Cách giải Bài tập xác định li độ, vận tốc, trạng thái của phần tử trong Sóng cơ (hay, chi tiết)
Bài viết Cách giải Bài tập xác định li độ, vận tốc, trạng thái của phần tử trong Sóng cơ với phương pháp giải chi tiết giúp học sinh ôn tập, biết cách làm bài tập Cách giải Bài tập xác định li độ, vận tốc, trạng thái của phần tử trong Sóng cơ.
- Cách giải bài tập xác định li độ, vận tốc, trạng thái của phần tử trong Sóng cơ
- Ví dụ minh hoạ bài tập xác định li độ, vận tốc, trạng thái của phần tử trong Sóng cơ
- Bài tập trắc nghiệm xác định li độ, vận tốc, trạng thái của phần tử trong Sóng cơ
- Bài tập bổ sung xác định li độ, vận tốc, trạng thái của phần tử trong Sóng cơ
Cách giải Bài tập xác định li độ, vận tốc, trạng thái của phần tử trong Sóng cơ (hay, chi tiết)
(199k) Xem Khóa học Vật Lí 12 KNTTXem Khóa học Vật Lí 12 CDXem Khóa học Vật Lí 12 CTST
A. Phương pháp giải
Xét bài toán yêu cầu tính li độ tại N khi biết li độ tại M, 2 điểm MN cách nhau 1 đoạn là d và M nằm trước N so với nguồn.
- Bước 1: Xác định độ lệch pha giữa 2 điểm M, N: ΔφMN = 2πdMN/λ
- Bước 2: Xác định pha dao động của M.
- Bước 3: Từ M trên đường tròn lượng giác, quay theo chiều kim đồng hồ 1 góc ΔφMN để tìm pha của N (ΔφN) (vì dao động tại M sớm pha hơn dao động tại N).
- Bước 4: Xác định li độ dao động của N: uN = A.cosφN
Lưu ý: Khi đề bài cho vận tốc, gia tốc,…ta chuyển về li độ và làm tương tự hoặc có thể sử dụng trực tiếp vòng tròn lượng giác biểu diễn vận tốc, gia tốc.
B. Ví dụ minh họa
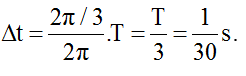
Ví dụ 1: Một sóng cơ học lan truyền trên mặt thoáng chất lỏng nằm ngang với tần số 10 Hz, tốc độ truyền sóng 1,2 m/s. Hai điểm M và N thuộc mặt thoáng, trên cùng một phương truyền sóng, cách nhau 26 cm (M nằm gần nguồn sóng hơn). Tại thời điểm t, điểm N hạ xuống thấp nhất. Khoảng thời gian ngắn nhất sau đó điểm M hạ xuống thấp nhất là:
A. 11/120 (s) B. 1/60 (s) C. 1/120 (s) D. 1/12 (s)
Hướng dẫn giải:
Chọn D
Bước sóng λ = v/f = 0,12m = 12cm.
Độ lệch pha giữa 2 điểm M, N: ΔφMN = 2πdMN/λ = 2&pi.26/12 = 4π + π/3 rad
Vì M nằm gần nguồn sóng hơn nên M dao động sớm pha hơn N góc π/3.
Tại thời điểm t, ta có N hạ xuống thấp nhất, M đang đi lên, sau đó một khoảng thời gian ∆t thì M sẽ hạ xuống thấp nhất:
Ví dụ 2: Một sóng truyền theo phương AB. Tại một thời điểm nào đó, hình dạng sóng được biểu diễn trên hình vẽ. Biết rằng điểm M đang đi lên vị trí cân bằng. Khi đó điểm N đang chuyển động như thế nào?
