(3 dạng) Bài toán liên quan đến hai vật trong con lắc lò xo hay và khó
Phần dưới là 3 dạng bài tập liên quan đến hai vật trong con lắc lò xo cực hay và khó. Vào Xem chi tiết để theo dõi các dạng bài Con lắc lò xo hay nhất tương ứng.
(3 dạng) Bài toán liên quan đến hai vật trong con lắc lò xo hay và khó
(199k) Xem Khóa học Vật Lí 12 KNTTXem Khóa học Vật Lí 12 CDXem Khóa học Vật Lí 12 CTST
- Liên kết giữa hai vật khi dao động theo phương ngang (Bài tập Con lắc lò xo hay và khó) Xem chi tiết
- Liên kết giữa hai vật khi dao động theo phương thẳng đứng (Bài tập Con lắc lò xo hay và khó) Xem chi tiết
- Khoảng cách hai vật trong dao động con lắc lò xo hay và khó Xem chi tiết
Cách giải bài tập Liên kết giữa hai vật khi dao động theo phương ngang
A. Phương pháp & Ví dụ
1. Phương pháp
+ Để hai vật cùng dao động thì lực liên kết không nhỏ hơn lực quán tính cực đại:
+ Nếu điều kiện
không được thỏa mãn thì vật ∆m sẽ tách ra ở vị trí lần đầu tiên lực quán tính có xu hướng kéo rời (lò xo dãn) và lớn hơn hoặc bằng lực liên kết
. Như vậy, vị trí tách rời chỉ có thể hoặc là vị trí ban đầu hoặc vị trí biên (lò xo đang dãn!).
+ Khi ∆m đặt trên m muốn cho ∆m không trượt trên m thì lực ma sát trượt không nhỏ hơn lực quán tính cực đại tác dụng lên ∆m:
2. Ví dụ
Ví dụ 1: Một lò xo có độ cứng 200 N/m được đặt nằm ngang, một đầu được giữ cố định, đầu còn lại được gắn với chất điểm m = 1 kg. Chất điểm được gắn với chất điểm thứ hai Δm = 1 kg. Các chất điểm đó có thể dao động không ma sát trên trục Ox nằm ngang. Tại thời điểm ban đầu giữ hai vật ở vị trí lò xo nén 2cm rồi truyền cho hai chất điểm một vận tốc có độ lớn 20 cm/s có phương trùng với Ox và có chiều làm cho lò xo bị nén thêm. Chỗ gắn hai chất điểm bị bong ra nếu lực kéo tại đó đạt đến 2 N. Chất điểm m2 bị tách khỏi m1 ở thời điểm
A. π/30 s B. π/8 s
C. π/10 s D. π/15 s
Lời giải:
Chọn B
Lúc đầu hai vật cùng chuyển động theo chiều âm từ E đến M mất một thời gian T/8. Khi đến M, hai vật dừng lại lần 1 và lò xo nén cực đại, vật m đẩy Δm chuyển động theo chiều dương và hai vật dừng lại lần 2 ở tại N (biên dương, lò xo dãn 2√2 cm). Sau đó vật m đổi chiều chuyển động, lò xo kéo m, vật m kéo Δm.
Ngay tại biên N lúc này, lực quán tính kéo Δm một lực có độ lớn:
Vật ∆m bị tách ra luôn ở biên N ngay khi vật đổi chiều chuyển động.
