Phương pháp giải bài tập về mạch chọn sóng cực hay có lời giải
Bài viết Phương pháp giải bài tập về mạch chọn sóng cực với phương pháp giải chi tiết giúp học sinh ôn tập, biết cách làm bài tập Phương pháp giải bài tập về mạch chọn sóng cực.
Phương pháp giải bài tập về mạch chọn sóng cực hay có lời giải
(199k) Xem Khóa học Vật Lí 12 KNTTXem Khóa học Vật Lí 12 CDXem Khóa học Vật Lí 12 CTST
A. Phương pháp giải
1. Bước sóng điện từ mạch thu được
+ Bước sóng điện từ: trong chân không: ; trong môi trường:
+ Máy phát hoặc máy thu sóng điện từ sử dụng mạch dao động LC thì tần số sóng điện từ phát ra hoặc thu được bằng tần số riêng của mạch.
Mạch chọn sóng vô tuyến của máy thu có:
+ Từ công thức tính bước sóng ta thấy, bước sóng biến thiên theo L và C. L hay C càng lớn thì bước sóng càng lớn.
+ Mạch dao động có L biến đổi từ Lmin đến Lmax và C biến đổi từ Cmin đến Cmax¬ thì bước sóng của sóng điện từ phát (hoặc thu):
- λmin tương ứng với Lmin và Cmin
- λmax tương ứng với Lmax và Cmax
Nếu mạch chọn sóng có cả L và C biến đổi thì bước sóng mà máy thu vô tuyến thu được thay đổi trong giới hạn từ đến
.
Lưu ý:
* Khi ghép 2 tụ nối tiếp hoặc 2 cuộn cảm song song:
* Khi ghép 2 tụ song song hoặc 2 cuộn cảm nối tiếp:
* Điện dung của tụ điện phẳng: (ε là hằng số điện môi, d là khoảng cách giữa hai bản tụ và S là diện tích của mỗi bản tụ).
+ Khi chất điện môi trong tụ là không khí thì ε = 1 nên và bước sóng thu được là:
.
+ Nếu nhúng các bản tụ ngập vào trong điện môi có hằng số điện môi ε và các yếu tố khác không đổi thì điện dung . Suy ra bước sóng:
+ Nếu nhúng các bản tụ ngập sâu x% trong điện môi lỏng có hằng số điện môi ε và các yếu tố khác không đổi thì bộ tụ coi như gồm hai tụ C1, C2 ghép song song:
Bước sóng mạch thu được khi đó là:
+ Nếu ghép sát vào một bản tụ một tấm điện môi có hằng số điện môi ε và bề dày d’ = x%.d và các yếu tố khác không đổi thì bộ tụ coi như gồm hai tụ C1, C2 ghép nối tiếp.
Bước sóng mạch thu được khi đó là:
* Nếu tụ xoay có cấu tạo gồm N tấm kim loại đặt song song cách đều nhau những khoảng d thì ta được bộ tụ gồm (N – 1) tụ giống nhau ghép song song, mỗi tụ có điện dung
Do vậy, bộ tụ có điện dung tương đương là: Cb = (N – 1).C0.
* Nếu tụ xoay có cấu tạo gồm N tấm kim loại đặt song song cách đều nhau những khoảng d và hai tấm ngoài cùng được nối với mạch thì ta được bộ tụ gồm (N – 1) tụ giống nhau ghép nối tiếp, mỗi tụ có điện dung
Do vậy, bộ tụ có điện dung tương đương là:
Ví dụ 1: Mạch chọn sóng của một máy thu gồm một tụ điện và cuộn cảm. Khi thu được sóng điện từ có bước sóng λ, người ta nhận thấy khoảng thời gian giữa hai lần liên tiếp điện áp trên tụ có giá trị bằng giá trị điện áp hiệu dụng là 5 ns. Biết tốc độ truyền sóng điện từ là 3.108 m/s. Bước sóng λ là:
A. 5 m.
B. 6 m.
C. 3 m.
D. 1,5 m.
Hướng dẫn
Chọn B..
Hai lần liên tiếp điện áp trên tụ có giá trị bằng giá trị điện áp hiệu dụng chính là hai lần liên tiếp WL = WC nên:
Ví dụ 2: Một đài bán dẫn có thể thu được cả dải sóng AM và dải sóng FM bằng cách thay đổi cuộn cảm L của mạch thu sóng nhưng vẫn dùng chung một tụ xoay. Khi thu sóng AM, đài thu được dải sóng từ 100 m đến 600 m. Khi thu sóng FM, đài thu được bước sóng ngắn nhất là 2,5 m. Bước sóng dài nhất trong dải sóng FM mà đài thu được là
A. 5 m.
B. 7,5 m.
C. 15 m.
D. 12 m.
Hướng dẫn
Chọn C..
