60 Bài tập trắc nghiệm Con lắc lò xo có lời giải (phần 3)
Với 60 Bài tập trắc nghiệm Con lắc lò xo (phần 3) có lời giải chi tiết sẽ giúp học sinh ôn tập, biết cách làm Bài tập trắc nghiệm Con lắc lò xo (phần 3).
60 Bài tập trắc nghiệm Con lắc lò xo có lời giải (phần 3)
(199k) Xem Khóa học Vật Lí 12 KNTTXem Khóa học Vật Lí 12 CDXem Khóa học Vật Lí 12 CTST
Câu 41: Một con lắc lò xo treo thẳng đứng đang dao động tự do. Biết khoảng thời gian mỗi lần diễn ra lò xo bị nén và véc tơ vận tốc, gia tốc cùng chiều bằng 0,05π s. Lấy g = π2 = 10. Vận tốc cực đại bằng
A. 20 cm/s B. √2 m/s C. 10 cm/s D. 10√2 cm/s
Lời giải:
Chọn B. Trong dao động điều hòa khoảng thời gian t diễn ra vec tơ vận tốc và gia tốc cùng chiều ứng với khoảng thời gian vật chuyển động từ biên đến VTCB tức là từ biện âm (– A) đến gốc O hoặc từ biên dương A đến gốc O và t = T/4. Do vậy ta có T/4 = 0,05π ⇒ T = 0,2π ⇒ ω = 10 rad/s. Khoảng thời gian lò xo bị nén bằng t = T/4 nên thời gian vật chuyển động từ li độ x = – Δl đến biên x = – A là t1 = t/2 = T/8, Thời gian vật đi từ gốc tọa độ đến li độ x = – Δl là T/4 – T/8 = T/8 nên Δl = (A√2)/2 với A là biên độ của dao động
Mặt khác Δl = mg/k = g/(ω2) = 0,1 m = 10 cm.
⇒ Biên độ dao động
Vận tốc cực đại của vật treo v = ωA = 100√2 cm/s = 1,414 m/s.
Câu 42: Một con lắc lò xo gồm vật nặng khối lượng m và lò xo có độ cứng k dao động điều hòa theo phương thẳng đứng với tần số góc 5π rad/s ở nơi có gia tốc trọng trường g = 10 m/s2; lấy π2 = 10. Biết gia tốc cực đại của vật nặng amax > g. Trong thời gian một chu kì dao động, thời gian lực đàn hồi của lò xo và lực kéo về tác dụng vào vật cùng hướng là t1, thời gian 2 lực đó ngược hướng là t2. Cho t1 = 5t2. Trong một chu kì dao động, thời gian lò xo bị nén là :
A. 1/15 s B. 2/3 s C. 2/15 s D. 1/30 s
Lời giải:
Chọn C.
Chu kì dao động của con lắc: T = 0,4 s. Xét trong một chu kì dao động: Thời gian lực đàn hồi của lò xo và lực kéo về tác dụng vào vật cùng hướng là tổng thời gia lò xo bị nén tn và thời gian lò xo bị giãn ở dưới VTCB T/2
Câu 43: Một con lắc lò xo có khối lượng quả nặng là m, lò xo có độ cứng k, đang cân bằng trên mặt phẳng nghiêng một góc 37° so với mặt phẳng ngang (sin7° = 0,6). Gọi Δl là độ dãn của lò xo khi vật ở vị trí cân bằng. Tăng góc nghiệng thêm 16°, khi vật ở vị trí cân bằng thì lò xo dài thêm 2cm. Bỏ qua ma sát, lấy g = 10 m/s2. Tần số dao động riêng của con lắc là:
A. 12,5 rad/s B. 10 rad/s C. 15 rad/s D. 5 rad/s
Lời giải:
Chọn B
Mặt phẳng nghiêng: sinα = sin37° = (F/P).0,6 = (k.Δl)/m.g (1)
Tăng góc nghiêng:
Câu 44: Một lò xo nhẹ, dài tự nhiên 20 cm, dãn ra 1 cm dưới tác dụng của lực kéo 0,1 N. Đầu trên của lò xo gắn vào điểm O, đầu dưới treo vật nặng 10 g. Hệ đang đứng yên. Quay lò xo quanh trục thẳng đứng qua O với một tốc độ góc không đổi, thì thấy trục lò xo làm với phương thẳng đứng góc 60°. Lấy g = 10 m/s2. Chiều dài của lò xo và tốc độ quay xấp xỉ bằng
A. 20 cm; 15 vòng/s
B. 22 cm; 15 vòng/s
C. 20 cm; 1,5 vòng/s
D. 22 cm; 1,5 vòng/s
Lời giải:
Chọn D
Vì F là lực ly tâm : F = mω2R = Ptan60°
mω2l.cos60° = Ptan60°
ω = 9,53 rad/s = 1,5 vòng/s.
