ lệ với bình phương biên độ âm: I ~ a2
+ Năng lượng âm: ∆E = P.t = P. AB/v
+ Cường độ âm toàn phần: I = ΣIi = I1 + I2 + ... + In
+ Nếu âm truyền đẳng hướng và môi trường không hấp thụ và phản xạ âm thì có nghĩa là công suất âm không đổi khi truyền đi. Ta có: P = I.S = hằng số.
=> I1S1 = I2S2 => I1R12 = I2R22
c) Mức cường độ âm: L (Ben = B) hay Đề-xi-Ben (dB).
L = 10lgI/Io hay : = lg(I/Io) (B)
Lưu ý: Con người thường dùng đơn vị dB đo mức cường độ âm.
* Mức cường độ âm phụ thuộc khoảng cách:
- Độ chênh lệch mức cường độ âm tại hai điểm cách nguồn âm những khoảng R1 và R2 là: ∆L = L2 - L1 = log(I2/I1) = log(R1/R2) (dùng công thức này cho trường hợp nguồn âm không thay đổi)
- Liên quan đến tỉ số cường độ âm và hiệu mức cường độ âm thì từ công thức định nghĩa, ta có: I2/I1 = 10.L2.-L1 (L tính bằng đơn vị Ben-B)
- Cường độ âm (I), mức cường độ âm (L) và khoảng cách đến nguồn âm:
I2/I1 = (r1/r2)2 = 10.L2.-L1 (L tính bằng đơn vị Ben-B)
* Mức cường độ âm và công suất - số nguồn âm:
- Cường độ âm tỉ lệ với công suất của nguồn âm và tỉ lệ với số nguồn âm giống nhau:
- Nếu nguồn âm được cấu tạo từ n nguồn giống nhau, mỗi nguồn có công suất Po thì công suất của cả nguồn P = n.Po , ta có:
- Liên quan giữa cường độ âm và mức cường độ âm, ta sử dụng công thức:
L(B) = log (I/Io) ⇔ I = Io. 10L
- Khi cường độ âm tăng 10n (lần), độ to tăng n (lần) và mức cường độ âm tăng thêm n (B):
I2 = 10nI1 ↔ L2 = L1 + n (B)
- Cường độ âm tỉ lệ công suất nguồn âm và tỉ lệ với số nguồn âm giống nhau:
* Mức cường độ âm phụ thuộc khoảng cách và số nguồn âm.
Nếu nguồn âm được cấu tạo từ n nguồn giống nhau, mỗi nguồn có công suất P0, thì công suất của cả nguồn là P = n.P0. Áp dụng tương tự như trên, ta có:
B. Ví dụ minh họa
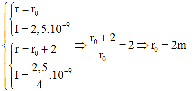
Ví dụ 1: (Quốc gia – 2017) Tại một điểm trên trục Ox có một nguồn âm điểm phát âm đẳng hướng ra môi trường Hình bên là đồ thị biểu diễn sự phụ thuộc của cường độ âm I tại nhưng điểm trên trục Ox theo tọa độ x. Cường độ âm chuẩn là Io = 10-12W/m2 . M là một điểm trên trục Ox có tọa độ x = 4m. Mức cường độ âm tại M có giá trị gần nhất với giá trị nào sau đây?
A. 24 dB B. 23 dB
C. 24,4 dB D. 23,5 dB
Hướng dẫn giải:
Chọn C
+ Cường độ âm tại một điểm I ≈ 1/r2 với r là khoảng cách từ điểm đó đến nguồn âm
+ Từ hình vẽ ta xác định được:
(ro là khoảng cách từ nguồn âm đến gốc tọa độ O)
+ Tương tự như vậy với điểm M cách O 4 m nghĩa là cách nguồn âm 6 m, ta cũng tìm được
Ví dụ 2: (Quốc gia – 2017) Hình bên là đồ thì biểu diễn sự phụ thuộc của mức cường độ âm L theo cường độ âm I. Cường độ âm chuẩn gần nhất với giá trị nào sau đây?
