Cách giải bài tập Khoảng cách hai vật trong dao động con lắc lò xo hay và khó
Bài viết Cách giải bài tập Khoảng cách hai vật trong dao động con lắc lò xo với phương pháp giải chi tiết giúp học sinh ôn tập, biết cách làm bài tập Cách giải bài tập Khoảng cách hai vật trong dao động con lắc lò xo.
Cách giải bài tập Khoảng cách hai vật trong dao động con lắc lò xo hay và khó
(199k) Xem Khóa học Vật Lí 12 KNTTXem Khóa học Vật Lí 12 CDXem Khóa học Vật Lí 12 CTST
Câu 1. Một lò xo nhẹ có chiều dài tự nhiên l0, độ cứng k0 = 16 N/m, được cắt thành hai lò xo có chiều dài lần lượt là l1 = 0,8l0, và l2 = 0,2l0. Mỗi lò xo sau khi cắt được gắn với vật có cùng khối lượng 0,5 kg. Cho hai con lắc lò xo mắc vào hai mặt tường đối diện nhau và cùng đặt trên mặt phẳng nhẵn nằm ngang (các lò xo đồng trục). Khi hai lò xo chưa biến dạng thì khoảng cách hai vật là 12 cm. Lúc đầu, giữ các vật để cho các lò xo đều bị nén đồng thời thả nhẹ để hai vật dao động cùng thế năng cực đại là 0,1 J. Lấy π2 = 10. Kể từ lúc thả vật, sau khoảng thời gian ngắn nhất là Δt thì khoảng cách giữa hai vật nhỏ nhất là d. Giá trị của Δt và d lần lượt là:
A. 1/10 s; 7,5 cm. B. 1/3 s; 4,5 cm.
C. 1/3 s; 7,5 cm. D. 1/10 s; 4,5 cm.
Lời giải:
Chọn B
+ Độ cứng của các lò xo sau khi cắt
+ Biên độ dao động của các vật
+ Với hệ trục tọa độ như hình vẽ (gốc tọa độ vị trí cân bằng của vật thứ nhất), phương trình dao động của các vật là
d nhỏ nhất khi
Câu 2. Cho hai vật nhỏ A và B có khối lượng bằng nhau và bằng 50 g. Hai vật được nối với nhau bằng một sợi dây dài 12 cm, nhẹ và không dẫn điện; vật B tích điện q = 2.10-6C còn vật A không tích điện. Vật A được gắn vào lò xo nhẹ có độ cứng k = 10 N/m. Hệ được treo thẳng đứng trong điện trường đều có cường độ điện trường E = 105 V/m hướng thẳng đứng từ dưới lên. Ban đầu giữ vật A để hệ nằm yên, lò xo không biến dạng. Thả nhẹ vật A, khi vật B dừng lại lần đầu thì dây đứt. Khi vật A đi qua vị trí cân bằng mới lần thứ nhất thì khoảng cách giữa hai vật bằng
A. 29,25 cm. B. 26,75 cm.
C. 24,12 cm. D. 25,42 cm.
Lời giải:
Đáp án B
Theo bài ra ta có:
Khi dây bị đứt vật A dao động với biên độ A1, chu kỳ T1 và có VTCB là Om cao hơn VTCB cũ một đoạn
Vật B rơi tự do với gia tốc g1. Trong khoảng thời gian từ khi vật đi từ khi tuột dây đến khi vật A lên đến vị trí cân bằng Om là
thì vật B đi được quãng đường là s1.
