Công thức, Cách tính chu kì phóng xạ (hay, chi tiết)
Bài viết Công thức, Cách tính chu kì phóng xạ với phương pháp giải chi tiết giúp học sinh ôn tập, biết cách làm bài tập Công thức, Cách tính chu kì phóng xạ.
Công thức, Cách tính chu kì phóng xạ (hay, chi tiết)
(199k) Xem Khóa học Vật Lí 12 KNTTXem Khóa học Vật Lí 12 CDXem Khóa học Vật Lí 12 CTST
1. Phương pháp giải
Dựa vào định luật phóng xạ để tìm chu kì bán rã
Tương tự với độ phóng xạ thì cũng tìm ra được chu kì bán rã như trên
2. Bài tập trắc nghiệm
Câu 1:Một lượng chất phóng xạ sau 12 năm thì còn lại 1/16 khối lượng ban đầu của nó. Chu kì bán rã của chất đó là
A. 3 năm
B. 4,5 năm
C. 9 năm
D. 48 năm
Lời giải:
Đáp án A
Câu 2:Sau thời gian t, độ phóng xạ của một chất phóng xạ β- giảm 128 lần. Chu kì bán rã của chất phóng xạ đó là
Lời giải:
Đáp án C
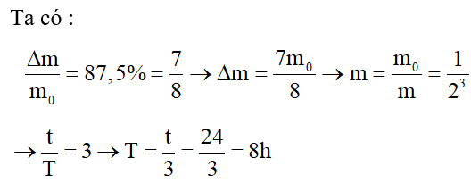
Câu 3:Sau khoảng thời gian 1 ngày đêm 87,5% khối lượng ban đầu của một chất phóng xạ bị phân rã thành chất khác. Chu kì bán rã của chất phóng xạ đó là
A. 12 giờ.
B. 8 giờ.
C. 6 giờ.
D. 4 giờ.
Lời giải:
Đáp án B
Câu 4:Trong khoảng thời gian 4h có 75% số hạt nhân ban đầu của một đồng vị phóng xạ bị phân rã. Chu kì bán rã của đồng vị đó là:
A. 1h
B. 3h
C. 4h
D. 2h
Lời giải:
Đáp án D
Câu 5:Đồng vị Cacbon
phóng xạ β và biến thành nito (N). Viết phương trình của sự phóng xạ đó. Nếu cấu tạo của hạt nhân nito. Mẫu chất ban đầu có 2x10-3 g Cacban
. Sau khoảng thời gian 11200 năm. Khối lượng của Cacbon
trong mẫu đó còn lại 0.5 x 10-3 g . Tính chu kì bán rã của cacbon
.
A. 6000 năm
B. 5600 năm
C. 7200 năm
D. 2600 năm
Lời giải:
Đáp án B
Câu 6:Ban đầu (t = 0) có một mẫu chất phóng xạ X nguyên chất. Ở thời điểm t1 mẫu chất phóng xạ X còn lại 20% hạt nhân chưa bị phân rã. Đến thời điểm t2 = t1 + 100 (s) số hạt nhân X chưa bị phân rã chỉ còn 5% so với số hạt nhân ban đầu. Chu kì bán rã của chất phóng xạ đó là
A. 50 s.
B. 25 s.
C. 400 s.
D. 200 s.
Lời giải:
Đáp án A
Câu 7:Ban đầu có một mẫu Po210 nguyên chất có khối lượng 1 (g). Cứ mỗi hạt khi phân rã tạo thành 1 hạt α. Biết rằng sau 365 ngày nó tạo ra 89,6 (cm3) khí Hêli ở (đktc). Chu kì bán rã của Po là
A. 138 ngày.
B. 136 ngày.
C. 137 ngày.
D. 139 ngày.
Lời giải:
Đáp án A
Câu 8:Một mẫu U238 có khối lượng 1 (g) phát ra 12400 hạt anpha trong một giây. Tìm chu kì bán rã của đồng vị này. Coi một năm có 365 ngày, số avogadro là 6,023.1023.