A. Đang đi lên B. Đang nằm yên.
C. Không đủ điều kiện để xác định. D. Đang đi xuống.
Hướng dẫn giải:
Chọn A
Vì M đang đi lên nên ta hiểu rằng: sóng truyền theo hướng từ B sang A, khi đó điểm N sẽ di lên. (Để dễ hiểu nhất ta hãy tưởng tượng một sợi dây thép có dạng như hình vẽ, sau đó ta kéo sang trái thì điểm N phải trượt lên)
Ví dụ 3: Một sóng cơ lan truyền trên một sợi dây rất dài với biên độ không đổi với chu kì T. Ba điểm A, B và C nằm trên sợi dây sao cho B là trung điểm của AC. Tại thời điểm t1, li độ của ba phần tử A, B, C lần lượt là 5,4 mm; 0 mm; 5,4 mm. Nếu tại thời điểm t2 li độ của A và C đều bằng +7,2mm, thì li độ của phần tử tại B tại thời điểm t2 + T/12 có độ lớn là:
A. 10,3 mm. B. 4,5 mm. C. 9 mm. D. 7,8 mm.
Hướng dẫn giải:
Chọn D
Không mất tính tổng quát ta biểu diễn hai thời điểm như trên hình vẽ.
Vì độ lệch pha của dao động tại A, B, C không đổi tại mọi thời điểm nên từ hình vẽ ta có:
Tại thời điểm t1: sin Δφ/2 = 5,4/a
Tại thời điểm t2: cos Δφ/2 = 7,2/a
Tại thời điểm t3 = t2 + T/12, tức là sau thời điểm t2, vectơ OB quét thêm góc:
Suy ra li độ của phần tử tại B: uB = acos(π/6) = 9cos(π/6) = 7,8cm.
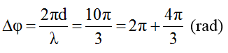
Ví dụ 4: Cho sóng cơ ổn định, truyền trên một sợi dây rất dài từ một đầu. Tốc độ truyền sóng trên dây là 2,4 m/s, tần số sóng là 20 Hz, biên độ sóng là 4 mm. Hai điểm M và N trên dây cách nhau 37 cm, sóng truyền từ M đến N. Tại thời điểm t, sóng tại M có li độ -2 mm và đang đi về vị trí cân bằng. Vận tốc sóng tại N ở thời điểm t – 1,1125s là:
A. 16π cm/s B. -8√3 cm/s C. 80√3 mm/s D. -8π cm/s
Hướng dẫn giải:
Chọn B
Bước sóng của sóng λ = v/f = 12cm
Độ lệch pha dao động giữa hai điểm M và N là: ΔφMN = 2πdMN/λ = 37π/6 = 6π + π/6
Sóng truyền từ M đến N nên M dao động sớm pha hơn N góc π/6.
Sử dụng vòng tròn lượng giác ta vẽ các vectơ quay biểu diễn dao động tại M và N:
Thời điểm t – 1,1125s ứng với góc lùi: α = 2πft = 44π + π/2
Từ hình vẽ ta xác định được tại thời điểm t – 1,1125s, phần tử N có li độ uN = -2mm và đang đi xuống theo chiều âm (vN < 0).
Vận tốc của M khi đó là:
C. Bài tập vận dụng
Câu 1: Một dao động lan truyền trong môi trường liên tục từ điểm M đến điểm N cách M một đoạn 7λ/3 cm. Sóng truyền với biên độ A không đổi. Biết phương trình sóng tại M có dạng uM = 3cos2πt (uM tính bằng cm, t tính bằng giây). Vào thời điểm t1 tốc độ dao động của phần tử M là 6 cm/s thì tốc độ dao động của phần tử N là:
A. 3π (cm/s). B. 0,5π (cm/s). C. 4π(cm/s). D. 6π(cm/s).
Lời giải:
Chọn A
Độ lệch pha dao động giữa hai điểm M và N là:
Suy ra vận tốc dao động của M sớm pha hơn N góc 2π/3 rad.
Ta có: uM = 3cos2πt (cm) → vM = 6πcos(2πt + π/2) (cm/s).
Sử dụng vòng tròn lượng giác ta vẽ các vectơ quay biểu diễn vận tốc tại M và N:
Ta thấy tại thời điểm t1 N có vận tốc: vN = -3π cm/s.
Câu 2: Một sóng ngang truyền trên một sợi dây rất dài. Hai điểm PQ = 9λ/4 sóng truyền từ P đến Q. Những kết luận nào sau đây đúng?