Câu 45: Một con lắc lò xo dao động điều hòa trên mặt phẳng nằm ngang với chu kỳ T = 2π s, quả cầu nhỏ có khối lượng m1. Khi lò xo có độ dài cực đại và vật m1 có gia tốc là – 2 cm/s2 thì một vật có khối lượng m2 (m1 = 2m2) chuyển động dọc theo trục của lò xo đến va chạm đàn hồi xuyên tâm với vật m1, có hướng làm lò xo nén lại. Biết tốc độ chuyển động của vật m2 ngay trước lúc va chạm là 3 cm/s. Quãng đường mà vật m1 đi được từ lúc va chạm đến khi vật m1 đổi chiều chuyển động là
A. 6 cm B. 6,5 cm C. 2 cm D. 4 cm
Lời giải:
Chọn D.
Tần số góc ω = 1 rad/s.
Tại vị trí va chạm thì li độ bằng biên cũ: x = A = (|amax|)/(ω2) = 2 cm
Trước va chạm vật m1 có vận tốc bằng không. Bảo toàn động lượng cho ta:
m2v = m1v1 – m2v2 (1)
Bảo toàn năng lượng theo phương ngang ta có:
Từ (1) và (2) và m1 = 2m2 ta có v1 = 2 cm.
Biên mới:
Câu 46 Một lò xo nhẹ có độ cứng k, một đầu treo vào một vào một điểm cố định, đầu dưới treo vật nặng 100g. Kéo vật nặng xuống dưới theo phương thẳng đứng rồi thả nhẹ. Vật dao động điều hòa theo phương trình: x = 5cos4πt cm lấy g = 10 m/s2 và π2 = 10. Lực dùng để kéo vật trước khi dao động có độ lớn
A 0,8 N B 1,6 N C 6,4 N D 3,2 N
Lời giải:
Chọn A.
Thay t = 0 vào PT dao động của vật có x = 5 cm ⇒ Tức là người ta đã kéo vật đến vị trí x = 5 cm (Xuống dưới VTCB 5cm) rồi thả nhẹ.
Mặt khác tại VTCB lò xo giãn Δl = mg/k = g/ω2 = 0,0625 m
⇒ Tại vị trí mà người ta giữ vật (x = 5 cm) lò xo giãn Δl = Δlo + x = 0,0625 + 0,05 = 0,1125 m
⇒ Lực mà người ta giữ bằng Fđh của lò xo.
Trọng lực P = kΔl = mω2Δl = 0,8 N (Vì trọng lực góp phần kéo vật xuống)
Câu 47: Hai con lắc lò xo giống nhau có khối lượng vật nặng 10g, độ cứng lò xo là 100π2 N/m dao động điều hòa dọc theo hai đường thẳng song song kề liền nhau (vị trí cân bằng hai vật đều ở gốc tọa độ). Biên độ của con lắc dao động thứ nhất lớn gấp đôi con lắc thứ hai. Biết rằng hai vật gặp nhau khi chúng chuyển động ngược chiều nhau, Khoảng thời gian giữa ba lần hai vật nặng gặp nhau liên tiếp là:
A. 0,03 s B. 0,02 s C. 0,04 s D. 0,01 s
Lời giải:
Chọn B. Chu kỳ của mỗi con lắc là
Nhận xét: Giả sử 2 vật lúc đầu gặp nhau tại li độ x0 tức là x1 = x2 = x0, sao đó nửa chu kỳ thì x1 = – x0 và x2 = – x0 ⇒ x1 = x2 = – x0 chúng lại gặp nhau ở vị trí đối xứng qua gốc O ⇒ Cứ sau mỗi T/2 chúng lại gặp nhau.
Khoảng thời gian giữa 3 lần liên tiếp gặp nhau = 2 khoảng thời gian trên = 2.(T/2) = 0,02 s.