Thời gian đi từ E đến M rồi đến biên N là:
Cách giải bài tập Liên kết giữa hai vật khi dao động theo phương thẳng đứng
A. Phương pháp & Ví dụ
1. Phương pháp
a) Cất bớt vật
Giả sử lúc đầu hai vật m + ∆m gắn vào lò xo cùng dao động theo phương thẳng đứng xung quanh vị trí cân bằng cũ Oc với biên độ A0 và với tần số góc
, sau đó người ta cất vật ∆m thì hệ dao động xung quanh vị trí cân bằng mới Om với biên độ A và tần số góc
Vị trí cân bằng mới cao hơn vị trí cân bằng cũ một đoạn:
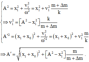
+ Nếu ngay trước khi cất vật ∆m hệ ở dưới vị trí cân bằng cũ một đoạn x1 (tức là cách vị trí cân bằng mới một đoạn x1 + x0 thì:
Đặc biệt, nếu x1 = A thì A’ = A + x0
+ Nếu ngay trước khi cất vật hệ ở trên vị trí cân bằng cũ một đoạn x1 (tức là cách vị trí cân bằng mới một đoạn │x1 – x0│) thì
Đặc biệt, nếu x1 = -A thì A’ = │A – x0│
b. Đặt thêm vật
Giả sử lúc đầu chỉ m gắn vào lò xo dao động theo phương thẳng đứng xung quanh vị trí cân bằng cũ Oc với biên độ A0 và với tần số góc
, sau đó người ta đặt thêm vật ∆m (có cùng tốc độ tức thời) thì hệ dao động xung quanh vị trí cân bằng mới Om với biên độ A và tần số góc :
. Vị trí cân bằng mới thấp hơn vị trí cân bằng cũ một đoạn:
Ta xét các trường hợp có thể xảy ra:
+ Nếu ngay trước khi đặt vật ∆m hệ ở dưới vị trí cân bằng cũ một đoạn x1 (tức là cách vị trí cân bằng mới một đoạn│x1 – x0│) thì:
Đặc biệt, nếu x1 = A thì A’ = │A – x0│
+ Nếu ngay trước khi đặt vật ∆m hệ ở trên vị trí cân bằng cũ một đoạn x1 (tức là cách vị trí cân bằng mới một đoạn x1 + x0 thì
Đặc biệt, nếu x1 = A thì A’ = A + x0
+ Nếu ngay trước khi cất vật ∆m hệ ở trên vị trí cân bằng cũ một đoạn x1 thì
Đặc biệt, nếu x1 = A thì A’ = │A – x0│
Chú ý:
+ Để ∆m luôn nằm trên m thì khi ở vị trí cao nhất độ lớn gia tốc của hệ không vượt quá g:
+ Khi điều kiện trên được thỏa mãn và khi vật có li độ x thì ∆m tác dụng lên m một áp lực
đồng thời m tác dụng ∆m một phản lực
sao cho N = Q. Viết phương trình định luật II Niutơn cho vật ∆m thì ta tìm được:
2. Ví dụ
Ví dụ 1: Một con lắc lò xo dao động điều hòa theo phương thẳng đứng trùng với trục của lò xo với biên độ 4cm. Biết lò xo nhẹ có độ cứng 100N/m, vật nhỏ dao động có khối lượng m = 0,3kg gắn với lò xo và vật nhỏ có khối lượng ∆m = 0,1kg được đặt trên m. Lấy gia tốc trọng trường g = 10m/s2. Lúc hệ hai vật (m + ∆m) ở dưới vị trí cân bằng 2 cm thì vật ∆m được cất đi (sao cho không làm thay đổi vận tốc tức thời) và sau đó chỉ mình m dao động điều hòa với biên độ A’. Tính A’.
A. 5 cm. B. 4,1 cm. C. 3√2 cm. D. 3,2 cm.
Lời giải:
Chọn C
Ví dụ 2: Con lắc lò xo dao động điều hòa theo phương thẳng đứng trùng với trục của lò xo với biên độ 4cm. Biết lò xo nhẹ có độ cứng 100N/m, vật nhỏ dao động có khối lượng m = 0,3kg và lấy gia tốc trọng trường g = 10m/s2. Lúc m ở trên vị trí cân bằng 2cm, một vật có khối lượng ∆m = 0,1kg đang chuyển động cùng vận tốc tức thời như m đến dính chặt vào nó và cùng dao động điều hòa với biên độ A’. Tính A’.