A. Khi Q có li độ cực đại thì P có vận tốc cực đại.
B. Li độ P, Q luôn trái dấu.
C. Khi P có li độ cực đại thì Q có vận tốc cực tiểu.
D. Khi P có thế năng cực đại thì Q có thế năng cực tiểu (chọn mốc thế năng ở vị trí cân bằng).
Lời giải:
Chọn D
Độ lệch pha dao động giữa hai điểm P và Q là:
Sóng truyền từ P đến Q nên P dao động sớm pha hơn Q một góc π/2.
Khi Q có li độ cực đại thì P qua vị trí cân bằng theo chiều âm (v < 0), suy ra A và B sai.
Vì sóng truyền từ P đến Q nên khi P có li độ cực đại thì Q có vận tốc cực đại => C sai
Khi P có thế năng cực đại (P ở vị trí biên) thì Q có thế năng cực tiểu (Q ở vị trí cân bằng)
=> D đúng.
Câu 3: Trên sợi dây có ba điểm M, N và P khi sóng chưa lan truyền thì N là trung điểm của MP. Khi sóng truyền từ P đến M với biên độ không đổi thì vào thời điểm t1 M và P là hai điểm gần nhau nhất mà các phần tử tại đó có li độ tương ứng là –6 mm và +6 mm vào thời điểm kế tiếp gần nhất t2 = t1 + 0,75s thì li độ của các phần tử tại M và P đều là +8 mm. Tốc độ dao động của phần tử N vào thời điểm t1 có giá trị gần đúng nhất là
A. 4,5 cm/s B. 2,1 cm/s C. 1,4 cm/s D. 8 cm/s.
Lời giải:
Chọn B
Sử dụng vòng tròn lượng giác biểu diễn li độ dao động tại M, N và P ở hai thời điểm t1 và t2 (lưu ý sóng truyền từ P đến M nên vectơ OP quay trước vectơ OM).
Vì độ lệch pha của dao động tại M, N, P không đổi tại mọi thời điểm nên từ hình vẽ ta có:
Tại thời điểm t1: sin Δφ/2 = 6/a
Tại thời điểm t2: cos Δφ/2 = 8/a
Thời điểm kế tiếp gần nhất t2 = t1 + 0,75s, tức là sau thời điểm t1, vectơ ON quét thêm góc ∆φN = π/2 (do N đi từ cân bằng ra biên dương)
Mặt khác: ΔφN = ω.0,75 = π/2 → ω = 2π/3 rad/s
Vào thời điểm t1, phần tử N đang đi qua vị trí cân bằng nên có tốc độ cực đại:
vN = vmax = ω.A = 20π/3 mm/s = 2,09 cm/s
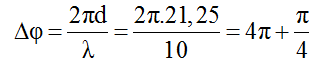
Câu 4: Sóng ngang có tần số 20 Hz truyền trên mặt nước với tốc độ 2 m/s. Trên một phương truyền sóng đến điểm M rồi mới đến N cách nó 21,25cm. Tại thời điểm t, điểm M hạ xuống thấp nhất thì sau thời gian ngắn nhất bao nhiêu thì điểm N sẽ hạ xuống thấp nhất?
A. 3/400s. B. 0,0425s. C. 1/80s. D. 3/80s.
Lời giải:
Chọn C
Bước sóng: λ = v/f = 200/20 = 10 cm
Dao động tại M sớm pha hơn tại N (M quay trước N):
Hiện tại điểm M hạ xuống thấp nhất (hình chiếu ở biên âm) nên M và N phải ở các vị trí như trên vòng tròn.
Để N sẽ hạ xuống thấp nhất (N ở biên âm) thì nó phải quay thêm một góc ∆φ = π/4 rad, tương ứng với thời gian: ∆t = T/4 = 1/80s.
Câu 5: Một sóng cơ lan truyền trên sợi dây từ C đến B với chu kì T = 2 s, biên độ không đổi. Ở thời điểm t1, li độ các phần tử tại B và C tương ứng là – 20 mm và + 20 mm; các phần tử tại trung điểm D của BC đang ở vị trí cân bằng. Ở thời điểm t2, li độ các phần tử tại B và C cùng là +8 mm. Tại thời điểm t3 = t2 + 0,4 s li độ của phần tử D có vận tốc gần nhất với giá trị nào sau đây?