Câu 48: Hai con lắc lò xo nằm ngang có chu kì T1 = T2/2. Kéo lệch các vật nặng tới vị trí cách các vị trí cân bằng của chúng một đoạn A như nhau và đồng thời thả cho chuyển động không vận tốc đầu. Khi khoảng cách từ vật nặng của con lắc đến vị trí cân bằng của chúng đều là b (0 < b < A) thì tỉ số độ lớn vận tốc của các vật nặng là:
Lời giải:
Chọn D. Biên độ của cả 2 con lắc là A1 = A2 = A vì cùng kéo lệch các vật nặng tới vị trí cách các vị trí cân bằng của chúng một đoạn A như nhau và đồng thời thả nhẹ.
Khoảng cách đến vị trí cân bằng là |x|. Khi khoảng cách từ vật nặng của con lắc đến vị trí cân bằng của chúng đều là b (0 < b < A) tức là |x1| = |x2| = b
Từ công thức độc lập thời gian có
Câu 50: Một con lắc lò xo nằm ngang gồm vật nặng tích điện q = 20 μC và lò xo có độ cứng k = 10 N/m. Khi vật đang nằm cân bằng, cách điện, trên mặt bàn nhẵn thì xuất hiện tức thời một điện trường đều trong không gian bao quanh có hướng dọc theo trục lò xo. Sau đó con lắc dao động trên một đoạn thẳng dài 4 cm. Độ lớn cường độ điện trường E là:
A. 2.104 V/m. B. 2,5.104 V/m. C. 1,5.104 V/m. D. 104 V/m.
Lời giải:
Chọn D. Cách giải 1: Vì chiều dài đoạn thẳng dao động là 4 cm suy ra biên độ A = 2 cm. Khi vật m dao động hợp của lực điện trường và lực đàn hồi gây gia tốc a cho vật. Tại vị trí biên, vật có gia tốc lớn nhất. Khi đó ta có:
Cách giải 2: Ta tưởng tượng đây là con lắc treo thẳng đứng với lực điện đóng vai trò như trọng lực. Ban đầu đưa vật lên vị trí lò xo không biến dạng rồi buông nhẹ, như vậy Δl = A = 2 cm. Tại vị trí cân bằng ta có: Fđh = Fđ ⇔ kΔl = qE.
Câu 51: Một vật nặng có khối lượng m, điện tích q = +5.10-5 được gắn vào lò xo có độ cứng k = 10 N/m tạo thành con lắc lò xo nằm ngang. Điện tích trên vật nặng không thay đổi khi con lắc dao động và bỏ qua mọi ma sát. Kích thích cho con lắc dao động điều hòa với biên độ 5 cm. Tại thời điểm vật nặng đi qua vị trí cân bằng và có vận tốc hướng ra xa điểm treo lò xo, người ta bật một điện trường đều có cường độ E = 104 V/m, cùng hướng với vận tốc của vật. Khi đó biên độ dao động mới của con lắc lò xo là:
A. 10 cm. B. 7,07 cm. C. 5 cm. D. 8,66 cm.
Lời giải:
Chọn B. Động năng của vật khi đi qua vị trí cân bằng (khi chưa có điện trường):
Vị trí cân bằng mới (khi có thêm điện trường) lò xo biến dạng một đoạn: Δl = qE/k = 0,05 m = 5 cm
Ở thời điểm bắt đầu có điện trường có thể xem đưa vật đến vị trí lò xo có độ biến dạng Δl và truyền cho vật vận tốc v0. Vậy năng lượng mới của hệ là:
Câu 52: Một con lắc lò xo dao động điều hoà theo phương thẳng đứng tại nơi có gia tốc trọng trường g. Đưa con lắc này lên thang máy đang chuyển động nhanh dần đều hướng lên với gia tốc a = g/10. So với thang máy khi đứng yên, độ dãn của lò xo ở vị trí cân bằng sẽ:
A. tăng 10%. B. giảm 20%. C. tăng 1%. D. không thay đổi.
Lời giải:
Chọn B. Độ dãn của con lắc lò xo tại nơi có gia tốc trọng trường g: Δl = mg/k (1)
Độ dãn của con lắc này lên thang máy đang chuyển động nhanh dần đều hướng lên với gia tốc
Vậy so với thang máy khi đứng yên, độ dãn của lò xo ở vị trí cân bằng sẽ tăng 1%
Câu 53: Một con lắc lò xo nằm ngang gồm vật m = 100 g nối với lò xo có độ cứng k = 100 N/m, đầu kia lò xo gắn vào điểm cố định. Từ vị trí cân bằng đẩy vật sao cho lò xo nén 2 cm rồi buông nhẹ. Khi vật đi qua vị trí cân bằng lần đầu tiên thì tác dụng lên vật lực F→ không đổi cùng chiều vận tốc có độ lớn F = 2N. Khi đó vật dao động điều hòa với biên độ A1. Sau thời gian 1/30 s kể từ khi tác dụng lực F→, ngừng tác dụng lực F→ . Khi đó vật dao động điều hòa với biên độ A2. Biết trong quá trình sau đó lò xo luôn nằm trong giới hạn đàn hồi. Bỏ qua ma sát giữa vật và sàn. Tỉ số A2/A1 bằng
A. √7/2 B. 2 C. √14 D. 2√7
Lời giải:
Chọn D.