A. 5 cm. B. 4,1 cm.
C. 3√2 cm. D. 3,2 cm.
Lời giải:
Chọn A
Ví dụ 3: Một con lắc lò xo dao động điều hòa theo phương thẳng đứng trùng với trục của lò xo. Biết lò xo nhẹ có độ cứng 50N/m, vật nhỏ dao động có khối lượng m = 0,4kg và lấy gia tốc trọng trường g = 10m/s2. Người ta đặt nhẹ nhàng lên m một gia trọng ∆m = 0,05kg thì cả hai cùng dao động điều hoà với biên độ A. Giá trị A không vượt quá
A. 9 cm. B. 8 cm.
C. 6√2 cm. D. 3√3 cm.
Lời giải:
Chọn A
Tại vị trí cao nhất, gia tốc có độ lớn không lớn hơn g:
Cách giải bài tập Khoảng cách hai vật trong dao động con lắc lò xo
Câu 1. Một lò xo nhẹ có chiều dài tự nhiên l0, độ cứng k0 = 16 N/m, được cắt thành hai lò xo có chiều dài lần lượt là l1 = 0,8l0, và l2 = 0,2l0. Mỗi lò xo sau khi cắt được gắn với vật có cùng khối lượng 0,5 kg. Cho hai con lắc lò xo mắc vào hai mặt tường đối diện nhau và cùng đặt trên mặt phẳng nhẵn nằm ngang (các lò xo đồng trục). Khi hai lò xo chưa biến dạng thì khoảng cách hai vật là 12 cm. Lúc đầu, giữ các vật để cho các lò xo đều bị nén đồng thời thả nhẹ để hai vật dao động cùng thế năng cực đại là 0,1 J. Lấy π2 = 10. Kể từ lúc thả vật, sau khoảng thời gian ngắn nhất là Δt thì khoảng cách giữa hai vật nhỏ nhất là d. Giá trị của Δt và d lần lượt là:
A. 1/10 s; 7,5 cm. B. 1/3 s; 4,5 cm.
C. 1/3 s; 7,5 cm. D. 1/10 s; 4,5 cm.
Lời giải:
Chọn B
+ Độ cứng của các lò xo sau khi cắt
+ Biên độ dao động của các vật
+ Với hệ trục tọa độ như hình vẽ (gốc tọa độ vị trí cân bằng của vật thứ nhất), phương trình dao động của các vật là
d nhỏ nhất khi
Câu 2. Cho hai vật nhỏ A và B có khối lượng bằng nhau và bằng 50 g. Hai vật được nối với nhau bằng một sợi dây dài 12 cm, nhẹ và không dẫn điện; vật B tích điện q = 2.10-6C còn vật A không tích điện. Vật A được gắn vào lò xo nhẹ có độ cứng k = 10 N/m. Hệ được treo thẳng đứng trong điện trường đều có cường độ điện trường E = 105 V/m hướng thẳng đứng từ dưới lên. Ban đầu giữ vật A để hệ nằm yên, lò xo không biến dạng. Thả nhẹ vật A, khi vật B dừng lại lần đầu thì dây đứt. Khi vật A đi qua vị trí cân bằng mới lần thứ nhất thì khoảng cách giữa hai vật bằng
A. 29,25 cm. B. 26,75 cm.
C. 24,12 cm. D. 25,42 cm.
Lời giải:
Đáp án B
Theo bài ra ta có:
Khi dây bị đứt vật A dao động với biên độ A1, chu kỳ T1 và có VTCB là Om cao hơn VTCB cũ một đoạn
Vật B rơi tự do với gia tốc g1. Trong khoảng thời gian từ khi vật đi từ khi tuột dây đến khi vật A lên đến vị trí cân bằng Om là
thì vật B đi được quãng đường là s1.
Ta có:
⇒ d = s1 + 1 + OMm = 3,75 + 12 + 11 = 26,75 cm
Câu 3. Cho hai vật nhỏ A và B có khối lượng bằng nhau và bằng 1 kg. Hai vật được nối với nhau bằng một sợi dây mảnh, nhẹ, không dãn và không dẫn điện dài 10 cm, vật B tích điện tích q = 10-6 C còn vật A được gắn vào lò xo nhẹ có độ cứng k = 10 N/m. Hệ được đặt nằm ngang trên một bàn không ma sát trong điện trường đều có cường độ điện trường E = 105 V/m hướng dọc theo trục lò xo. Ban đầu hệ nằm yên, lò xo bị dãn. Cắt dây nối hai vật, vật B rời xa vật A và chuyển động dọc theo chiều điện trường, vật A dao động điều hòa. Lấy π2 = 10. Khi lò xo có chiều dài ngắn nhất lần đầu tiên thì A và B cách nhau một khoảng là