A. - 64,36 mm/s. B. 67,93 mm/s. C. -67,93 mm/s. D. 93,67 mm/s.
Lời giải:
Chọn A
Sử dụng vòng tròn lượng giác biểu diễn li độ dao động tại B, D và C ở hai thời điểm t1 và t2 (lưu ý sóng truyền từ C đến B nên vectơ OC quay trước vectơ OB).
Vì độ lệch pha của dao động tại M, N, P không đổi tại mọi thời điểm nên từ hình vẽ ta có:
Tại thời điểm t1: sin Δφ/2 = 20/a
Tại thời điểm t2: cos Δφ/2 = 8/a
Thời điểm t3 = t2 + 0,4s, tức là sau thời điểm t2 (D ở biên dương), vectơ OD quét thêm góc ∆φD = ω.0,4 = 2π/5 rad = 72o.
Như vậy tại thời điểm t3, D có li độ uD = a.cos72o và đang đi theo chiều âm. Vận tốc của phần tử D khi đó là:
Câu 6: Có hai điểm M và N trên cùng một phương truyền của sóng trên mặt nước, cách nhau 5,75λ (λ là bước sóng). Tại một thời điểm t nào đó, mặt thoáng ở M cao hơn vị trí cân bằng 9mm và đang đi lên; còn mặt thoáng ở N thấp hơn vị trí cân bằng 12mm và đang đi lên. Coi biên độ sóng không đổi. Biên độ sóng a và chiều truyền sóng là
A. 13 mm, truyền từ M đến N B. 15 mm, truyền từ N đến M
C. 15 mm, truyền từ M đến N. D. 13 mm, truyền từ N đến M.
Lời giải:
Chọn B
Độ lệch pha của M và N là: Δφ = 2πdMN/λ = 2π.5,75λ/λ = 10π + 3π/2
Suy ra M dao động vuông pha so với N
Sử dụng vòng tròn lượng giác biểu diễn li độ dao động tại M và N ở thời điểm t.
Ở thời điểm hiện tại có uM = 9mm (đang đi lên, tức là đi theo chiều dương) và uN = -12mm (đang đi lên, tức là đi theo chiều dương) nên M và N phải ở các vị trí như trên vòng tròn.
Ta thấy, vectơ quay ON chạy trước nên N sớm pha hơn M, tức là sóng truyền qua N rồi mới đến M => Chọn B.
Câu 7: Lúc t = 0, đầu O của sợi dây cao su bắt đầu dao động đi lên với chu kì 2 s. Biên độ 5 cm, tạo thành sóng lan truyền trên dây với tốc độ 2 m/s. Điểm M trên dây cách O một đoạn 1,4 m. Thời điểm đầu tiên để phần tử tại M đến vị trí thấp hơn vị trí cân bằng 2,5 cm xấp xỉ bằng
A. 1,17s. B. 25s. C. 1,87s. D. 0,7s.
Lời giải:
Chọn C
+ Bước sóng của sóng: λ = v.T = 4m
Sóng truyền từ O đến M, nên M bắt đầu dao động đi lên từ VTCB vào thời điểm:
t1 = d/v = 1,4/2 = 0,7s
Sau đó M dao động điều hòa với biên độ A = 5cm.
+ Khoảng thời gian kể từ khi M bắt đầu đi lên cho tới khi M đến vị trí thấp hơn vị trí cân bằng 2,5 cm ứng với góc quét: α = 180o + 30o = 210o
Khoảng thời gian tương ứng là: Δt = 210o/360oT = 7/6s
Thời điểm đầu tiên để phần tử tại M đến vị trí thấp hơn vị trí cân bằng 2,5 cm là:
t2 = t1 + ∆t = 0,7 + 7/6 = 1,87s
Câu 8: (ĐH – 2012) Hai điểm M, N cùng nằm trên một hướng truyền sóng và cách nhau một phần ba bước sóng. Biên độ sóng không đổi trong quá trình truyền. Tại một thời điểm, khi li độ dao động của phần tử tại M là 3 cm thì li độ dao động của phần tử tại N là 3 cm. Biên độ sóng bằng
A. 6cm B. 3cm C. 2√3cm D. 3√2cm
Lời giải:
Chọn C
Bài toán không nói rõ sóng truyền theo hướng nào nên ta giả sử truyền qua M rồi mới đến N và biểu diễn như hình vẽ.