Bước sóng AM:
Bước sóng FM:
Ví dụ 3 (THPTQG 2017): Mạch dao động ở lối vào của một máy thu thanh gồm cuộn cảm thuần có độ tự cảm 5 μH và tụ điện có điện dung thay đổi được. Biết rằng, muốn thu được sóng điện từ thì tần số riêng của mạch dao động phải bằng tần số của sóng điện từ cần thu (để có cộng hưởng). Trong không khí, tốc độ truyền sóng điện từ là 3.108 m/s, để thu được sóng điện từ có bước sóng từ 40 m đến 1000 m thì phải điều chỉnh điện dung của tụ điện có giá trị
A. từ 9 pF đến 5,63nF.
B. từ 90 pF đến 5,63 nF.
C. từ 9 pF đến 56,3 nF.
D. từ 90 pF đến 56,3 nF.
Hướng dẫn
Chọn D..
Ta có:
Ví dụ 4: Trong mạch chọn sóng, khi mắc tụ điện có điện dung C1 với cuộn cảm L thì mạch thu được bước sóng, λ1 = 90m. Khi mắc tụ có điện dung C2 với cuộn cảm L thì mạch thu được bước sóng λ2 = 120m. Khi mắc C1 nối tiếp C2 rồi mắc vào cuộn cảm L thì mạch thu được bước sóng là
A. 100 m
B. 150 m
C. 210 m
D. 72 m
Hướng dẫn
Chọn D..
Áp dụng công thức bước sóng khi ghép 2 tụ điện nối tiếp:
Ví dụ 5: Mạch chọn sóng của một máy thu vô tuyến điện gồm bộ tụ điện và cuộn cảm thuần L. Khi L = L1; C = C1 thì mạch thu được bước sóng λ. Khi L = 3L1; C = C2 thì mạch thu được bước sóng là 2λ. Khi điều chỉnh cho L = 2L1; C = C1 + 2C2 thì mạch thu được bước sóng là
Hướng dẫn
Chọn A..
Khi L = L1; C = C1 thì
Khi L = 3L1; C = C2 thì
Vì
Khi điều chỉnh cho L = 2L1; C = C1 + 2C2 = 11C1/3 thì mạch thu được bước sóng là:
Ví dụ 6: Mạch dao động LC trong máy thu vô tuyến có điện dung Co = 8.10-8 F và độ tự cảm L = 2.10-6 H, thu được sóng điện từ có bước sóng 240π m. Để thu được sóng điện từ có bước sóng 18π m người ta phải mắc thêm vào mạch một tụ điện có điện dung C bằng bao nhiêu và mắc như thế nào?
A. Mắc nối tiếp và C = 4,53.10-10 F.
B. Mắc song song và C = 4,53.10-10 F.
C. Mắc song song và C = 4,53.10-8 F.
D. Mắc nối tiếp và C = 4,53.10-8 F.
Hướng dẫn
Chọn A..
Suy ra ta phải mắc nối tiếp với tụ điện của mạch dao động trên một tụ điện có điện dung C’ sao cho
Ví dụ 7: Mạch chọn sóng của một máy thu vô tuyến gồm một cuộn dây có độ tự cảm L và một bộ tụ điện gồm một tụ điện cố định Co mắc song song với một tụ
C. Tụ C có điện dung thay đổi từ 10 nF đến 170 nF. Nhờ vậy mạch có thể thu được các sóng có bước sóng từ λ đến 3λ. Xác định giá trị của Co?
A. Co = 45 nF.
B. Co = 25 nF.
C. Co = 30 nF.
D. Co = 10 nF.
Hướng dẫn
Chọn D..
Ví dụ 8: Mạch dao động LC có tụ phẳng không khí hình tròn bán kính 48 cm cách nhau 4 cm phát ra sóng điện từ có bước sóng 100 m. Nếu đưa vào giữa hai bản tụ một tấm điện môi phẳng song song và cùng kích thước với hai bản có hằng số điện môi ε = 7, bề dày 2 cm ghép sát vào một bản thì phát ra sóng có bước sóng là:
A. 100 m.
D. 175 m.
Hướng dẫn
Chọn C..
Nếu ghép sát vào một bản tụ một tấm điện môi có hằng số điện môi ε có bề dày bằng x lần bề dày của lớp không khí (x < 1) và các yếu tố khác không đổi thì bộ tụ C gồm hai tụ C1, C¬2 ghép nối tiếp:
Bước sóng mạch thu được là:
Ví dụ 9: Mạch thu sóng có lối vào là mạch dao động LC, tụ điện C là tụ phẳng không khí thì khi đó bước sóng mà mạch thu được là 60 m. Nếu nhúng một nửa diện tích các bản tụ vào trong điện môi có hằng số điện môi ε = 2 thì bước sóng mà mạch thu được khi đó bằng
A. 89,6 m
B. 54,3 m
C. 98,4 m
D. 73,5 m
Hướng dẫn
Chọn D..