A. 17 cm. B. 19 cm.
C. 4 cm. D. 24 cm.
Lời giải:
Đáp án A
+ Độ biến dạng của lò xo tại vị trí cân bằng của hệ:
+ Sau khi cắt dây nối, vật A dao động điều hòa quanh vị trí lò xo không biến dạng với biên độ A = ∆l0 = 1cm, và chu kì
+ Vật B chuyển động cùng chiều với điện trường dưới tác dụng của lực điện gây ra gia tốc:
+ Chiều dài lò xo ngắn nhất lần đầu tiên ứng với khoảng thời gian 0,5T kể từ khi dây nối bị đứt, vật A đến vị trí lò xo bị nén 1cm
→ Khoảng cách giữa hai vật:
Câu 4. Một vật có khối lượng m1 = 1,25 kg mắc vào một lò xo nhẹ có độ cứng k = 200 N/m, đầu kia của lò xo gắn chặt vào tường. Vật và lò xo nằm trên mặt phẳng nằm ngang ma sát không đáng kể. Đặt vật thứ hai có khối lượng m2 = 3,75kg sát với vật thứ nhất rồi đẩy chậm cả hai vật cho lò xo nén lại 8 cm. Khi thả nhẹ chúng ra, lò xo đẩy hai vật chuyển động về một phía. Lấy π2 = 10. Khi lò xo giãn cực đại lần đầu tiên thì hai vật cách nhau một đoạn là:
A. 4π - 4 cm. B. 4π – 8 cm.
C. 16 cm. D. 2π – 4 cm.
Lời giải:
Chọn D.
Ta có hai giai đoạn sau:
Giai đoạn 1: Hệ con lắc gồm lò xo có độ cứng k và vật m = m1 + m2 dao động điều hòa với biên độ A = 8 cm quanh vị trí cân bằng O (vị trí lò xo không biến dạng.
+ Tần số góc của dao động
rad/s.
+ Tốc độ của hệ hai vật khi đi qua vị trí cân bằng: v0 = ω.A = 16π cm/s.
Giai đoạn 2: Vật m2 tách ra khỏi vật m1 tại O chuyển động thẳng đều với vận tốc v0, vật m1 vẫn dao động điều hòa quanh O.
+ Tần số góc của dao động m1:
+ Biên độ dao động của m1:
Lò xo giãn cực đại lần đầu tiên ứng với m1 đang ở vị trí biên, khi đó m2 đã chuyển động với khoảng thời gian tương ứng là
Khoảng cách giữa hai vật: ∆x = v0.∆t – A’ = 2π – 4 cm.
Câu 5. Một con lắc lò xo gồm vật nhỏ khối lượng m = 100 g được treo vào đầu tự do của một lò xo có độ cứng k = 20 N/m. Vật được đặt trên một giá đỡ nằm ngang tại vị trí lò xo không biến dạng. Cho giá đỡ M chuyển động nhanh dần đều xuống phía dưới với gia tốc a = 2m/s2. Lấy g =10 m/s2. Ở thời điểm lò xo dài nhất lần đầu tiên, khoảng cách giữa vật và giá đỡ gần giá trị nào nhất sau đây?
A. 4 cm B. 3,6 cm
C. 3 cm D. 4,2 cm
Lời giải:
Đáp án C
Chọn chiều dương hướng xuống
Ban đầu, tại vị trí cân bẳng O1, lò xo dãn một đoạn:
Giá đỡ M chuyển động nhanh dần đều hướng xuống ⇒ lực quán tính F hướng lên ⇒ vị trí cân bằng của vật m khi có giá đỡ M là O2, với:
Giá đỡ đi xuống đến vị trí O2, vật và giá đỡ sẽ cách nhau
⇒ Suy ra vật và giá đỡ có tốc độ:
Khi tách ra, vị trí cân bằng của vật là O1 ⇒ vật có li độ: x = - 1 cm
Thời gian vật đi từ x = - 1 cm → x = A = 3 cm (lo xo có chiều dài lớn nhất lần đầu tiên) là:
Tính từ O2, giá đỡ M đi được quãng đường:
Suy ra, khoảng cách 2 vật là: d = 7,23 - (1 + 3) = 3,23 cm ⇒ gần 3 cm nhất.