Dao động tại N trễ pha hơn hơn M:
Từ hình vẽ ta tìm được biên độ A:
Câu 9: Sóng cơ lan truyền qua điểm M rồi đến điểm N cùng nằm trên một phương truyền sóng cách nhau d = 5λ/3 . Tại thời điểm t có uM = +4cm và uN = -4cm. Thời điểm gần nhất để uM = 2cm là:
A. t2 = t1 + T/3. B. t2 = t1 + 0,262T C. t2 = t1 + 0,095T D. t2 = t1 + T/12
Lời giải:
Chọn C
Dao động M sớm pha hơn tại N (M quay trước N):
Tại thời điểm t = t1 có uM = +4cm và uN = -4cm nên M và N phải ở các vị trí như trên vòng tròn.
Từ hình vẽ ta tìm được biên độ:
Để M có li độ 2cm thì nó phải quay thêm một góc:
Tương ứng với thời gian: ∆t = 0,095T => Chọn C.
Câu 10: Tại thời điểm đầu tiên t = 0, đầu O của sợi dây cao su căng thẳng nằm ngang bắt đầu dao động đi lên với tần số 2,5 Hz. Gọi P, Q là hai điểm cùng nằm trên một phương truyền sóng cách O lần lượt là 8 cm và 16 cm. Biết vận tốc truyền sóng trên dây là 24 cm/s và coi biên độ sóng không đổi khi truyền đi. Hỏi sau thời gian ngắn nhất là bao lâu thì O, P, Q thẳng hàng?
A. 0,16 s. B. 0,25 s. C. 0,56 s. D. 0,2 s.
Lời giải:
Chọn D
Bước sóng: λ = v/f = 24/2,5 = 12cm.
Chu kì sóng: T = 1/f = 0,4s.
Thời gian cần thiết để sóng truyền từ O đến P và O đến Q lần lượt là:
Ở thời điểm t = T/2 = 0,2s điểm O trở về vị trí cân bằng và sóng mới truyền được một đoạn λ/2 = 6cm, nghĩa là chưa truyền đến P (cả P và Q đều chưa dao động) tức là lúc này O, P và Q thẳng hàng Chọn D.
Câu 11: Một sóng cơ học lan truyền trên mặt thoáng chất lỏng nằm ngang với tần số 10 Hz, tốc độ truyền sóng 1,2 m/s. Hai điểm M và N thuộc mặt thoáng, trên cùng một phương truyền sóng, cách nhau 26 cm (M nằm gần nguồn sóng hơn). Tại thời điểm t, điểm N hạ xuống thấp nhất. Khoảng thời gian ngắn nhất sau đó điểm M lên cao nhất là:
A. 11/120s. B. 1/60s. C. 1/120s. D. 1/30s.
Lời giải:
Chọn D
Bước sóng: λ = v/f = 1,2/10 = 0,12m = 12cm
Dao động tại M sớm pha hơn tại N (M quay trước N):
Thời điểm t, N hạ xuống thấp nhất (N ở biên âm) nên N và M ở các vị trí như trên vòng tròn.
Để M lên cao nhất (M ở biên dương) thì nó phải quay thêm một góc: α = 2π/3 rad, tương ứng với khoảng thời gian .
Câu 12: Sóng ngang truyền trên mặt nước với bước sóng 0,1m. Sóng đến điểm M rồi mới đến N cách nó 21,5 cm. Thời gian truyền sóng từ M đến N là 2,15s. Tại thời điểm t, điểm N hạ xuống thấp nhất thì sau thời gian ngắn nhất bao nhiêu thì điểm M sẽ hạ xuống thấp nhất?
A. 17/20s. B. 7/20s. C. 1/20s. D. 3/20s.
Lời giải:
Chọn A
Tốc độ truyền sóng:
Chu kì sóng: T = λ/v = 1s
Dao động tại M sớm pha hơn tại N (M quay trước N):
Do vậy M sớm pha hơn N góc ∆φ = 3π/10 rad = 54o
Thời điểm t, N hạ xuống thấp nhất (N ở biên âm) nên N và M ở các vị trí như trên vòng tròn.