Nếu nhúng 1/2 diện tích các bản tụ vào trong điện môi có hằng số điện môi ε = 2 thì ta được 1 bộ tụ mới gồm 2 tụ điện mắc song song với:
Ví dụ 10: Mạch chọn sóng của một máy thu vô tuyến điện gồm tụ xoay không khí và cuộn cảm thuần L = 4,5 mH. Tụ xoay không khí gồm 16 tấm kim loại phẳng giống nhau đặt song song cách đều nhau 1 mm, các tấm cách điện với nhau, diện tích đối diện giữa hai tấm là 3,14 (cm2 ). Mạch dao động này thu được sóng điện từ có bước sóng là
A. 51 m
B. 54,4 m
C. 842 m
D. 816 m
Hướng dẫn
Chọn D..
Tụ xoay gồm 15 tụ điện giống nhau ghép song song.
Suy ra điện dung tương đương của tu xoay:
2. Điều chỉnh mạch chọn sóng bằng tụ xoay có điện dung là hàm bậc nhất của góc xoay.
* Điện dung của tụ xoay: C = a.α + b(F) trong đó α là góc xoay, a và b là các hệ số đặc trưng cho mỗi tụ.
+ Phạm vi thay đổi của tụ:
+ Do vậy ta xác định a, b từ hệ phương trình sau:
+ Ta thấy C = a.α + b → ∆C = a.∆α
* Bước sóng mạch thu được: nên ta có thể thay C bởi λ2 vào hệ thức (*), ta được:
Ví dụ 11: Mạch chọn sóng của máy thu vô tuyến gồm cuộn cảm thuần L = 0,5 μH và tụ điện là một tụ xoay có C thay đổi được theo quy luật hàm số bậc nhất của góc xoay α của bản linh động. Khi lần lượt cho α = 0o và α = 125o thì mạch thu được có bước sóng điện từ tương ứng 15 m và 90 m. Viết biểu thức sự phụ thuộc của điện dung C theo góc xoay α.
A. C = 40α + 135 (pF)
B. C = 35α + 125 (pF)
C. C = 55α + 135 (pF)
D. C = 40α + 125 (pF)
Hướng dẫn
Chọn B..
Ta có:
Điện dung C có dạng: C = a.α + b (pF) .
Ta có hệ phương trình sau:
Vậy C = 35α + 125 (pF)
Ví dụ 12: Mạch chọn sóng của máy thu vô tuyến gồm cuộn cảm thuần L và tụ điện là một tụ xoay có C thay đổi được theo quy luật hàm số bậc nhất của góc xoay α của bản linh động. Khi lần lượt cho α = 0o và α = 120o thì mạch thu được có bước sóng điện từ tương ứng 15,0 m và 25,0 m. Khi α = 50o thì mạch thu được sóng điện từ có bước sóng là:
A. 19,8 m
B. 20,5 m
C. 19,5m
D. 19,2m
Hướng dẫn
Chọn A..
Áp dụng hệ quả cho bài toán có tụ xoay C thay đổi theo quy luật hàm số bậc nhất của góc xoay α:
Thay số: λ1 = 15m, α1 = 0o; λ2 = 25m, α2 = 120o, α3 = 50o ta được:
3. Mạch thu sóng có ghép thêm tụ xoay.
* Mạch chọn sóng có L và C0 thu được bước sóng:
Khi ghép C0 với tụ xoay Cx thu được bước sóng:
+ Nếu λ < λ0 thì Cb < C0. Do đó tụ C0 ghép nối tiếp với Cx.
Khi đó:
+ Nếu λ > λ0 thì Cb > C0. Do đó tụ C0 ghép song song với Cx.
Khi đó: Cb = Cx + C0 → Cx = Cb – C0.
* Mạch chọn sóng có L và bộ tụ gồm C0 ghép với tụ xoay Cx thu được dải bước sóng từ λ1 đến λ2.
Ta có:
+ Nếu Cb1, Cb2 > C0 thì tụ C0 ghép song song với tụ xoay
+ Nếu Cb1, Cb2 < C0 thì bộ tụ ghép nối tiếp
Như vậy tụ xoay đã biết Cx1 và Cx2, ta có thể xác định góc xoay α tương tự như trong phần 2 ở trên.
Ví dụ 13: Mạch dao động để chọn sóng của một máy thu thanh gồm một cuộn dây có độ tự cảm L = 10 µH và tụ điện có điện dung C0 = 1000 pF.
a) Để thu được dải sóng từ 20 m đến 50 m, người ta phải ghép thêm một tụ xoay Cx với tụ C0 nói trên. Hỏi phải ghép như thế nào và giá trị của Cx thuộc khoảng nào?
b) Để thu được sóng 25 m, Cx phải có giá trị bao nhiêu? Các bản tụ di động phải xoay một góc bằng bao nhiêu kể từ vị trí điện dung cực đại để thu được bước sóng trên, biết các bản tụ di động có thể xoay từ 0o đến 180o?