A. 0,33a B. 0,31a
C. 0,35a D. 0,37a
Hướng dẫn giải:
Chọn B
+ Ta có L = log I/Io
+ Từ hình vẽ ta nhận thấy
Thay vào biểu thức trên ta tìm được Io = a/√10 ≈ 0,316a
C. Bài tập vận dụng
Câu 1: Hai nguồn âm điểm phát sóng âm phân bố đều theo mọi hướng, bỏ qua sự hấp thụ và phản xạ âm của môi trường. Hình vẽ bên là đồ thị phụ thuộc cường độ âm I theo khoảng cách đến nguồn r (nguồn 1 là đường nét liền và nguồn 2 là đường nét đứt). Tỉ số sông suất nguồn 1 và công suất nguồn 2 là:
A. 0,25. B. 2.
C. 4. D. 0,5.
Lời giải:
Chọn B
Xét 2 điểm như trên đồ thị, hai điểm này có r1 = r2.
Ta có:
Câu 2: Hình bên là đồ thị biểu diễn sự phụ thuộc của mức cường độ âm L theo công suất P. Khi công suất âm là 40W thì mức cường độ âm bằng:
A. 0,3B. B. 0,4B. C. 0,5B. D. 0,6B
Lời giải:
Chọn C
Ta có: L = log I/Io = log I/IoS => L1 - L2 = log P1/P2
Từ đồ thị ta thấy: với P = P1 = 20W thì L = L1 = 0,2B;
Với P = P2 = 40W thì L = L2.
Suy ra:
Câu 3: Tại một điểm trên trục Ox có một nguồn âm điểm phát âm đẳng hướng ra môi trường. Hình vẽ bên là đồ thị biểu diễn sự phụ thuộc của cường độ âm I tại những điểm trên trục Ox theo tọa độ x. Cường độ âm chuẩn là Io = 10-12 W/m2. M là điểm trên trục Ox có tọa độ x = 3 m. Mức cường độ âm tại M có giá trị gần nhất với giá trị nào sau đây?
A. 2,6B C. 2,3B. B. 2,4dB. D. 3,1B
Lời giải:
Chọn D
+ Cường độ âm tại một điểm I ≈ 1/r2 với r là khoảng cách từ điểm đó đến nguồn âm.
+ Từ hình vẽ ta xác định hai điểm:
Q (xQ = 0, IQ = 4.10-9 W/m2), điểm N (xN = 4m, IN = 10-9W/m2).
Ta có:
(ro là khoảng cách từ nguồn âm đến gốc tọa độ O)
+ Tương tự như vậy với điểm M cách O 3 m nghĩa là cách nguồn âm 4 + 3 = 7m, ta cũng tìm được:
Câu 4: Trong môi trường đẳng hướng không hấp thụ âm có n nguồn âm điểm phát âm có công suất không đổi P0 được đặt tại A (n thay đổi được). Tại B có một máy đo mức cường độ âm có khoảng cách tới A không đổi. Đồ thị biễu diễn mức cường độ âm theo n được biểu diễn như hình vẽ. Biết L1 + L3 = 29,5dB. Giá trị L2 gần giá trị nào nhất sau đây?
A. 36dB. B. 17dB. C. 32dB. D. 34dB.
Lời giải:
Chọn B
Ta có:
Vì Po, Io và S không đổi nên ta được:
Mà L1 + L3 = 29,5dB = 2,95 (B). Giải hệ ta được: L1 = 1,22 (B)
Tương tự ta có:
Câu 5: Để khảo sát mức cường độ âm của một số chiếc kèn đồng giống nhau người ta tiến hành đặt một máy đo mức cường độ âm cách các chiếc kèn đồng một khoảng không đổi. Đồ thị biễu diễn mức cường độ âm mà máy đo được theo số chiếc kèn đồng được biễu diễn như hình vẽ. Môi trường đẳng hướng không hấp thụ âm. Xem âm phát ra từ các chiếc kèn đồng là nguồn âm điểm. Biết 2n1 + n2 = n3. Giá trị L3 bằng
