Cách viết phương trình dao động của Con lắc lò xo (hay, chi tiết)
Bài viết viết phương trình dao động của Con lắc lò xo với phương pháp giải chi tiết giúp học sinh ôn tập, biết cách làm bài tập viết phương trình dao động của Con lắc lò xo.
Cách viết phương trình dao động của Con lắc lò xo (hay, chi tiết)
(199k) Xem Khóa học Vật Lí 12 KNTTXem Khóa học Vật Lí 12 CDXem Khóa học Vật Lí 12 CTST
A. Phương pháp & Ví dụ
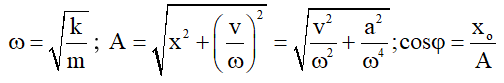
1. Phương pháp
Phương trình dao động của con lắc lò xo có dạng x = Acos(ωt + Φ), tìm A, ω, Φ là ta viết được phương trình dao động của con lắc.
Sử dụng:
( lấy nghiệm “ – “ khi v > 0 ; lấy nghiệm “+” khi v < 0), với xo, vo là li độ và vận tốc tại thời điểm t = 0.
2. Ví dụ
Ví dụ 1: Một con lắc lò xo treo thẳng đứng gồm 1 lò xo nhẹ có độ cứng k = 40 N/m, vật năng m = 100g. Từ VTCB kéo vật xuống 1 đoạn để lò xo giãn 7,5 cm rồi buông cho vật DĐĐH. Lấy g = 10 m/s2. Chọn trục tọa độ Ox trùng với trục lò xo, gốc tọa độ O tại VTCB, chiều dương hướng xuống, gốc thời gian là lúc vật qua VTCB lần đầu tiên. Viết phương trình dao động của vật?
Lời giải:
Ví dụ 2: Con lắc lò xo dao dộng điều hòa theo phương thắng đứng với tần số 4,5 Hz.Trong quá trình dao động,chiều dài lò xo biến đổi từ 4040 cm đến 56 cm. Chọn trục 0x thắng đứng hướng lên, gốc 0 tại vị trí cân bằng, lúc t = 0 lò xo dài 52 cm và vật đi ra xa vị trí cân bằng. Phương trình dao động của vật là?
Lời giải:
Ta có ω = 2πf = 9π rad/s.
Chọn trục Ox thẳng đứng có chiều dương hướng lên, gốc tại vtcb.
Lúc t = 0, lò xo dài 52 cm và vật đi ra xa vtcb tức là vật đang ở vị trí x = -A/2 = -4 cm và chuyển động theo chiều âm → Φ = 2π/3.
→ Phương trình x = 8cos(9πt + 2π /3) cm.
B. Bài tập trắc nghiệm
Câu 1. Một con lắc lò xo gồm một lò xo nhẹ có độ cứng k và một vật nhỏ có khối lượng m = 100 g, được treo thẳng đứng vào một giá cố định. Tại vị trí cân bằng O của vật, lò xo giãn 2,5 cm. Kéo vật dọc theo trục của lò xo xuống dưới cách O một đoạn 2 cm rồi truyền cho nó vận tốc 40√3 cm/s theo phương thẳng đứng hướng xuống dưới. Chọn trục toạ độ Ox theo phương thẳng đứng, gốc tại O, chiều dương hướng lên trên; gốc thời gian là lúc vật bắt đầu dao động. Lấy g = 10 m/s2. Phương trình dao động của vật nặng.
Lời giải:
Ta có:
Biên độ dao động:
Pha ban đầu của dao động:
Vậy phương trình dao động của vật: x = 4cos(20t + 2π/3) cm. Chọn D
Câu 2. Một lò xo đầu trên cố định, đầu dưới treo vật m. Vật dao động theo phương thẳng đứng với tần số góc ω = 10π (rad/s). Trong quá trình dao động độ dài lò xo thay đổi từ 18 cm đến 22 cm. Chọn gố tọa độ tại VTCB. chiều dương hướng xuống, gốc thời gian lúc lò xo có độ dài nhỏ nhất. Phương trình dao động của vật là :
A. x = 2cos(10πt + π)cm
B. x = 2cos(0,4πt)cm
C. x = 4cos(10πt + π)cm
D. x = 4cos(10πt + π)cm
Lời giải:
Câu 2. ω = 10π (rad/s) và A = (lmax-lmin)/2 = 2 cm ⇒ loại B
t = 0 : x0 = 2 cm, v0 = 0 :
chọn φ = π
⇒ x = 2cos(10πt + π) cm. Chọn : A
Câu 3. Một con lắc lò xo có khối lượng m = 50 g, dao động điều hòa trên trục Ox với chu kì T = 0,2 s và chiều dài quỹ đạo là L = 40 cm. Chọn gốc thời gian lúc con lắc qua vị trí cân bằng theo chiều âm. Phương trình dao động của con lắc.