Hướng dẫn
a)
Bước sóng mạch thu được lúc đầu:
Dải bước sóng cần thu có bước sóng nhỏ hơn bước sóng λ0 nên điện dung của bộ tụ phải nhỏ hơn C0 (Cb < C0). Do đó phải ghép Cx nối tiếp với C0
Ta có:
b) Để thu được sóng λ = 25 (m)
Theo giả thiết, Cx là hàm bậc nhất của góc xoay: Cx = a.α + b nên ∆Cx = a.∆α.
Suy ra:
Do góc xoay của bản tụ di động xoay từ giá trị cực đại của điện dung (ứng với góc 180o) nên góc xoay khi điện dung của tụ xoay có giá trị 17,92 pF là 180o – 1,58o = 178,42o.
4. Mạch thu sóng có điện trở.
Khi mạch thu được sóng điện từ có bước sóng λ thì trong mạch có hiện tượng cộng hưởng với sóng này.
Tần số góc dao động của mạch là:
Khi bắt được sóng điện từ, trong khung có suất điện động với giá trị hiệu dụng là E, dòng điện hiệu dụng cực đại trong khung là:
Công suất mạch nhận được khi đó là: P = U.Imax = E.Imax = E2/R.
Lưu ý:
Trong trường hợp mạch có chứa tụ xoay, sau khi thu được sóng điện từ có tần số ω, bước sóng λ, nếu ta xoay nhanh tụ để điện dung thay đổi một lượng rất nhỏ thì tổng trở của mạch tăng lên rất lớn:
Lại có rất nhỏ nên
+ Như vậy nếu suất điện động hiệu dụng không đổi nhưng dòng hiệu dụng giảm n lần thì tổng trở Z tăng n lần. Suy ra
+ Lúc này mạch cộng hưởng với sóng điện từ có thể thu được bước sóng:
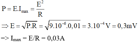
Ví dụ 14: Mạch chọn sóng vô tuyến của một máy thu vô tuyến một cuộn cảm có độ tự cảm 4μH có điện trở 0,01Ω và một tụ xoay. Sau khi bắt được sóng điện từ có bước sóng 25m thì mạch nhận được công suất 9μW. Tính suất điện động hiệu dụng trong cuộn cảm và cường độ hiệu dụng trong mạch.
A. 0,1mV và 0,02A.
B. 0,3mV và 0,03A.
C. 0,1mV và 0,05A.
D. 0,3mV và 0,02A.
Hướng dẫn
Chọn B..
Ta có:
Ví dụ 15: Mạch chọn sóng của một máy thu vô tuyến gồm một cuộn dây có độ tự cảm 2 μH và một tụ xoay. Điện trở thuần của mạch là R = 1mΩ. Sau khi bắt được sóng điện từ có bước sóng 19,2m thì xoay nhanh tụ tăng điện dung để suất điện động không đổi nhưng cường độ dòng hiệu dụng thì giảm xuống 1500 lần. Xác định bước sóng mà mạch có thể bắt được lúc này.
A. 18,4 m
B. 19,13 m
C. 16,8m
D. 19,28m
Hướng dẫn
Chọn D..
Ta có:
Sau khi bắt được sóng điện từ có bước sóng 19,2m thì xoay nhanh tụ tăng điện dung để suất điện động không đổi nhưng dòng thì giảm xuống n = 1500 lần. Do vậy ta có:
Vì điện dung tăng nên bước sóng mà mạch có thể bắt được lúc này:
B. Ví dụ minh họa
C. Bài tập vận dụng
Câu 1: Mạch chọn sóng của máy thu vô tuyến gồm cuộn cảm có L và bộ tụ điện gồm tụ điện cố định C0 mắc song song với một tụ xoay Cx. Tụ xoay có điện dung thay đổi từ 10pF đến 250pF. Nhờ vậy mạch có thể thu được các bước sóng từ 10m đến 30m. Biết tốc độ sóng điện từ 3.108 m/s. Xác định độ tự cảm L của cuộn cảm.
A. 0,89 μH
B. 0,94 μH
C. 1,98 μH
D. 2,89 μH .
Lời giải:
Hướng dẫn
Chọn B..
Ta có:
Độ tự cảm L của cuộn cảm:
Câu 2: Mạch chọn sóng của máy thu vô tuyến gồm cuộn cảm có L = 1mH và tụ có C = 10pF. Biết tốc độ sóng điện từ 3.108 m/s. Máy thu trên có thể thu được sóng điện từ có bước sóng bao nhiêu?
