Cách tính Điện lượng chuyển qua tiết diện dây dẫn (hay, chi tiết)
Bài viết Cách tính Điện lượng chuyển qua tiết diện dây dẫn với phương pháp giải chi tiết giúp học sinh ôn tập, biết cách làm bài tập Cách tính Điện lượng chuyển qua tiết diện dây dẫn.
Cách tính Điện lượng chuyển qua tiết diện dây dẫn (hay, chi tiết)
(199k) Xem Khóa học Vật Lí 12 KNTTXem Khóa học Vật Lí 12 CDXem Khóa học Vật Lí 12 CTST
A. Phương pháp & Ví dụ
1. Phương pháp
+ Điện lượng qua tiết diện S trong thời gian t là q với : q = i.t
+ Điện lượng qua tiết diện S trong thời gian từ t1 đến t2 là Δq : Δq=i.Δt ⇒
2. Ví dụ
Ví dụ 1: Dòng điện xoay chiều i = 2sin100πt(A) qua một dây dẫn . Điện lượng chạy qua tiết diện dây trong khoảng thời gian từ 0 đến 0,15s là :
A.0 B.4/100π(C) C.3/100π(C) D.6/100π(C)
Lời giải:
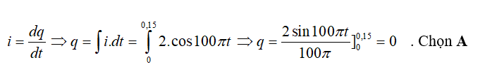
Ví dụ 2: Dòng điện xoay chiều có biểu thức i = 2cos100πt(A) chạy qua dây dẫn . điện lượng chạy qua một tiết điện dây trong khoảng thời gian từ 0 đến 0,15s là :
A.0 B.4/100π(C) C.3/100π(C) D.6/100π(C)
Lời giải:
Ví dụ 3: Dòng điện xoay chiều hình sin chạy qua một đoạn mạch có biểu thức có biểu thức cường độ là i = Iocos(ωt - π/2) , Io > 0. Tính từ lúc , điện lượng chuyển qua tiết diện thẳng của dây dẫn của đoạn mạch đó trong thời gian bằng nửa chu kì của dòng điện là
Lời giải:
B. Bài tập trắc nghiệm
Câu 1. Cho đoạn mạch RLC mắc nối tiếp. Dòng điện xoay chiều hình sin chạy qua một đoạn mạch có biểu thức có biểu thức i = I0cos(100πt + π/6) A. Tính từ thời điểm dòng điện qua mạch triệt tiêu, sau khoảng 1/4 chu kì thì điện lượng chuyển qua tiết diện thẳng của dây dẫn của đoạn mạch là
A. 0 B. I0/(100π) C
C. I0/(25π) C D. I0/(50π) C
Lời giải:
Gọi t1 là thời điểm dòng điện qua mạch triệt tiêu, ta có:
Thời điểm t2 sau t1:
Điện lượng chuyển qua tiết diện thẳng của dây dẫn của đoạn mạch từ thời điểm t1 đến t2 là:
Chọn B.
Câu 2. Dòng điện xoay chiều hình sin chạy qua một đoạn mạch có biểu thức có biểu thức cường độ là i = I0cos(ωt - π/2), với I0 > 0. Tính từ lúc t = 0 (s), điện lượng chuyển qua tiết diện thẳng của dây dẫn của đoạn mạch đó trong thời gian bằng nửa chu kì của dòng điện là
A. 0 B. 2I0/ω C. πI0√2/ω D. πI0/(ω√2)
Lời giải:
Chọn B. Ta có: 0,5T = π/ω
Câu 3. Dòng điện xoay chiều có biểu thức i = 2sin100πt (A) chạy qua một dây dẫn. Điện lượng chạy qua một tiết diện dây trong khoảng thời gian từ 0 đến 0,15s là :
A. 0 B. 4/(100π) C
C. 3/(100π) C D. 6/(100π) C
Lời giải:
Chọn B.
Câu 4. Dòng điện xoay chiều có biểu thức i = 2cos100πt (A) chạy qua dây dẫn. Điện lượng chạy qua một tiết điện dây trong khoảng thời gian từ 0 đến 0,15s là :
A. 0 B. 4/(100π) C
C. 3/(100π) C D. 6/(100π) C
Lời giải:
Chọn A.
Câu 5. Dòng điện xoay chiều chạy trong dây dẫn có biểu thức i = 2cos(100πt - π/6) (A) (t đo bằng giây). Tính điện lượng chuyển qua tiết diện thẳng của dây dẫn trong 1/300 (s) kể từ lúc t = 0.
A. 6,666 mC B. 5,513 mC
C. 6,366 mC D. 6,092 mC
Lời giải:
Chọn C.