Để M hạ xuống thấp nhất (M ở biên âm) thì nó phải quay thêm một góc:
α = 360o – 54o = 306o, tương ứng với khoảng thời gian:
Câu 13: Một sóng cơ lan truyền trên một sợi dây rất dài từ M đến P với biên độ không đổi với chu kì T. Ba điểm M, N và P nằm trên sợi dây sao cho N là NP = -3NM . Tại thời điểm t1, li độ của ba phần tử M, N, P lần lượt là -5√3 mm; uN1 mm; 5√3 mm. Nếu tại thời điểm t2 li độ của M và P đều bằng +5 mm, thì li độ của phần tử tại N tại thời điểm t2 + T/24 có độ lớn là:
A. 4√3 mm. B. 5√3 mm. C. 5√2 mm. D. 10 mm.
Lời giải:
Chọn C
Vì nên N nằm giữa M và P sao cho NM = 1/4MP
M dao động sớm pha hơn P một góc:
M dao động sớm pha hơn N một góc:
Sử dụng vòng tròn lượng giác biểu diễn li độ dao động tại M, N, P, C (trung điểm MP) ở hai thời điểm t1 và t2 (lưu ý sóng truyền từ M đến P nên vectơ OM quay trước vectơ OP).
Vì độ lệch pha của dao động tại M, N, C, P không đổi tại mọi thời điểm nên từ hình vẽ ta có:
Tại thời điểm t1: sin α1/2 = 5√3/A
Tại thời điểm t2: sin α1/2 = 5/A
Suy ra α1 = 120o; α2 = 30o → ở thời điểm t2, trên hình vẽ
Thời điểm t3 = t2 + T/24 s, tức là sau thời điểm t2, vectơ ON quét thêm góc ∆φN = 15o.
Như vậy tại thời điểm t3, ∠NOC = 30 + 15 = 45o , do đó N có li độ uN = A.cos45o = 5√2 mm.
Câu 14: Một sóng hình sin lan truyền trên mặt nước từ nguồn O với bước sóng λ. Ba điểm A, B, C trên hai phương truyền sóng sao cho OA vuông góc với OC và B là một điểm thuộc tia OA sao cho OB > OA. Biết OA = 7λ. Tại thời điểm người ta quan sát thấy giữa A và B có 5 đỉnh sóng (kể cả A và B) và lúc này góc ∠ACB đạt giá trị lớn nhất. Số điểm dao động ngược pha với nguồn trên đoạn AC bằng
A. 4. B. 5. C. 6. D. 7.
Lời giải:
Chọn C.
Giữa A và B có 5 đỉnh sóng với A, B cũng là đỉnh sóng →AB = 4λ.
Ta có:
Từ biểu thức trên ta thấy góc ∠ACB lớn nhất khi
Dựng đường cao OH, ta có:
Gọi M là một điểm trên AC, để M ngược pha với nguồn thì
+ Điểm M ngược pha với nguồn trên đoạn HC thỏa mãn:
OH ≤ dM ≤ OC ↔ 5,47 ≤ k + 0,5 ≤ 8,775
↔ 4,97 ≤ k ≤ 8,275. Suy ra trên HC có ta 4 vị trí thỏa mãn.
+ Điểm M ngược pha với nguồn trên đoạn HA thỏa mãn:
OH < dM ≤ OA ↔ 5,47 ≤ k + 0,5 ≤ 7
↔ 4,97 ≤ k ≤ 6,5. Suy ra trên HA có 2 vị trí thỏa mãn.
Vậy trên AC có 6 vị trí của M ngược pha với nguồn.
D. Bài tập bổ sung
Bài 1: Đầu O của một sợi dây đàn hồi nằm ngang dao động điều hoà theo phương trình x = 3cos(4πt) cm. Sau 2s sóng truyền được 2 m. Li độ của điểm M trên dây cách O đoạn 2,5 m tại thời điểm 2s là
A. xM = -3 cm.
B. xM = 0.
C. xM = 1,5 cm.
D. xM = 3 cm.
Bài 2: Sóng có tần số 20 Hz truyền trên mặt thoáng nằm ngang của một chất lỏng, với tốc độ 2 m/s, gây ra các dao động theo phương thẳng đứng của các phần tư chất lỏng. Hai điểm M và N thuộc mặt thoáng chất lỏng cùng phương truyền sóng, cách nhau 22,5 cm. Biết điểm M nằm gần nguồn sóng hơn. Tại thời điểm t, điểm N hạ xuống thấp nhất. Hỏi sau đó thời gian ngắn nhất là bao nhiêu thì điểm M sẽ hạ xuống thấp nhất?