A. 188,4 m
B. 235,2 m
C. 1635,8m
D. 761,5m
Lời giải:
Hướng dẫn
Chọn A..
Ta có:
Câu 3: Mạch dao động của một máy phát sóng vô tuyến gồm cuộn cảm và một tụ điện phẳng mà khoảng cách giữa hai bản tụ có thể thay đổi. Khi khoảng cách giữa hai bản tụ là 4,8mm thì máy phát ra sóng có bước sóng 300 m, để máy phát ra có bước sóng 240 m thì khoảng cách giữa hai bản tụ phải tăng thêm
A. 6,0 mm
B. 7,5 mm
C. 2,7 mm
D. 1,2 mm
Lời giải:
Hướng dẫn
Chọn C..
Công thức tính điện dung của tụ phẳng:
Suy ra:
Vậy khoảng cách giữa hai bản tụ phải tăng thêm ∆d = d2 – d1 = 7,5 – 4,8 = 2,7mm.
Câu 4: Mạch dao động của một máy thu vô tuyến điện có L =10 µH và C biến thiên từ 10 pF đến 250 pF. Máy vô tuyến có thể bắt được sóng điện từ có bước sóng trong khoảng nào?
A. 10 m → 95 m.
B. 20 m → 100 m.
C. 18,85 m → 94,25 m.
D. 18,8 m → 90 m.
Lời giải:
Hướng dẫn
Chọn C..
Bước sóng nhỏ nhất mà mạch nhận được là:
Bước sóng lớn nhất mà mạch nhận được là:
Câu 5: Mạch chọn sóng của một máy thu vô tuyến gồm một cuộn dây có độ tự cảm L và một bộ tụ điện gồm một tụ điện cố định Co mắc song song với một tụ xoay
C. Tụ C có điện dung thay đổi từ 10 pF đến 250 pF. Nhờ vậy mạch có thể thu được các sóng có bước sóng từ 10m đến 30m. Xác định độ tự cảm L?
A. L = 0,912 µH.
B. L = 0,842 µH.
C. L = 0,938 µH.
D. L = 0,743 µH.
Lời giải:
Hướng dẫn
Chọn C..
Ta có:
Câu 6: Một mạch chọn sóng gồm cuộn cảm có độ tự cảm L và một tụ điện có điện dung C biến đổi từ 50 pF đến 680 pF. Muốn mạch chỉ thu được sóng điện từ từ 40m đến 3000m thì cuộn cảm trong mạch phải có độ tự cảm nằm trong khoảng giới hạn nào ? Lấy π2 = 10.
A. 8,89 μH đến 3,68 mH.
B. 0,21 pH đến 80,11 pH
C. 8,89 pH đến 4,98 mH..
D. 0,21 μH đến 80,11 mH.
Lời giải:
Hướng dẫn
Chọn A..
Ta có:
Vậy L nằm trong khoảng: 8,89 μH đến 3,68 mH.
Câu 7: Một mạch chọn sóng gồm cuộn cảm có độ tự cảm L = 4µH và một tụ điện có điện dung C biến đổi từ 10 pF đến 360 pF. Lấy π2 = 10, dải sóng vô tuyến thu được với mạch trên có bước sóng trong khoảng
A. từ 120 m đến 720 m.
B. từ 12 m đến 72 m.
C. từ 48 m đến 192 m.
D. từ 4,8 m đến 19,2 m.
Lời giải:
Hướng dẫn
Chọn B..
Bước sóng nhỏ nhất mà mạch nhận được là:
Bước sóng lớn nhất mà mạch nhận được là:
Câu 8: Một mạch chọn sóng của máy thu vô tuyến điện gồm cuộn cảm có độ tự cảm L và một tụ điện xoay có điện dung C biến đổi từ 10 pF đến 810 pF. Khi điều chỉnh C có giá trị 160 pF thì mạch thu được sóng có bước sóng 40m. Dải sóng vô tuyến thu được với mạch trên có bước sóng trong khoảng
A. từ 12 m đến 72 m.
B. từ 120 m đến 720 m.
C. từ 10 m đến 90 m.
D. từ 4,8 m đến 19,2 m.
Lời giải:
Hướng dẫn
Chọn C..
Ta có:
Câu 9: Khi mắc tụ điện có điện dung C1 với cuộn cảm L thì mạch thu được sóng có bước sóng λ1 = 60m. Khi mắc tụ điện có điện dung C2 với cuộn L thì mạch thu được sóng có bước sóng λ2 = 80m. Khi mắc song song C1 và C2 với cuộn L thì mạch thu được sóng có bước sóng là
A. 48m.
B. 70m.
C. 100m.
D. 140m.
Lời giải:
Hướng dẫn
Chọn C..