Ta có:
⇒ d = s1 + 1 + OMm = 3,75 + 12 + 11 = 26,75 cm
Câu 3. Cho hai vật nhỏ A và B có khối lượng bằng nhau và bằng 1 kg. Hai vật được nối với nhau bằng một sợi dây mảnh, nhẹ, không dãn và không dẫn điện dài 10 cm, vật B tích điện tích q = 10-6 C còn vật A được gắn vào lò xo nhẹ có độ cứng k = 10 N/m. Hệ được đặt nằm ngang trên một bàn không ma sát trong điện trường đều có cường độ điện trường E = 105 V/m hướng dọc theo trục lò xo. Ban đầu hệ nằm yên, lò xo bị dãn. Cắt dây nối hai vật, vật B rời xa vật A và chuyển động dọc theo chiều điện trường, vật A dao động điều hòa. Lấy π2 = 10. Khi lò xo có chiều dài ngắn nhất lần đầu tiên thì A và B cách nhau một khoảng là
A. 17 cm. B. 19 cm.
C. 4 cm. D. 24 cm.
Lời giải:
Đáp án A
+ Độ biến dạng của lò xo tại vị trí cân bằng của hệ:
+ Sau khi cắt dây nối, vật A dao động điều hòa quanh vị trí lò xo không biến dạng với biên độ A = ∆l0 = 1cm, và chu kì
+ Vật B chuyển động cùng chiều với điện trường dưới tác dụng của lực điện gây ra gia tốc:
+ Chiều dài lò xo ngắn nhất lần đầu tiên ứng với khoảng thời gian 0,5T kể từ khi dây nối bị đứt, vật A đến vị trí lò xo bị nén 1cm
→ Khoảng cách giữa hai vật:
Câu 4. Một vật có khối lượng m1 = 1,25 kg mắc vào một lò xo nhẹ có độ cứng k = 200 N/m, đầu kia của lò xo gắn chặt vào tường. Vật và lò xo nằm trên mặt phẳng nằm ngang ma sát không đáng kể. Đặt vật thứ hai có khối lượng m2 = 3,75kg sát với vật thứ nhất rồi đẩy chậm cả hai vật cho lò xo nén lại 8 cm. Khi thả nhẹ chúng ra, lò xo đẩy hai vật chuyển động về một phía. Lấy π2 = 10. Khi lò xo giãn cực đại lần đầu tiên thì hai vật cách nhau một đoạn là:
A. 4π - 4 cm. B. 4π – 8 cm.
C. 16 cm. D. 2π – 4 cm.
Lời giải:
Chọn D.
Ta có hai giai đoạn sau:
Giai đoạn 1: Hệ con lắc gồm lò xo có độ cứng k và vật m = m1 + m2 dao động điều hòa với biên độ A = 8 cm quanh vị trí cân bằng O (vị trí lò xo không biến dạng.
+ Tần số góc của dao động
rad/s.
+ Tốc độ của hệ hai vật khi đi qua vị trí cân bằng: v0 = ω.A = 16π cm/s.
Giai đoạn 2: Vật m2 tách ra khỏi vật m1 tại O chuyển động thẳng đều với vận tốc v0, vật m1 vẫn dao động điều hòa quanh O.
+ Tần số góc của dao động m1:
+ Biên độ dao động của m1:
Lò xo giãn cực đại lần đầu tiên ứng với m1 đang ở vị trí biên, khi đó m2 đã chuyển động với khoảng thời gian tương ứng là
Khoảng cách giữa hai vật: ∆x = v0.∆t – A’ = 2π – 4 cm.
Câu 5. Một con lắc lò xo gồm vật nhỏ khối lượng m = 100 g được treo vào đầu tự do của một lò xo có độ cứng k = 20 N/m. Vật được đặt trên một giá đỡ nằm ngang tại vị trí lò xo không biến dạng. Cho giá đỡ M chuyển động nhanh dần đều xuống phía dưới với gia tốc a = 2m/s2. Lấy g =10 m/s2. Ở thời điểm lò xo dài nhất lần đầu tiên, khoảng cách giữa vật và giá đỡ gần giá trị nào nhất sau đây?