Sau khi buông vật, vật qua VTCB với vận tốc :
V0 = ωA = 10π.2√3 = 20π√3 cm/s
Tác dụng lên vật lực F→, VTCB mới của vật là O’ (là nơi F và Fđh cân bằng):
kx0 = F ⇒ x0 = 0,02m = 2cm = OO’
Với trục toa độ Ox’, gốc tọa độ O’, vật ở VT O có:
Câu 54: Một con lắc lò xo gồm lò xo có độ cứng k = 2 N/m, vật nhỏ khối lượng m = 80 g, dao động trên mặt phẳng nằm ngang, hệ số ma sát trượt giữa vật và mặt phẳng ngang là μ = 0,1. Ban đầu kéo vật ra khỏi vị trí cân bằng một đoạn 10 cm rồi thả nhẹ. Cho gia tốc trọng trường g = 10 m/s2. Tốc độ lớn nhất mà vật đạt được bằng:
A. 0,36 m/s B. 0,25 m/s C. 0,50 m/s D. 0,30 m/s
Lời giải:
Chọn D
Vật có tốc độ cực đại khi gia tốc bằng 0; tức là lúc lần đầu tiên tại N: ON = x ⇒ kx = μmg ⇒ x = μmg/k = 0,04 m = 4 cm
Khi đó vật đã đi được quãng đường
S = MN = 10 – 4 = 6 cm = 0,06 m
Theo ĐL bảo toàn năng lượng ta có:
(Công của lực ma sát Fms = μmgS)
= 0,0036
⇒ (vmax)2 ⇒ vmax = 0,3 m/s = 30 cm/s
Câu 55: Một con lắc lò xo gồm một vật nhỏ khối lượng 0,02 kg và lò xo có độ cứng 1 N/m. Vật nhỏ được đặt trên giá đỡ cố định nằm ngang dọc theo trục lò xo. Hệ số ma sát trượt của giá đỡ và vật nhỏ là 0,1. Ban đầu giữ vật ở vị trí lò xo bị nén 10 cm rồi buông nhẹ để con lắc dao động tắt dần. Lấy g = 10 m/s2. Tốc độ lớn nhất vật nhỏ đạt được trong quá trình dao động là
A. 40√3 cm/s
B. 20√6 cm/s
C. 10√30 cm/s
D. 40√2 cm/s
Lời giải:
Chọn D. Vì cơ năng của con lắc giảm dần nên vận tốc của vật sẽ có giá trị lớn nhất tại vị trí nằm trong đoạn đường từ lúc thả vật đến lúc vật qua VTCB lần thứ nhất (0 ≤ x ≤ A):
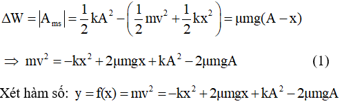
Tính từ lúc thả vật (cơ năng (1/2)kA2) đến vị trí bất kỳ có li độ x (0 ≤ x ≤ A) và có vận tốc v (cơ năng (1/2)mv2 + (1/2)kx2 ) thì quãng đường đi được là (A – x)
Độ giảm cơ năng của con lắc:
Dễ thấy rằng đồ thị hàm số y = f(x) có dạng là parabol, bề lõm quay xuống dưới (a = – k < 0), như vậy y = mv2 có giá trị cực đại tại vị trí x = -b/2a = μmg/k = 0,02 m
Thay x = 0,02 m vào (1) ta tính được vmax = 40√2 cm/s
Câu 56: Cho hai vật nhỏ A và B có khối lượng lần lượt là m1 = 900 g, m2 = 4 kg đặt trên mặt phẳng nằm ngang. Hệ số ma sát trượt giữa A, B và mặt phẳng ngang đều là μ = 0,1; coi hệ số ma sát nghỉ cực đại bằng hệ số ma sát trượt. Hai vật được nối với nhau bằng một lò xo nhẹ có độ cứng k = 15 N/m; B tựa vào tường thẳng đứng. Ban đầu hai vật nằm yên và lò xo không biến dạng. Vật nhỏ C có khối lượng m = 100 g bay dọc theo trục của lò xo với vận tốc v→ đến va chạm hoàn toàn mềm với A (sau va chạm C dính liền với A). Bỏ qua thời gian va chạm. Lấy g = 10 m/s2. Giá trị nhỏ nhất của v để B có thể dịch chuyển sang trái là
A. 1,8 m/s B. 18 m/s C. 9 m/s D. 18 cm/s
Lời giải:
Chọn B. Để B có thể dịch sang trái thì lò xo phải giãn một đoạn ít nhất là xo sao cho:
Fđh = Fms ⇒ kxo = μm2g ⇒ 150xo = 40 ⇒ xo = 4/15 m
Như thế, vận tốc vo mà hệ (m1 + m) có khi bắt đầu chuyển động phải làm cho lò xo có độ co tối đa x sao cho khi nó dãn ra thì độ dãn tối thiểu phải là xo.