Ta có → λ2 tỷ lệ với C
Do đó: mà C = C1 + C2 (C1 và C2 mắc song song)
Câu 10: Khi mắc tụ điện có điện dung C1 với cuộn cảm L thì mạch thu được sóng có bước sóng λ1 = 60m. khi mắc tụ điện có điện dung C2 với cuộn L thì mạch thu được sóng có bước sóng λ2 = 80m. Khi mắc nối tiếp C1 và C2 với cuộn L thì mạch thu được sóng có bước sóng là
A. 48m.
B. 70m.
C. 100m.
D. 140m.
Lời giải:
Hướng dẫn Chọn A..
Ta có
Do đó: mà
(vì C1 và C2 mắc nối tiếp)
Câu 11: Một mạch chọn sóng gồm cuộn dây có hệ số tự cảm không đổi và một tụ điện có điện dung biến thiên. Khi điện dung của tụ là 60 nF thì mạch thu được bước sóng λ = 30 m. Nếu muốn thu được bước sóng λ’ = 60m thì người ta ghép tụ C với tụ C0. Cho biết cách ghép hai tụ trên, và giá trị điện dung của tụ C0 là bao nhiêu?
A. ghép hai tụ song song, C0 = 240 nF.
B. ghép hai tụ song song, C0 = 180 nF.
C. ghép hai tụ nối tiếp, C0 = 240 nF.
D. ghép hai tụ nối tiếp, C0 = 180 nF.
Lời giải:
Hướng dẫn
Chọn B..
=> Phải mắc song song với tụ điện của mạch dao động trên một tụ điện có điện dung C0 bằng: C0 = C’ - C = 3C = 180nF.
Câu 12: Mạch thu sóng có lối vào là mạch dao động LC, tụ điện C là tụ phẳng không khí có khoảng cách d giữa hai bản có thể thay đổi được. Để dải sóng mà mạch thu được từ 100 m đến 2000 m thì khoảng cách d phải thay đổi bao nhiêu lần?
A. 400 lần
B. 200 lần
C. 100 lần
D. 500 lần
Lời giải:
Hướng dẫn Chọn A..
Công thức tính điện dung của tụ phẳng:
Suy ra:
=> Với dải sóng mà khung cộng hưởng thu được thì khoảng cách giữa hai bản phải thay đổi 400 lần.
Câu 13: Mạch chọn sóng của một máy thu vô tuyến điện gồm bộ tụ điện và cuộn cảm thuần L = 2,5 mH. Bộ tụ gồm 19 tấm kim loại phẳng giống nhau đặt song song cách đều nhau 1 mm, các tấm cách điện với nhau, diện tích của mỗi tấm là 3,14 (cm2), giữa các tấm là không khí. Mạch dao động này thu được sóng điện từ có bước sóng là
A. 51 m
B. 57 m
C. 42 m
D. 37 m
Lời giải:
Hướng dẫn
Chọn D..
Bộ tụ gồm 19 tấm nhôm đặt song song cách đều nhau => có 18 tụ điện mắc nối tiếp.
Suy ra điện dung tương đương của bộ tu: Ctđ = C/18
Lại có:
→ Ctđ = C/18 = 0,154.10-12 F.
Bước sóng mạch thu được:
Câu 14: Mạch thu sóng có lối vào là mạch dao động LC, tụ điện C là tụ phẳng không khí thì khi đó bước sóng mà mạch thu được là 40 m. Nếu nhúng 2/3 diện tích các bản tụ vào trong điện môi có hằng số điện môi ε = 2,5 thì bước sóng mà mạch thu được khi đó bằng
A. 66 m
B. 56 m
C. 58 m
D. 69 m
Lời giải:
Hướng dẫn
Chọn B..
Nếu nhúng 2/3 diện tích các bản tụ vào trong điện môi có hằng số điện môi ε = 2,5 thì ta được 1 bộ tụ mới gồm 2 tụ điện mắc song song với:
Suy ra bước sóng mạch thu được khi đó là:
Câu 15: Mạch thu sóng có lối vào là mạch dao động LC. Khi mắc tụ điện có điện dung C với cuộn cảm thuần có độ tự cảm L1 thì bước sóng mà mạch thu được là λ1 = 10m. Khi mắc tụ C với cuộn cầm thuần L2 thì bước sóng mà mạch thu được là λ2 = 30m. Nếu mắc tụ C với cuộn cảm thuần có độ tự cảm L3 = 20L1 + 19L¬2 thì bước sóng mà mạch thu được là:
A. 138,20 m
B. 156,1 m
C. 58,98 m
D. 27,75 m
Lời giải:
Hướng dẫn
Chọn A..
Câu 16: Một tụ điện xoay có điện dung tỉ lệ thuận với góc quay các bản tụ. Tụ có giá trị điện dung C biến đổi giá trị C1 = 10pF đến C2 = 490pF ứng với góc quay của các bản tụ là α các bản tăng dần từ 0o đến 180o. Tụ điện được mắc với một cuộn dây có hệ số tự cảm L = 2µH để làm thành mạch dao động ở lối vào của 1 một máy thu vô tuyến điện. Để bắt được sóng 19,2m phải quay các bản tụ một góc α là bao nhiêu tính từ vị trí điện dung C bé nhất.