Lời giải:
Chu kỳ dao động của vật:
ω = 2π/T = 2π/0,2 = 10π rad/s
Biên độ dao động: A = L/2 = 20 cm
Pha ban đầu của dao động:
Vậy phương trình dao động của vật: x = 20cos(10πt + π/2) cm. Chọn B
Câu 4. Một con lắc lò xo treo thẳng đứng gồm vật nặng m = 1 kg, lò xo nhẹ có độ cứng k = 100 N/m. Đặt giá B nằm ngang đỡ vật m để lò xo có chiều dài tự nhiên. Cho giá B chuyển động đi xuống với gia tốc a = 2 m/s2 không vận tốc đầu. Chọn trục tọa độ thẳng đứng, chiều dương trên xuống, gốc tọa độ ở VTCB của vật, gốc thời gian lúc vật rời giá B. Phương trình dao động của vật là:
Lời giải:
Khi ở VTCB lò xo giản:
Δl = mg/k = (1.10)/100 = 0,1 m = 10 cm
Tần số dao động:
Vật m: P→ + N→ + F→ = m a→ (1)
Chiếu (1) lên trục Ox đã chọn ta có: mg - N - kΔl = ma
Khi vật rời giá N = 0, gia tốc của vật a = 2 m/s2. Suy ra: Δl = m(g-a)/k (1)
Trong khoảng thời gian đó vật đi được quãng đường Δl được tính Δl = (at2)/2 (2)
Từ (1) và (2) ta có:
Quãng đường vật đi được đến khi rời giá:
Tọa độ ban đầu của vật: x0 = 0,08 - 0,1 = - 0,02 m = - 2 cm
Vận tốc của vật khi rời giá có giá trị: v0 = at = 40√2 cm/s
Biên độ dao động là:
Tại t = 0 thì 6cosφ = -2 ⇒ φ = 1,91 rad/s.
Vậy phương trình dao động của vật: x = 6cos(10t - 1,91) cm. Chọn C
Câu 5. Ba con lắc lò xo 1, 2, 3 đặt thẳng đứng cách đều nhau theo thứ tự 1, 2, 3. Ở vị trí cân bằng ba vật có cùng độ cao. Con lắc thứ nhất dao động có phương trình x1 = 3cos(20πt + π/2) cm, con lắc thứ hai dao động có phương trình x2 = 1,5cos(20πt) cm. Hỏi con lắc thứ ba dao động có phương trình nào thì ba vật luôn luôn nằm trên một đường thẳng?
Lời giải:
Để ba vật luôn nằm trên một đường thẳng thì x2 = (x1 + x3)/2 hay x3 = 2x2 – x1
Suy ra dao động của m3 là tổng hợp của 2 dao động điều hòa cùng phương, cùng tần số.