(199k) Xem Khóa học Vật Lí 12 KNTTXem Khóa học Vật Lí 12 CDXem Khóa học Vật Lí 12 CTST
Xem thêm các dạng bài tập Vật Lí lớp 12 ôn thi Tốt nghiệp có lời giải hay khác:
Đã có app VietJack trên điện thoại, giải bài tập SGK, SBT Soạn văn, Văn mẫu, Thi online, Bài giảng....miễn phí. Tải ngay ứng dụng trên Android và iOS.
Theo dõi chúng tôi miễn phí trên mạng xã hội facebook và youtube:Nếu thấy hay, hãy động viên và chia sẻ nhé! Các bình luận không phù hợp với nội quy bình luận trang web sẽ bị cấm bình luận vĩnh viễn.
- Giải Tiếng Anh 12 Global Success
- Giải sgk Tiếng Anh 12 Smart World
- Giải sgk Tiếng Anh 12 Friends Global
- Lớp 12 Kết nối tri thức
- Soạn văn 12 (hay nhất) - KNTT
- Soạn văn 12 (ngắn nhất) - KNTT
- Giải sgk Toán 12 - KNTT
- Giải sgk Vật Lí 12 - KNTT
- Giải sgk Hóa học 12 - KNTT
- Giải sgk Sinh học 12 - KNTT
- Giải sgk Lịch Sử 12 - KNTT
- Giải sgk Địa Lí 12 - KNTT
- Giải sgk Giáo dục KTPL 12 - KNTT
- Giải sgk Tin học 12 - KNTT
- Giải sgk Công nghệ 12 - KNTT
- Giải sgk Hoạt động trải nghiệm 12 - KNTT
- Giải sgk Giáo dục quốc phòng 12 - KNTT
- Giải sgk Âm nhạc 12 - KNTT
- Giải sgk Mĩ thuật 12 - KNTT
- Lớp 12 Chân trời sáng tạo
- Soạn văn 12 (hay nhất) - CTST
- Soạn văn 12 (ngắn nhất) - CTST
- Giải sgk Toán 12 - CTST
- Giải sgk Vật Lí 12 - CTST
- Giải sgk Hóa học 12 - CTST
- Giải sgk Sinh học 12 - CTST
- Giải sgk Lịch Sử 12 - CTST
- Giải sgk Địa Lí 12 - CTST
- Giải sgk Giáo dục KTPL 12 - CTST
- Giải sgk Tin học 12 - CTST
- Giải sgk Hoạt động trải nghiệm 12 - CTST
- Giải sgk Âm nhạc 12 - CTST
- Lớp 12 Cánh diều
- Soạn văn 12 Cánh diều (hay nhất)
- Soạn văn 12 Cánh diều (ngắn nhất)
- Giải sgk Toán 12 Cánh diều
- Giải sgk Vật Lí 12 - Cánh diều
- Giải sgk Hóa học 12 - Cánh diều
- Giải sgk Sinh học 12 - Cánh diều
- Giải sgk Lịch Sử 12 - Cánh diều
- Giải sgk Địa Lí 12 - Cánh diều
- Giải sgk Giáo dục KTPL 12 - Cánh diều
- Giải sgk Tin học 12 - Cánh diều
- Giải sgk Công nghệ 12 - Cánh diều
- Giải sgk Hoạt động trải nghiệm 12 - Cánh diều
- Giải sgk Giáo dục quốc phòng 12 - Cánh diều
- Giải sgk Âm nhạc 12 - Cánh diều


Giải bài tập SGK & SBT
Tài liệu giáo viên
Sách
Khóa học
Thi online
Hỏi đáp