A. 51,9o
B. 19,1o
C. 15,7o
D. 17,5o
Lời giải:
Hướng dẫn
Chọn C..
Ta có:
Tụ xoay có điện dung tỉ lệ theo hàm bậc nhất với góc quay các bản tụ nên:
Câu 17: Một tụ xoay có điện dung tỉ lệ theo hàm bậc nhất với góc quay các bản tụ. Tụ có giá trị điện dung C biến đổi giá trị C1 = 120pF đến C2 = 600pF ứng với góc quay của các bản tụ là α các bản tăng dần từ 20o đến 180o. Tụ điện được mắc với một cuộn dây thuần cảm có hệ số tự cảm L = 2µH để làm thành mạch dao động ở lối vào của một máy thu vô tuyến điện. Để bắt được sóng 58,4m phải quay các bản tụ thêm một góc α là bao nhiêu tính từ vị trí điện dung C bé nhất
A. 40o
B. 60o
C. 120o
D. 140o
Lời giải:
Hướng dẫn
Chọn C..
Ta có:
nên:
Tụ xoay có điện dung tỉ lệ theo hàm bậc nhất với góc quay các bản tụ nên:
Cx = aα + b → ∆Cx = ∆α
Suy ra ta có tỉ lệ:
Như vậy nếu tính từ vị trí có điện dung C bé nhất thì ta phải quay thêm một góc 140 – 20 = 120o.
Câu 18: Mạch chọn sóng của máy thu vô tuyến điện gồm cuộn dây thuần cảm có độ tự cảm là L = 2.10-5 H và một tụ xoay có điện dung biến thiên liên tục và tỉ lệ thuận với góc quay theo hàm bậc nhất từ giá trị C1 = 10pF đến C2 = 500pF tương ứng khi góc quay của các bản tụ tăng dần từ 0o đến 180o. Khi góc xoay của tụ bằng 90o thì mạch thu sóng điện từ có bước sóng là:
A. 195,123m
B. 266,44m
C. 107,522m
D. 134,612m
Lời giải:
Hướng dẫn
Chọn D..
Tụ xoay có điện dung biến thiên liên tục và tỉ lệ thuận với góc quay theo hàm bậc nhất nên:
C = a.α + b (pF) → ∆Cx = ∆α
Suy ra ta có tỉ lệ:
Bước sóng thu được:
Câu 19: Mạch chọn sóng của một máy thu vô tuyến gồm cuộn cảm thuần có độ tự cảm L và một bộ tụ gồm tụ C0 cố định ghép song song với tụ xoay Cx. Tụ xoay Cx có điện dung biến thiên từ C1 = 20pF đến C2 = 320pF khi góc xoay biến thiên từ được từ 0o đến 150o. Nhờ vậy mạch thu được sóng điện từ có bước sóng từ λ1 = 10m đến λ2 = 40m. Biết điện dung của tụ xoay là hàm bậc nhất của góc xoay. Để mạch thu được sóng điện từ có bước sóng λ = 20m thì góc xoay của bản tụ là
A. 30o
B. 45o
C. 75o
D. 60o
Lời giải:
Hướng dẫn
Chọn A..
Điện dung của bộ tụ: Cb = C0 + Cx → ∆Cb = ∆Cx.
Điện dung của tụ xoay là hàm bậc nhất của góc xoay nên: Cx = aα + b.
→ ∆Cx = ∆α → ∆Cb = ∆α.
Vì điện dung tỷ lệ với λ2, nên ∆Cb tỷ lệ với ∆(λ2), do vậy ∆α tỷ lệ với ∆(λ2).
Suy ra ta có dãy tỷ số:
Câu 20: Mạch chọn sóng của máy thu vô tuyến điện gồm cuộn dây thuần cảm và một tụ xoay có điện dung biến thiên liên tục và tỉ lệ thuận với góc xoay α của bản linh động. Khi góc quay của các bản tụ tăng dần từ 0o đến 120o thì mạch thu được bước sóng trong dải từ 15m đến 35m. Khi góc xoay của tụ α = 100o thì mạch thu sóng điện từ có bước sóng là:
A. 32,53m
B. 26,44m
C. 10,52m
D. 19,61m
Lời giải:
Hướng dẫn
Chọn A..
Điện dung của tụ xoay là hàm bậc nhất của góc xoay nên: C = aα + b → ∆C = ∆α
Vì điện dung tỷ lệ với λ2, nên ∆C tỷ lệ với ∆(λ2), do vậy ∆α tỷ lệ với ∆(λ2).