A. s
B. s
C. s
D. s
Bài 3: Một vật dao độNng điều hoà theo phương trình: (cm). Thời điểm vật qua vị trí có li độ x = √3 cm và đang đi theo chiều (-) lần thứ 20 là:
A. 15,34 s.
B. 19,42 s.
C. 18,35 s.
D. 20,56 s
Bài 4: Một nguồn O dao động với tần số ƒ = 50Hz tạo ra sóng trên mặt nước có biên độ 3cm(coi như không đổi khi sóng truyền đi). Biết khoảng cách giữa 7 gợn lồi liên tiếp là 9 cm. Điểm M nằm trên mặt nước cách nguồn O đoạn bằng 5cm. Chọn t = 0 là lúc phần tử nước tại O đi qua vị trí cân bằng theo chiều dương. Tại thời điểm t1 li độ dao động tại M bằng 2 cm. Li độ dao động tại M vào thời điểm t2=(t1+2,01) s bằng bao nhiêu?
A. 2 cm.
B. -2 cm.
C. 0 cm.
D. -1,5 cm.
Bài 5: Hai điểm M, N cùng nằm trên một phương truyền sóng cách nhau . Tại thời điểm t, khi li độ dao động tại M là uM = + 3 cm thì li độ dao động tại N là uN = –3 cm. Biên độ sóng bằng:
A. A = 6 cm.
B. A = 3 cm.
C. A = 2√3 cm.
D. A = 3√3 cm.
Bài 6: Một sóng cơ học được truyền theo phương Ox với vận tốc v = 20 cm/s. Giả sử khi sóng truyền đi biên độ không thay đổi. Tại O dao động có phương trình u0=4sin4πt (mm). Trong đó t đo bằng giây. Tại thời điểm t1 li độ tại điểm O là u = 3 mm và đang giảm. Lúc đó ở điểm M cách O một đoạn d = 40 cm sẽ có li độ là
A. 4 mm.
B. 2 mm.
C. 3 mm.
D. 3 mm.
Bài 7: Nguồn sóng ở O được truyền theo phương Ox. Trên phương này có hai điểm P và Q cách nhau PQ = 15cm. Biết tần số sóng là 10 Hz, tốc độ truyền sóng v = 40 cm/s, biên độ sóng không đổi khi truyền sóng và bằng √3 cm. Nếu tại thời điểm nào đó P có li độ cm thì li độ tại Q có độ lớn là
A. 0 cm
B. 0,75 cm
C. 3 cm
D. 1,5 cm
Bài 8: Một vật dao động điều hòa với chu kì T = 1s và biên độ A = 5 cm. Tại thời điểm t vật có li độ là x = 2,5 cm và đang đi theo chiều đương của quỹ đạo. Tại thời điểm s thì
A. vật qua vị trí cân bằng
B. vật có li độ x = -2,5cm
C. vật có li độ x = 2,5√2cm
D. gia tốc của vật có độ lớn cực đại
Bài 9: Sóng truyền theo phương ngang trên một sợi dây dài với tần số 10 Hz. Điểm M trên dây tại một thời điểm đang ở vị trí cao nhất và tại thời điểm đó điểm N cách M một khoảng 5 cm đang đi qua vị trí có li độ bằng nửa biên độ và đi lên. Coi biên độ sóng không đổi khi truyền. Biết khoảng cách MN nhỏ hơn bước sóng của sóng trên dây. Xác định tốc độ truyền sóng và chiều truyền sóng.
Bài 10: Một rợi dây cao su dài căng thẳng, đầu A của dây dao động theo phương trình u = 2cos(40πt)cm. Tốc độ truyền sóng trên dây là 2 m/s.
a) Viết phương trình dao động tại điểm M cách A một khoảng AM = 15 cm.
b) Xét một điểm N cách A một khoảng d, tìm điều kiện để điểm N luôn dao động ngược pha với A. Vào thời điểm t dao động tại A có li độ là 1,6 cm thì dao động tại N có li độ bằng bao nhiêu?