Suy ra:
Theo định luật bảo toàn năng lượng ta có:
Từ đó tính được: vo min ≈ 1,8 m/s ⇒ vmin ≈ 18 m/s
Câu 57: Con lắc lò xo gồm vật nặng M = 300 g, lò xo có độ cứng k = 200 N/m lồng vào một trục thẳng đứng như hình bên. Khi M đang ở vị trí cân bằng, thả vật m = 200 g từ độ cao h = 3,75 cm so với M. Lấy g = 10 m/s2. Bỏ qua ma sát. Va chạm là mềm. Sau va chạm cả hai vật cùng dao động điều hòa. Chọn trục tọa độ thẳng đứng hướng lên, gốc tọa độ là vị trí cân bằng của M trước khi va chạm, gốc thời gian là lúc va chạm. Phương trình dao động của hai vật là :
Lời giải:
Chọn A.
Chọn mốc thế năng tại O (Vị trí cân bằng của M trước va chạm)
Áp dụng định luật bảo toàn cơ năng cho m ta có :
mgh = 1/2(mv2) ⇒ v = √(2gh) ≈ 0,866 m/s
Khi có thêm vật m vị trí cân bằng mới O’ cách O một đoạn: Δl = mg/k = 1cm
Như vậy hệ (m + M ) sẽ dao động điều hòa quanh vị trí cân bằng O’ cách O một đoạn 1 cm. Phương trình dao động của hệ (m + M) khi gốc tọa độ tại O có dạng là: x = Acos(ωt + φ)-1 cm
Giải hệ phương trình trên ta được: A = 2cm ; φ = π/3
Phương trình dao động là : x = 2cos(2πt + π/3) - 1 (cm)
Câu 58: Cho cơ hệ như hình bên. Biết M = 1,8 kg, lò xo nhẹ độ cứng k = 100 N/m. Một vật khối lượng m = 200g chuyển động với tốc độ v0 = 5 m/s đến va vào M (ban đầu đứng yên) theo trục của lò xo. Hệ số ma sát trượt giữa M và mặt phẳng ngang là μ = 0,2. Coi va chạm hoàn toàn đàn hồi xuyên tâm. Tốc độ cực đại của M sau khi lò xo bị nén cực đại là:
A. 1 m/s B. 0,8862 m/s C. 0,4994 m/s D. 0,4212 m/s
Lời giải:
Chọn C. Chọn gốc tọa độ là vị trí lò xo bị nén cực đại, chiều dương sang phải
ĐL bảo toàn động lượng:
mv0→ = mv1→ + Mv2→ ⇒ mvo = mv1 + Mv2 (1)
Động năng bảo toàn
Từ (1), (2) có:
Định luật bảo toàn năng lượng:
Tốc độ của M đạt cực đại tại vị trí có: Fđh = Fms ⇒ μMg = kx ⇒ x = μMg/k = 0,036 m
Định luật bảo toàn năng lượng:
Câu 59: Một con lắc lò xo đặt nằm ngang gồm vật M có khối lượng 500 g dao động điều hòa với biên độ 8 cm. Khi M qua vị trí cân bằng người ta thả nhẹ vật m có khối lượng 300 g lên M (m dính chặt ngay vào M), sau đó hệ m và M dao động với biên độ
A. 2√5 cm. B. 2√6 cm. C. 3√6 cm. D. 2√10 cm.
Lời giải:
Chọn D.