Suy ra ta có dãy tỷ số:
Câu 21: Mạch chọn sóng của một máy thu vô tuyến gồm một cuộn dây và một tụ xoay. Điện trở thuần của mạch là R = 1mΩ. Sau khi bắt được sóng điện từ có tần số góc 10000 rad/s thì xoay nhanh tụ tăng điện dung để suất điện động không đổi nhưng cường độ dòng hiệu dụng thì giảm xuống 1000 lần. Độ thay đổi điện dung của tụ là.
A. 0,01 μF
B. 0,02 μF
C. 0,03 μF
D. 0,04 μF
Lời giải:
Hướng dẫn
Chọn D..
Độ thay đổi điện dung của tụ là:
(199k) Xem Khóa học Vật Lí 12 KNTTXem Khóa học Vật Lí 12 CDXem Khóa học Vật Lí 12 CTST
Xem thêm các dạng bài tập Vật Lí lớp 12 ôn thi Tốt nghiệp có lời giải hay khác:
- Phương pháp tìm chu kỳ, tần số trong mạch dao động LC cực hay
- Viết biểu thức điện áp, cường độ dòng điện, điện tích trong mạch dao động LC
- Tìm năng lượng dao động điện từ trong mạch dao động LC
- Bài toán về nạp năng lượng ban đầu cho mạch dao động LC
- Dạng bài toán tụ điện bị đánh thủng, nối tắt trong mạch dao động LC
- Bài toán về sự lan truyền của điện từ trường trong các môi trường
Đã có app VietJack trên điện thoại, giải bài tập SGK, SBT Soạn văn, Văn mẫu, Thi online, Bài giảng....miễn phí. Tải ngay ứng dụng trên Android và iOS.
Theo dõi chúng tôi miễn phí trên mạng xã hội facebook và youtube:Nếu thấy hay, hãy động viên và chia sẻ nhé! Các bình luận không phù hợp với nội quy bình luận trang web sẽ bị cấm bình luận vĩnh viễn.
- Giải Tiếng Anh 12 Global Success
- Giải sgk Tiếng Anh 12 Smart World
- Giải sgk Tiếng Anh 12 Friends Global
- Lớp 12 Kết nối tri thức
- Soạn văn 12 (hay nhất) - KNTT
- Soạn văn 12 (ngắn nhất) - KNTT
- Giải sgk Toán 12 - KNTT
- Giải sgk Vật Lí 12 - KNTT
- Giải sgk Hóa học 12 - KNTT
- Giải sgk Sinh học 12 - KNTT
- Giải sgk Lịch Sử 12 - KNTT
- Giải sgk Địa Lí 12 - KNTT
- Giải sgk Giáo dục KTPL 12 - KNTT
- Giải sgk Tin học 12 - KNTT
- Giải sgk Công nghệ 12 - KNTT
- Giải sgk Hoạt động trải nghiệm 12 - KNTT
- Giải sgk Giáo dục quốc phòng 12 - KNTT
- Giải sgk Âm nhạc 12 - KNTT
- Giải sgk Mĩ thuật 12 - KNTT
- Lớp 12 Chân trời sáng tạo
- Soạn văn 12 (hay nhất) - CTST
- Soạn văn 12 (ngắn nhất) - CTST
- Giải sgk Toán 12 - CTST
- Giải sgk Vật Lí 12 - CTST
- Giải sgk Hóa học 12 - CTST
- Giải sgk Sinh học 12 - CTST
- Giải sgk Lịch Sử 12 - CTST
- Giải sgk Địa Lí 12 - CTST
- Giải sgk Giáo dục KTPL 12 - CTST
- Giải sgk Tin học 12 - CTST
- Giải sgk Hoạt động trải nghiệm 12 - CTST
- Giải sgk Âm nhạc 12 - CTST
- Lớp 12 Cánh diều
- Soạn văn 12 Cánh diều (hay nhất)
- Soạn văn 12 Cánh diều (ngắn nhất)
- Giải sgk Toán 12 Cánh diều
- Giải sgk Vật Lí 12 - Cánh diều
- Giải sgk Hóa học 12 - Cánh diều
- Giải sgk Sinh học 12 - Cánh diều
- Giải sgk Lịch Sử 12 - Cánh diều
- Giải sgk Địa Lí 12 - Cánh diều
- Giải sgk Giáo dục KTPL 12 - Cánh diều
- Giải sgk Tin học 12 - Cánh diều
- Giải sgk Công nghệ 12 - Cánh diều
- Giải sgk Hoạt động trải nghiệm 12 - Cánh diều
- Giải sgk Giáo dục quốc phòng 12 - Cánh diều
- Giải sgk Âm nhạc 12 - Cánh diều


Giải bài tập SGK & SBT
Tài liệu giáo viên
Sách
Khóa học
Thi online
Hỏi đáp