(199k) Xem Khóa học Vật Lí 12 KNTTXem Khóa học Vật Lí 12 CDXem Khóa học Vật Lí 12 CTST
Xem thêm các dạng bài tập Vật Lí lớp 12 ôn thi Tốt nghiệp có lời giải hay khác:
- Tổng hợp Lý thuyết Sóng cơ là gì, ngắn gọn, chi tiết, đầy đủ
- Dạng bài tập về khoảng cách giữa hai phần tử trên phương truyền sóng
- Bài tập Đại cương về sóng cơ ôn thi Tốt nghiệp (có lời giải)
Đã có app VietJack trên điện thoại, giải bài tập SGK, SBT Soạn văn, Văn mẫu, Thi online, Bài giảng....miễn phí. Tải ngay ứng dụng trên Android và iOS.
Theo dõi chúng tôi miễn phí trên mạng xã hội facebook và youtube:Nếu thấy hay, hãy động viên và chia sẻ nhé! Các bình luận không phù hợp với nội quy bình luận trang web sẽ bị cấm bình luận vĩnh viễn.
- Giải Tiếng Anh 12 Global Success
- Giải sgk Tiếng Anh 12 Smart World
- Giải sgk Tiếng Anh 12 Friends Global
- Lớp 12 Kết nối tri thức
- Soạn văn 12 (hay nhất) - KNTT
- Soạn văn 12 (ngắn nhất) - KNTT
- Giải sgk Toán 12 - KNTT
- Giải sgk Vật Lí 12 - KNTT
- Giải sgk Hóa học 12 - KNTT
- Giải sgk Sinh học 12 - KNTT
- Giải sgk Lịch Sử 12 - KNTT
- Giải sgk Địa Lí 12 - KNTT
- Giải sgk Giáo dục KTPL 12 - KNTT
- Giải sgk Tin học 12 - KNTT
- Giải sgk Công nghệ 12 - KNTT
- Giải sgk Hoạt động trải nghiệm 12 - KNTT
- Giải sgk Giáo dục quốc phòng 12 - KNTT
- Giải sgk Âm nhạc 12 - KNTT
- Giải sgk Mĩ thuật 12 - KNTT
- Lớp 12 Chân trời sáng tạo
- Soạn văn 12 (hay nhất) - CTST
- Soạn văn 12 (ngắn nhất) - CTST
- Giải sgk Toán 12 - CTST
- Giải sgk Vật Lí 12 - CTST
- Giải sgk Hóa học 12 - CTST
- Giải sgk Sinh học 12 - CTST
- Giải sgk Lịch Sử 12 - CTST
- Giải sgk Địa Lí 12 - CTST
- Giải sgk Giáo dục KTPL 12 - CTST
- Giải sgk Tin học 12 - CTST
- Giải sgk Hoạt động trải nghiệm 12 - CTST
- Giải sgk Âm nhạc 12 - CTST
- Lớp 12 Cánh diều
- Soạn văn 12 Cánh diều (hay nhất)
- Soạn văn 12 Cánh diều (ngắn nhất)
- Giải sgk Toán 12 Cánh diều
- Giải sgk Vật Lí 12 - Cánh diều
- Giải sgk Hóa học 12 - Cánh diều
- Giải sgk Sinh học 12 - Cánh diều
- Giải sgk Lịch Sử 12 - Cánh diều
- Giải sgk Địa Lí 12 - Cánh diều
- Giải sgk Giáo dục KTPL 12 - Cánh diều
- Giải sgk Tin học 12 - Cánh diều
- Giải sgk Công nghệ 12 - Cánh diều
- Giải sgk Hoạt động trải nghiệm 12 - Cánh diều
- Giải sgk Giáo dục quốc phòng 12 - Cánh diều
- Giải sgk Âm nhạc 12 - Cánh diều


Giải bài tập SGK & SBT
Tài liệu giáo viên
Sách
Khóa học
Thi online
Hỏi đáp