A. 4 cm B. 3,6 cm
C. 3 cm D. 4,2 cm
Lời giải:
Đáp án C
Chọn chiều dương hướng xuống
Ban đầu, tại vị trí cân bẳng O1, lò xo dãn một đoạn:
Giá đỡ M chuyển động nhanh dần đều hướng xuống ⇒ lực quán tính F hướng lên ⇒ vị trí cân bằng của vật m khi có giá đỡ M là O2, với:
Giá đỡ đi xuống đến vị trí O2, vật và giá đỡ sẽ cách nhau
⇒ Suy ra vật và giá đỡ có tốc độ:
Khi tách ra, vị trí cân bằng của vật là O1 ⇒ vật có li độ: x = - 1 cm
Thời gian vật đi từ x = - 1 cm → x = A = 3 cm (lo xo có chiều dài lớn nhất lần đầu tiên) là:
Tính từ O2, giá đỡ M đi được quãng đường:
Suy ra, khoảng cách 2 vật là: d = 7,23 - (1 + 3) = 3,23 cm ⇒ gần 3 cm nhất.
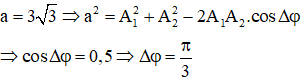
Câu 6. Có hai con lắc lò xo giống hệt nhau, dao động điều hòa trên mặt phẳng nằm ngang dọc theo hai đường thẳng song song với trục Ox, vị trí cân bằng của hai vật cùng tọa độ 0. Biên độ con lắc 1 là A1 = 3 cm, của con lắc 2 là A2 = 6 cm. Trong quá trình dao động khoảng cách lớn nhất giữa hai vật theo phương Ox là 3√3 cm. Khi động năng của con lắc 1 đạt cực đại bằng W thì động năng của con lắc 2 là
A. W/2. B. 2W/3. C. W. D. W/2.
Lời giải:
Đáp án C
Trong quá trình dao động khoảng cách lớn nhất giữa hai vật theo phương Ox là
(∆φ là độ lệch pha của hai con lắc lò xo)
Động năng cả con lắc 1 là cực đại bằng W thì động năng cực đại của con lắc 2 là:
Do hai dao động lệch pha nhau 60º nên khi con lắc 1 có động năng cực đại (x1 = 0) thì con lắc 2 có vị trí thỏa mãn:
⇒ Động năng của con lắc thứ hai tại thời điểm này là:
Câu 7. Trên mặt phẳng nằm ngang nhẵn có một điểm sáng S chuyển động tròn đều trên đường tròn tâm O bán kính 5cm với tốc độ góc 10π (rad/s). Cũng trên mặt phẳng đó, một con lắc lò xo dao động điều hoà theo phương ngang sao cho trục của lò xo trùng với một đường kính của đường tròn tâm O. Vị trí cân bằng của vật nhỏ của con lắc trùng với tâm O của đường tròn. Biết lò xo có độ cứng k = 100 N/m, vật nhỏ có khối lượng m = 100g. Tại một thời điểm nào đó, điểm sáng S đang đi qua vị trí như trên hình vẽ, còn vật nhỏ m đang có tốc độ cực đại Vmax = 50π (cm/s). Khoảng cách lớn nhất giữa điểm sáng S và vật nhỏ m trong quá trình chuyển động xấp xỉ bằng
A. 6,3cm B. 9,7cm
C. 7,4cm D. 8,1cm
Lời giải:
Đáp án D
Chọn hệ tọa độ Oxy như hình vẽ, gốc thời gian t = 0 là lúc vật m đi qua VTCB theo chiều dương.
- S chuyển động tròn đều trên đường tròn tâm O bán kính 5cm với tốc độ góc 10π (rad/s) nên tọa độ của S là: S (5cos10πt, 5sin10πt)
- Vật m dao động điều hoà với:
Tốc độ cực đại của m là: vmax = ωA = 50π cm/s ⇒ A = 5cm.
- Vật m có tọa độ là: M (5cos(10πt – π/2), 0)
Khoảng cách của điểm sáng S và vật m là:
Ta có d lớn nhất khi và chỉ khi
nhỏ nhất.