Câu 6. Mắc dây dẫn vào nguồn xoay chiều ổn định thì dòng điện chạy qua dây có biểu thức i = 2cos(100πt - π/3) (A). Điện lượng chuyển qua tiết diện thẳng của dây dẫn trong thời gian 1/300 (s) kể từ lúc t = 0 và kể từ lúc i = 0 lần lượt là
A. 5,513 mC và 3,183 mC
B. 3,858 mC và 5,513 mC
C. 8,183 mC và 5,513 mC
D. 87 mC và 3,183 mC
Lời giải:
Chọn A
Câu 7. Dòng điện xoay chiều chạy trong dây dẫn có tần số góc ω. Điện lượng chuyển qua tiết diện thẳng của dây dẫn trong 1/6 chu kì dòng điện kể từ lúc dòng điện bằng không là Q1. Cường độ dòng điện cực đại là
A. 6Q1ω B. 2Q1ω C. Q1ω D. 0,5.Q1ω
Lời giải:
Chọn B
Câu 8. Cho dòng điện xoay chiều i = 2πsin(100πt) (A) (t đo bằng giây) qua mạch. Tính độ lớn điện lượng qua mạch trong thời gian thời gian 5 phút.
A. 600 C B. 1200 C C. 1800 C D. 2400 C
Lời giải:
Chọn B
C. Bài tập bổ sung
Câu 1: Dòng điện A chạy qua điện trở R, điện lượng chuyển qua điện trở trong khoảng thời gian s kể từ thời điểm ban đầu là:
A. 3,333 mC
B. 4,216 mC
C. 0,853 mC
D. 0,427 mC
Câu 2: Cho một dòng điện xoay chiều có biểu thức A chạy trong mạch điện. Trong 10 ms đầu tiên kể từ thời điểm t = 50 ms, tổng điện lượng chuyển qua một tiết diện thẳng của dây dẫn là:
A. 3,45 mC
B. 4,34 mC
C. 19,1 mC
D. 14,43 mC
Câu 3: Cho một dòng điện xoay chiều có biểu thức A chạy trong mạch điện. Trong 15 ms đầu tiên kể từ thời điểm t = 50 ms, tổng điện lượng chuyển qua một tiết diện thẳng của dây dẫn là
A. 3,45 mC
B. 18,01 mC
C. 5,64 mC
D. 14,43 mC.
Câu 4: Cho một dòng điện xoay chiều có biểu thức A chạy trong mạch điện. Hằng số điện tích nguyên tố là e = 1,6.10-19 C. Trong 45 ms đầu tiên kể từ thời điểm ban đầu, t = 0, số lượt electron chuyển qua một tiết diện thẳng của dây dẫn theo cả hai chiều là
A. 2,15.1018
B. 4,34.1018
C. 5,64.1018
D. 4,43.1018
Câu 5: Cho một dòng điện xoay chiều có biểu thức i = 5πcos(100πt) A chạy trong mạch điện. Hằng số điện tích nguyên tố là e = 1,6.10-19 C. Kể từ thời điểm ban đầu, thời gian để số lượt electron chuyển qua một tiết diện thẳng của sợi dây theo cả hai chiều bằng 3,44.1018 là
A. 35 ms.
B. 40 ms.
C. 55 ms.
D. 25 ms.
Câu 6: Cho một dòng điện xoay chiều có biểu thức A chạy trong mạch điện. Hằng số điện tích nguyên tố là e = 1,6.10-19C. Trong 60 ms đầu tiên kể từ thời điểm ban đầu, t = 0, số lượt electron chuyển qua một tiết diện thẳng của dây dẫn theo cả hai chiều là
A. 4,3.1019.
B. 4,5.1018.
C. 5,4.1018.
D. 1,5.1019.
Câu 7: Cho một dòng điện xoay chiều có biểu thức A chạy trong mạch điện. Hằng số điện tích nguyên tố là e = 1,6.10-19.C. Trong s đầu tiên kể từ thời điểm ban đầu, t = 0, số lượt electron chuyển qua một tiết diện thẳng của dây dẫn theo cả hai chiều là
A. 4,34.1018.
B. 8,59.1017.
C. 5,64.1018.
D. 4,43.1017.
Câu 8: Cho một dòng điện xoay chiều có biểu thức A chạy trong mạch điện. Hằng số điện tích nguyên tố là e = 1,6. 10-19C. Trong 45 ms đầu tiên kể từ thời điểm cường độ dòng điện bằng 4π, số lượt electron chuyển qua một tiết diện thẳng của dây dẫn theo cả hai chiều là
A. 5,64.1018
B. 4,34.1018
C. 2,25.1018
D. 4,43.1019.
Câu 9: Một dòng điện xoay chiều đi qua điện trở R = 25 Ω trong thời gian t = 120 s thì nhiệt lượng toả ra trên điện trở là Q = 6 000 J. Cường độ hiệu dụng của dòng điện xoay chiều này là
A. 2 A
B. 3 A
C. √2 A
D. √3 A
Câu 10: Cho dòng điện xoay chiều (A) chạy qua một dây dẫn. Điện lượng chuyển qua tiết diện của dây theo một chiều trong một nửa chu kì là
A.