Dùng phương pháp giản đồ Fre-nen: A3→ = 2A2→ + (- A1→)
Từ giản đồ suy ra:
Dễ thấy φ3 = -π/4 rad
Vậy phương trình dao động của vật: x3 = 3√2cos(20πt - π/4) cm. Chọn A
Câu 6. Một con lắc lò xo gồm vật nặng khối lượng 0,4 kg gắn vào đầu lò xo có độ cứng 40 N/m. Người ta kéo quả nặng ra khỏi VTCB một đoạn 4 cm rồi thả nhẹ cho nó dao động. Phương trình dao động của vật nặng là
A. x = 4cos(10t) cm
B. x = 4cos(10t - π/2 ) cm
C. x = 4cos(10πt - π/2 ) cm
D. x = 4cos(10πt + π/2 ) cm
Lời giải:
Chọn A. Vật dao động theo phương trình tổng quát x = Acos(ωt + φ). Tần số góc ω = √(k/m) = 10 rad/s
Từ cách kích thích ban đầu để tạo nên dao động ta có Acosφ = 4 cm và Asinφ = 0, từ đó tính được A = 4 cm, φ = 0. Thay vào phương trình tổng quát ta được x = 4cos(10t) cm
Câu 7. Một con lắc lò xo gồm một quả nặng có khối lượng m = 400g và một lò xo có độ cứng k = 40 N/m. Người ta kéo quả nặng ra khỏi VTCB một đoạn bằng 8cm và thả cho nó dao động. Phương trình dao động của quả nặng là
A. x = 8cos0,1t (cm)
B. x = 8cos0,1πt (cm)
C. x = 8cos10πt (cm)
D. x = 8cos10t (cm)
Lời giải:
Chọn D.
Câu 8. Một con lắc lò xo gồm quả nặng khối lượng 1kg và một lò xo có độ cứng 1600 N/m. Khi quả nặng ở VTCB, người ta truyền cho nó vận tốc ban đầu bằng 2 m/s theo chiều dương trục toạ độ. Phương trình li độ dao động của quả nặng là
A. x = 5cos (40t - π/2) m
B. x = 0,5cos (40t + π/2) m
C. x = 5cos (40t - π/2) cm
D. x = 0,5cos (40t) cm
Lời giải:
Chọn C. Vật dao động theo phương trình tổng quát x = Acos(ωt + φ)
Tần số góc ω = √(k/m) = 40 rad/s
Từ cách kích thích ban đầu để tạo nên dao động ta có Acosφ = 0 cm và - Asinφ = 200 cm/s, từ đó tính được A = 5 cm, φ = - π/2
Thay vào phương trình tổng quát ta được x = 5cos(40t - π/2) cm
Câu 9. Vật có khối lượng m = 160 g được gắn vào lò xo có độ cứng k = 64 N/m đặt thẳng đứng, vật ở dưới. Từ vị trí cân bằng, ấn vật xuống theo phương thẳng đứng đoạn 2,5 cm và buông nhẹ. Chọn trục Ox hướng lên, gốc tại vị trí cân bằng, gốc thời gian lúc buông vật. Phương trình dao động của vật là :
A. x = 2,5cos(20t + π)(mm)
B. x = 2,5cos(20t + π/2) (cm)
C. x = 2,5cos(20t + π) (cm)
D. x = 5cos(20t + π) (cm)
Lời giải:
Chọn C. Phương trình dao động: x = Acos(ωt + φ); với ω = √(k/m) = 20 rad/s. Từ VTCB x = A và buông nhẹ ⇒ A = 2,5 cm
Câu 10. Một con lắc lò xo có độ cứng k = 100 N/m dao động điều hòa phương trình x = Acos(ωt + φ). Biểu thức thế năng là: Et = 0,1cos(4πt + π/2) + 1J. Phương trình li độ là:
Lời giải:
Chọn C.
Đồng nhất 2 vế 2 phương trình:
C. Bài tập bổ sung
Bài 1: Một con lắc lò xo dao động trên mặt phẳng nằm ngang có quả nặng khối lượng m = 100 g và độ cứng lò xo k = 100 N/m. Lấy gần đúng π2 = 10. Kéo quả nặng ra cách vị trí cân bằng +5 cm rồi thả tay nhẹ. Phương trình dao động của con lắc là