A. 36dB. B. 17dB. C. 32dB. D. 34dB.
Lời giải:
Chọn B
Ta có:
(199k) Xem Khóa học Vật Lí 12 KNTTXem Khóa học Vật Lí 12 CDXem Khóa học Vật Lí 12 CTST
Xem thêm các dạng bài tập Vật Lí lớp 12 ôn thi Tốt nghiệp có lời giải hay khác:
- Tổng hợp lý thuyết sóng âm là gì, ngắn gọn, chi tiết, đầy đủ
- Bài toán về đặc trưng vật lí của âm: bước sóng, vận tốc, cường độ âm, năng lượng
- Bài toán về nguồn nhạc âm trong sóng âm cực hay có lời giải
- Bài tập Sóng âm ôn thi Tốt nghiệp (có lời giải)
Đã có app VietJack trên điện thoại, giải bài tập SGK, SBT Soạn văn, Văn mẫu, Thi online, Bài giảng....miễn phí. Tải ngay ứng dụng trên Android và iOS.
Theo dõi chúng tôi miễn phí trên mạng xã hội facebook và youtube:Nếu thấy hay, hãy động viên và chia sẻ nhé! Các bình luận không phù hợp với nội quy bình luận trang web sẽ bị cấm bình luận vĩnh viễn.
- Giải Tiếng Anh 12 Global Success
- Giải sgk Tiếng Anh 12 Smart World
- Giải sgk Tiếng Anh 12 Friends Global
- Lớp 12 Kết nối tri thức
- Soạn văn 12 (hay nhất) - KNTT
- Soạn văn 12 (ngắn nhất) - KNTT
- Giải sgk Toán 12 - KNTT
- Giải sgk Vật Lí 12 - KNTT
- Giải sgk Hóa học 12 - KNTT
- Giải sgk Sinh học 12 - KNTT
- Giải sgk Lịch Sử 12 - KNTT
- Giải sgk Địa Lí 12 - KNTT
- Giải sgk Giáo dục KTPL 12 - KNTT
- Giải sgk Tin học 12 - KNTT
- Giải sgk Công nghệ 12 - KNTT
- Giải sgk Hoạt động trải nghiệm 12 - KNTT
- Giải sgk Giáo dục quốc phòng 12 - KNTT
- Giải sgk Âm nhạc 12 - KNTT
- Giải sgk Mĩ thuật 12 - KNTT
- Lớp 12 Chân trời sáng tạo
- Soạn văn 12 (hay nhất) - CTST
- Soạn văn 12 (ngắn nhất) - CTST
- Giải sgk Toán 12 - CTST
- Giải sgk Vật Lí 12 - CTST
- Giải sgk Hóa học 12 - CTST
- Giải sgk Sinh học 12 - CTST
- Giải sgk Lịch Sử 12 - CTST
- Giải sgk Địa Lí 12 - CTST
- Giải sgk Giáo dục KTPL 12 - CTST
- Giải sgk Tin học 12 - CTST
- Giải sgk Hoạt động trải nghiệm 12 - CTST
- Giải sgk Âm nhạc 12 - CTST
- Lớp 12 Cánh diều
- Soạn văn 12 Cánh diều (hay nhất)
- Soạn văn 12 Cánh diều (ngắn nhất)
- Giải sgk Toán 12 Cánh diều
- Giải sgk Vật Lí 12 - Cánh diều
- Giải sgk Hóa học 12 - Cánh diều
- Giải sgk Sinh học 12 - Cánh diều
- Giải sgk Lịch Sử 12 - Cánh diều
- Giải sgk Địa Lí 12 - Cánh diều
- Giải sgk Giáo dục KTPL 12 - Cánh diều
- Giải sgk Tin học 12 - Cánh diều
- Giải sgk Công nghệ 12 - Cánh diều
- Giải sgk Hoạt động trải nghiệm 12 - Cánh diều
- Giải sgk Giáo dục quốc phòng 12 - Cánh diều
- Giải sgk Âm nhạc 12 - Cánh diều


Giải bài tập SGK & SBT
Tài liệu giáo viên
Sách
Khóa học
Thi online
Hỏi đáp