B.
C.
D.
(199k) Xem Khóa học Vật Lí 12 KNTTXem Khóa học Vật Lí 12 CDXem Khóa học Vật Lí 12 CTST
Xem thêm các dạng bài tập Vật Lí lớp 12 ôn thi Tốt nghiệp có lời giải hay khác:
Dạng 2: Xác định các đại lượng đặc trưng của dòng điện xoay chiều
Dạng 3: Cách giải bài tập về Mối liên hệ giữa dòng điện xoay chiều và dao động điều hòa
45 bài tập trắc nghiệm Đại cương về dòng điện xoay chiều có đáp án chi tiết (phần 1)
45 bài tập trắc nghiệm Đại cương về dòng điện xoay chiều có đáp án chi tiết (phần 2)
Đã có app VietJack trên điện thoại, giải bài tập SGK, SBT Soạn văn, Văn mẫu, Thi online, Bài giảng....miễn phí. Tải ngay ứng dụng trên Android và iOS.
Theo dõi chúng tôi miễn phí trên mạng xã hội facebook và youtube:Nếu thấy hay, hãy động viên và chia sẻ nhé! Các bình luận không phù hợp với nội quy bình luận trang web sẽ bị cấm bình luận vĩnh viễn.
- Giải Tiếng Anh 12 Global Success
- Giải sgk Tiếng Anh 12 Smart World
- Giải sgk Tiếng Anh 12 Friends Global
- Lớp 12 Kết nối tri thức
- Soạn văn 12 (hay nhất) - KNTT
- Soạn văn 12 (ngắn nhất) - KNTT
- Giải sgk Toán 12 - KNTT
- Giải sgk Vật Lí 12 - KNTT
- Giải sgk Hóa học 12 - KNTT
- Giải sgk Sinh học 12 - KNTT
- Giải sgk Lịch Sử 12 - KNTT
- Giải sgk Địa Lí 12 - KNTT
- Giải sgk Giáo dục KTPL 12 - KNTT
- Giải sgk Tin học 12 - KNTT
- Giải sgk Công nghệ 12 - KNTT
- Giải sgk Hoạt động trải nghiệm 12 - KNTT
- Giải sgk Giáo dục quốc phòng 12 - KNTT
- Giải sgk Âm nhạc 12 - KNTT
- Giải sgk Mĩ thuật 12 - KNTT
- Lớp 12 Chân trời sáng tạo
- Soạn văn 12 (hay nhất) - CTST
- Soạn văn 12 (ngắn nhất) - CTST
- Giải sgk Toán 12 - CTST
- Giải sgk Vật Lí 12 - CTST
- Giải sgk Hóa học 12 - CTST
- Giải sgk Sinh học 12 - CTST
- Giải sgk Lịch Sử 12 - CTST
- Giải sgk Địa Lí 12 - CTST
- Giải sgk Giáo dục KTPL 12 - CTST
- Giải sgk Tin học 12 - CTST
- Giải sgk Hoạt động trải nghiệm 12 - CTST
- Giải sgk Âm nhạc 12 - CTST
- Lớp 12 Cánh diều
- Soạn văn 12 Cánh diều (hay nhất)
- Soạn văn 12 Cánh diều (ngắn nhất)
- Giải sgk Toán 12 Cánh diều
- Giải sgk Vật Lí 12 - Cánh diều
- Giải sgk Hóa học 12 - Cánh diều
- Giải sgk Sinh học 12 - Cánh diều
- Giải sgk Lịch Sử 12 - Cánh diều
- Giải sgk Địa Lí 12 - Cánh diều
- Giải sgk Giáo dục KTPL 12 - Cánh diều
- Giải sgk Tin học 12 - Cánh diều
- Giải sgk Công nghệ 12 - Cánh diều
- Giải sgk Hoạt động trải nghiệm 12 - Cánh diều
- Giải sgk Giáo dục quốc phòng 12 - Cánh diều
- Giải sgk Âm nhạc 12 - Cánh diều


Giải bài tập SGK & SBT
Tài liệu giáo viên
Sách
Khóa học
Thi online
Hỏi đáp