A. x = 5cos(πt) (cm).
B. x = 10cos(10πt) (cm).
C. x = 5cos(πt+π/2) (cm).
D. x = 5cos(10πt) (cm).
Bài 2: Một con lắc lò xo treo thẳng đứng có độ cứng của lò xo k = 40 N/m, khối lượng vật nặng m = 400 g. Đưa vật lên trên vị trí cân bằng 5 cm theo phương thẳng đứng rồi truyền cho nó vận tốc ban đầu 50 cm/s hướng xuống dưới. Chọn trục tọa độ có gốc vị trí tại vị trí cân bằng, chiều dương hướng thẳng đứng lên trên. Chọn gốc thời gian khi bắt đầu dao động điều hòa. Phương trình dao động điều hòa của vật là
A. (cm)
B. (cm)
C. (cm)
D. (cm)
Bài 3: Một đầu của lò xo được treo vào điểm cố định O, đầu còn lại gắn vật nặng có khôii lượng m = 200 g. Kích thích cho vật dao động điêu hòa theo phương thẳng đứng. Khi lực kéo về bằng 0 thì chiều dài của lò xo là 25 cm, khi lực đàn hồi bằng 0 thì chiều dài của lò xo là 20 cm. Lấy g = 10m/s2, tần số góc của dao động bằng
A. 10 rad/s
B. 1042 rad/s
C. 7,07 rad/s
D. 5 rad/s
Bài 4: Một con lắc lò xo treo thẳng đứng gồm vật nặng có khối lượng m = 100g và lò xo khối lượng không đáng kể. Chọn gốc toạ độ ở vị trí cân bằng, chiều dài hướng lên trên. Biết con lắc dao động theo phương trình: x = 4cos(10t - 2π/3) (cm). Lấy g = 10m/s2. Độ lớn lực đàn hồi tác dụng vào vật nặng tại thời điểm vật đã đi được quãng đường S = 3 cm (kể từ t = 0)?
A. 0,9 N
B. 1,2 N
C. 1,6 N
D. 2 N
Bài 5: Một con lắc lò xo dao động điều hoà theo phương thẳng đứng tại nơi có gia tốc trọng trường g = 10m/s2, Gốc tọa độ ở vị trí cân bằng. Khi vật cách vị trí lò xo không biến dạng 1 cm, lực kéo về có độ lớn bằng một nửa trọng lực. Tần số dao động của con lắc là:
A. 38,71 Hz
B. 6,16 Hz
C. 22,36 Hz
D. 3,56 Hz
Bài 6: Một con lắc lò xo treo thẳng đứng có độ cứng của lò xo k = 100 N/m, khối lượng vật nặng m = 1kg. Từ vị trí cân bằng kéo vật nặng xuống dưới 6 cm rồi buông nhẹ cho vật dao động điều hòa. Chọn trục tọa độ có gốc tại vị trí cân bằng, chiều dương hướng thẳng đứng lên trên. Chọn gốc thời gian khi buông tay. Phương trình dao động điều hòa của vật là
A. x = 3cos10t (cm).
B. x = 6cos10t (cm).
C. x = 6cos(10t + π/2) (cm).
D x = 6cos(10t + π) (cm).
Bài 7: Một con lắc lò xo treo thẳng đứng (m = 250 g; k = 100 N/m). Kéo vật xuống dưới theo phương thẳng đứng đến vị trí lò xo dãn 7,5 cm rồi thả nhẹ. Chọn gốc tọa độ ở vị trí cân bằng, trục tọa độ thắng đứng, chiều dương hướng lên, gốc thời gian là lúc thả vật. Lấy g = 10m/s2. Phương trình dao động của vật là
A. x = 7,5cos20t (cm)
B. x = 5cos20t (cm)
C. x = 5cos(20t + π) (cm)
D. x = 7,5cos(20t - π) (cm)
Bài 8: Một lò xo đầu trên cố định, đầu dưới treo một vật khối lượng 100g. Cho vật dao động điều hoà theo phương thẳng đứng. Trong quá trình dao động, chiều dài lò xo biến đổi từ 40 cm đến 44 cm và khi qua vị trí cân bằng vật có tốc độ bằng 20 cm/s. Lấy g = 10m/s2. Viết phương trình dao động. Chọn gốc toạ độ ở vị trí cân bằng, chiều dương hướng xuống dưới, lúc t = 0 lò xo có chiều dài 41 cm và đang đi xuống:
A. (cm)
B. (cm)
C. (cm)
D. (cm)
Bài 9: Một vật dao động điều hoà trên trục Ox với phương trình: x = Acos(ωt + φ). Biết tốc độ trung bình trong một chu kì của vật là 31,8 cm/s, trong thời gian ngắn nhất để động năng của vật lại bằng thế năng là 0,157s. Biên độ dao động của vật là:
A. 10 cm
B. 5 cm
C. 2,5 cm
D. 4 cm
Bài 10: Gắn một vật vào lò xo độ cứng k1 thì vật dao động với chu kì T1 = 3s. Gắn vật đó vào lò xo có độ cứng k2 thì vật dao động với chu kì T2 = 4s. Nếu gắn vật đó vào hệ hai lò xo trên mắc song song, thì vật dao động với chu kì (T) bằng