A. 4,4 (tỉ năm).
B. 4,5 (tỉ năm).
C. 4,6 (tỉ năm).
D. 0,45 (tỉ năm).
Lời giải:
Đáp án B
Câu 9:Một đồng vị phóng xạ A lúc đầu có 2,86.1026 hạt nhân. Trong giờ đầu tiên có 2,29.1025 hạt bị phân rã. Chu kì bán rã đồng vị A là
A. 8 giờ 30 phút
B. 8 giờ 15 phút
C. 8 giờ
D. 8 giờ 18 phút
Lời giải:
Đáp án D
Câu 10:Ban đầu có một mẫu 210 Po nguyên chất có khối lượng 1(g). Cứ mỗi hạt khi phân rã tạo thành 1 hạt α. Biết rằng sau 365 ngày nó tạo ra 89,6 cm3 khí Heli ở điều kiện tiêu chuẩn. Chu kì bán rã của Po là
A. 138,3 ngày
B. 138,2 ngày
C. 138,1 ngày
D. 138,0 ngày
Lời giải:
Đáp án C
(199k) Xem Khóa học Vật Lí 12 KNTTXem Khóa học Vật Lí 12 CDXem Khóa học Vật Lí 12 CTST
Xem thêm các dạng bài tập Vật Lí lớp 12 ôn thi Tốt nghiệp có lời giải hay khác:
- Cách giải bài tập Cấu tạo hạt nhân, năng lượng liên kết cực hay
- 20 Bài tập Cấu tạo hạt nhân, Năng lượng liên kết có lời giải
- Viết phương trình phóng xạ cực hay, có đáp án
- Công thức, Cách tính khối lượng chất phóng xạ hay, chi tiết
- Công thức, Cách tính thời gian phóng xạ, tuổi của cổ vật hay, chi tiết
- Công thức, Cách tính độ phóng xạ hay, chi tiết
- Dạng bài tập Các định luật bảo toàn trong phản ứng hạt nhân hay, chi tiết
Đã có app VietJack trên điện thoại, giải bài tập SGK, SBT Soạn văn, Văn mẫu, Thi online, Bài giảng....miễn phí. Tải ngay ứng dụng trên Android và iOS.
Theo dõi chúng tôi miễn phí trên mạng xã hội facebook và youtube:Nếu thấy hay, hãy động viên và chia sẻ nhé! Các bình luận không phù hợp với nội quy bình luận trang web sẽ bị cấm bình luận vĩnh viễn.
- Giải Tiếng Anh 12 Global Success
- Giải sgk Tiếng Anh 12 Smart World
- Giải sgk Tiếng Anh 12 Friends Global
- Lớp 12 Kết nối tri thức
- Soạn văn 12 (hay nhất) - KNTT
- Soạn văn 12 (ngắn nhất) - KNTT
- Giải sgk Toán 12 - KNTT
- Giải sgk Vật Lí 12 - KNTT
- Giải sgk Hóa học 12 - KNTT
- Giải sgk Sinh học 12 - KNTT
- Giải sgk Lịch Sử 12 - KNTT
- Giải sgk Địa Lí 12 - KNTT
- Giải sgk Giáo dục KTPL 12 - KNTT
- Giải sgk Tin học 12 - KNTT
- Giải sgk Công nghệ 12 - KNTT
- Giải sgk Hoạt động trải nghiệm 12 - KNTT
- Giải sgk Giáo dục quốc phòng 12 - KNTT
- Giải sgk Âm nhạc 12 - KNTT
- Giải sgk Mĩ thuật 12 - KNTT
- Lớp 12 Chân trời sáng tạo
- Soạn văn 12 (hay nhất) - CTST
- Soạn văn 12 (ngắn nhất) - CTST
- Giải sgk Toán 12 - CTST
- Giải sgk Vật Lí 12 - CTST
- Giải sgk Hóa học 12 - CTST
- Giải sgk Sinh học 12 - CTST
- Giải sgk Lịch Sử 12 - CTST
- Giải sgk Địa Lí 12 - CTST
- Giải sgk Giáo dục KTPL 12 - CTST
- Giải sgk Tin học 12 - CTST
- Giải sgk Hoạt động trải nghiệm 12 - CTST
- Giải sgk Âm nhạc 12 - CTST
- Lớp 12 Cánh diều
- Soạn văn 12 Cánh diều (hay nhất)
- Soạn văn 12 Cánh diều (ngắn nhất)
- Giải sgk Toán 12 Cánh diều
- Giải sgk Vật Lí 12 - Cánh diều
- Giải sgk Hóa học 12 - Cánh diều
- Giải sgk Sinh học 12 - Cánh diều
- Giải sgk Lịch Sử 12 - Cánh diều
- Giải sgk Địa Lí 12 - Cánh diều
- Giải sgk Giáo dục KTPL 12 - Cánh diều
- Giải sgk Tin học 12 - Cánh diều
- Giải sgk Công nghệ 12 - Cánh diều
- Giải sgk Hoạt động trải nghiệm 12 - Cánh diều
- Giải sgk Giáo dục quốc phòng 12 - Cánh diều
- Giải sgk Âm nhạc 12 - Cánh diều


Giải bài tập SGK & SBT
Tài liệu giáo viên
Sách
Khóa học
Thi online
Hỏi đáp