Áp dụng BĐT Bunhiacôpski ta tìm được
Vậy:
(199k) Xem Khóa học Vật Lí 12 KNTTXem Khóa học Vật Lí 12 CDXem Khóa học Vật Lí 12 CTST
Xem thêm các dạng bài tập Vật Lí lớp 12 ôn thi Tốt nghiệp có lời giải hay khác:
- Liên kết giữa hai vật khi dao động theo phương ngang (Bài tập Con lắc lò xo hay và khó)
- Liên kết giữa hai vật khi dao động theo phương thẳng đứng (Bài tập Con lắc lò xo hay và khó)
Đã có app VietJack trên điện thoại, giải bài tập SGK, SBT Soạn văn, Văn mẫu, Thi online, Bài giảng....miễn phí. Tải ngay ứng dụng trên Android và iOS.
Theo dõi chúng tôi miễn phí trên mạng xã hội facebook và youtube:Nếu thấy hay, hãy động viên và chia sẻ nhé! Các bình luận không phù hợp với nội quy bình luận trang web sẽ bị cấm bình luận vĩnh viễn.
- Giải Tiếng Anh 12 Global Success
- Giải sgk Tiếng Anh 12 Smart World
- Giải sgk Tiếng Anh 12 Friends Global
- Lớp 12 Kết nối tri thức
- Soạn văn 12 (hay nhất) - KNTT
- Soạn văn 12 (ngắn nhất) - KNTT
- Giải sgk Toán 12 - KNTT
- Giải sgk Vật Lí 12 - KNTT
- Giải sgk Hóa học 12 - KNTT
- Giải sgk Sinh học 12 - KNTT
- Giải sgk Lịch Sử 12 - KNTT
- Giải sgk Địa Lí 12 - KNTT
- Giải sgk Giáo dục KTPL 12 - KNTT
- Giải sgk Tin học 12 - KNTT
- Giải sgk Công nghệ 12 - KNTT
- Giải sgk Hoạt động trải nghiệm 12 - KNTT
- Giải sgk Giáo dục quốc phòng 12 - KNTT
- Giải sgk Âm nhạc 12 - KNTT
- Giải sgk Mĩ thuật 12 - KNTT
- Lớp 12 Chân trời sáng tạo
- Soạn văn 12 (hay nhất) - CTST
- Soạn văn 12 (ngắn nhất) - CTST
- Giải sgk Toán 12 - CTST
- Giải sgk Vật Lí 12 - CTST
- Giải sgk Hóa học 12 - CTST
- Giải sgk Sinh học 12 - CTST
- Giải sgk Lịch Sử 12 - CTST
- Giải sgk Địa Lí 12 - CTST
- Giải sgk Giáo dục KTPL 12 - CTST
- Giải sgk Tin học 12 - CTST
- Giải sgk Hoạt động trải nghiệm 12 - CTST
- Giải sgk Âm nhạc 12 - CTST
- Lớp 12 Cánh diều
- Soạn văn 12 Cánh diều (hay nhất)
- Soạn văn 12 Cánh diều (ngắn nhất)
- Giải sgk Toán 12 Cánh diều
- Giải sgk Vật Lí 12 - Cánh diều
- Giải sgk Hóa học 12 - Cánh diều
- Giải sgk Sinh học 12 - Cánh diều
- Giải sgk Lịch Sử 12 - Cánh diều
- Giải sgk Địa Lí 12 - Cánh diều
- Giải sgk Giáo dục KTPL 12 - Cánh diều
- Giải sgk Tin học 12 - Cánh diều
- Giải sgk Công nghệ 12 - Cánh diều
- Giải sgk Hoạt động trải nghiệm 12 - Cánh diều
- Giải sgk Giáo dục quốc phòng 12 - Cánh diều
- Giải sgk Âm nhạc 12 - Cánh diều


Giải bài tập SGK & SBT
Tài liệu giáo viên
Sách
Khóa học
Thi online
Hỏi đáp