A. 7 s
B. 2,4 s
C. 5 s
D. 6 s.
(199k) Xem Khóa học Vật Lí 12 KNTTXem Khóa học Vật Lí 12 CDXem Khóa học Vật Lí 12 CTST
Xem thêm các dạng bài tập Vật Lí lớp 12 ôn thi Tốt nghiệp có lời giải hay khác:
Đã có app VietJack trên điện thoại, giải bài tập SGK, SBT Soạn văn, Văn mẫu, Thi online, Bài giảng....miễn phí. Tải ngay ứng dụng trên Android và iOS.
Theo dõi chúng tôi miễn phí trên mạng xã hội facebook và youtube:Nếu thấy hay, hãy động viên và chia sẻ nhé! Các bình luận không phù hợp với nội quy bình luận trang web sẽ bị cấm bình luận vĩnh viễn.
- Giải Tiếng Anh 12 Global Success
- Giải sgk Tiếng Anh 12 Smart World
- Giải sgk Tiếng Anh 12 Friends Global
- Lớp 12 Kết nối tri thức
- Soạn văn 12 (hay nhất) - KNTT
- Soạn văn 12 (ngắn nhất) - KNTT
- Giải sgk Toán 12 - KNTT
- Giải sgk Vật Lí 12 - KNTT
- Giải sgk Hóa học 12 - KNTT
- Giải sgk Sinh học 12 - KNTT
- Giải sgk Lịch Sử 12 - KNTT
- Giải sgk Địa Lí 12 - KNTT
- Giải sgk Giáo dục KTPL 12 - KNTT
- Giải sgk Tin học 12 - KNTT
- Giải sgk Công nghệ 12 - KNTT
- Giải sgk Hoạt động trải nghiệm 12 - KNTT
- Giải sgk Giáo dục quốc phòng 12 - KNTT
- Giải sgk Âm nhạc 12 - KNTT
- Giải sgk Mĩ thuật 12 - KNTT
- Lớp 12 Chân trời sáng tạo
- Soạn văn 12 (hay nhất) - CTST
- Soạn văn 12 (ngắn nhất) - CTST
- Giải sgk Toán 12 - CTST
- Giải sgk Vật Lí 12 - CTST
- Giải sgk Hóa học 12 - CTST
- Giải sgk Sinh học 12 - CTST
- Giải sgk Lịch Sử 12 - CTST
- Giải sgk Địa Lí 12 - CTST
- Giải sgk Giáo dục KTPL 12 - CTST
- Giải sgk Tin học 12 - CTST
- Giải sgk Hoạt động trải nghiệm 12 - CTST
- Giải sgk Âm nhạc 12 - CTST
- Lớp 12 Cánh diều
- Soạn văn 12 Cánh diều (hay nhất)
- Soạn văn 12 Cánh diều (ngắn nhất)
- Giải sgk Toán 12 Cánh diều
- Giải sgk Vật Lí 12 - Cánh diều
- Giải sgk Hóa học 12 - Cánh diều
- Giải sgk Sinh học 12 - Cánh diều
- Giải sgk Lịch Sử 12 - Cánh diều
- Giải sgk Địa Lí 12 - Cánh diều
- Giải sgk Giáo dục KTPL 12 - Cánh diều
- Giải sgk Tin học 12 - Cánh diều
- Giải sgk Công nghệ 12 - Cánh diều
- Giải sgk Hoạt động trải nghiệm 12 - Cánh diều
- Giải sgk Giáo dục quốc phòng 12 - Cánh diều
- Giải sgk Âm nhạc 12 - Cánh diều


Giải bài tập SGK & SBT
Tài liệu giáo viên
Sách
Khóa học
Thi online
Hỏi đáp