Do khi M qua vị trí cân bằng thì thả vật m dính lên nên để tìm biên độ của hệ M và m thì ta tìm vận tốc ngay sau khi thả của hệ. Từ đó ta tìm được biên độ của hệ. Cụ thể:
Áp dụng định luật bảo toàn động lượng (va chạm mềm), ta có:
Câu 60: Cho cơ hệ như hình vẽ. Lò xo có độ cứng k = 100 N/m, m1 = 100 g, m2 = 150 g. Bỏ qua ma sát giữa m1 và mặt sàn nằm ngang, ma sát giữa m1 và m2 là μ12 = 0,8. Biên độ dao động của vật m1 bằng bao nhiêu để hai vật không trượt lên nhau:
A. A ≤ 0,8 cm. B. A ≤ 2 cm C. A ≤ 7,5 cm D. A ≤ 5cm
Lời giải:
Chọn C
Để không trượt: Lực quán tính cực đại nhỏ hơn lực ma sát:
(199k) Xem Khóa học Vật Lí 12 KNTTXem Khóa học Vật Lí 12 CDXem Khóa học Vật Lí 12 CTST
Xem thêm các dạng bài tập Vật Lí lớp 12 ôn thi Tốt nghiệp có lời giải hay khác:
Đã có app VietJack trên điện thoại, giải bài tập SGK, SBT Soạn văn, Văn mẫu, Thi online, Bài giảng....miễn phí. Tải ngay ứng dụng trên Android và iOS.
Theo dõi chúng tôi miễn phí trên mạng xã hội facebook và youtube:Nếu thấy hay, hãy động viên và chia sẻ nhé! Các bình luận không phù hợp với nội quy bình luận trang web sẽ bị cấm bình luận vĩnh viễn.
- Giải Tiếng Anh 12 Global Success
- Giải sgk Tiếng Anh 12 Smart World
- Giải sgk Tiếng Anh 12 Friends Global
- Lớp 12 Kết nối tri thức
- Soạn văn 12 (hay nhất) - KNTT
- Soạn văn 12 (ngắn nhất) - KNTT
- Giải sgk Toán 12 - KNTT
- Giải sgk Vật Lí 12 - KNTT
- Giải sgk Hóa học 12 - KNTT
- Giải sgk Sinh học 12 - KNTT
- Giải sgk Lịch Sử 12 - KNTT
- Giải sgk Địa Lí 12 - KNTT
- Giải sgk Giáo dục KTPL 12 - KNTT
- Giải sgk Tin học 12 - KNTT
- Giải sgk Công nghệ 12 - KNTT
- Giải sgk Hoạt động trải nghiệm 12 - KNTT
- Giải sgk Giáo dục quốc phòng 12 - KNTT
- Giải sgk Âm nhạc 12 - KNTT
- Giải sgk Mĩ thuật 12 - KNTT
- Lớp 12 Chân trời sáng tạo
- Soạn văn 12 (hay nhất) - CTST
- Soạn văn 12 (ngắn nhất) - CTST
- Giải sgk Toán 12 - CTST
- Giải sgk Vật Lí 12 - CTST
- Giải sgk Hóa học 12 - CTST
- Giải sgk Sinh học 12 - CTST
- Giải sgk Lịch Sử 12 - CTST
- Giải sgk Địa Lí 12 - CTST
- Giải sgk Giáo dục KTPL 12 - CTST
- Giải sgk Tin học 12 - CTST
- Giải sgk Hoạt động trải nghiệm 12 - CTST
- Giải sgk Âm nhạc 12 - CTST
- Lớp 12 Cánh diều
- Soạn văn 12 Cánh diều (hay nhất)
- Soạn văn 12 Cánh diều (ngắn nhất)
- Giải sgk Toán 12 Cánh diều
- Giải sgk Vật Lí 12 - Cánh diều
- Giải sgk Hóa học 12 - Cánh diều
- Giải sgk Sinh học 12 - Cánh diều
- Giải sgk Lịch Sử 12 - Cánh diều
- Giải sgk Địa Lí 12 - Cánh diều
- Giải sgk Giáo dục KTPL 12 - Cánh diều
- Giải sgk Tin học 12 - Cánh diều
- Giải sgk Công nghệ 12 - Cánh diều
- Giải sgk Hoạt động trải nghiệm 12 - Cánh diều
- Giải sgk Giáo dục quốc phòng 12 - Cánh diều
- Giải sgk Âm nhạc 12 - Cánh diều


Giải bài tập SGK & SBT
Tài liệu giáo viên
Sách
Khóa học
Thi online
Hỏi đáp

