Cách giải Bài toán về nạp năng lượng ban đầu cho mạch dao động LC (hay, chi tiết)
Bài viết Cách giải Bài toán về nạp năng lượng ban đầu cho mạch dao động LC với phương pháp giải chi tiết giúp học sinh ôn tập, biết cách làm bài tập Cách giải Bài toán về nạp năng lượng ban đầu cho mạch dao động LC.
Cách giải Bài toán về nạp năng lượng ban đầu cho mạch dao động LC (hay, chi tiết)
(199k) Xem Khóa học Vật Lí 12 KNTTXem Khóa học Vật Lí 12 CDXem Khóa học Vật Lí 12 CTST
A. Phương pháp giải
1. Cấp năng lượng điện trường ban đầu
+ Ban đầu khóa k ở chốt (1), tụ điện được tích điện (nếu thời gian đủ dài) đến hiệu điện thế bằng suất điện động E của nguồn. Năng lượng điện mà tụ tích được là:
+ Chuyển khóa k sang chốt (2), tụ phóng điện qua cuộn dây. Năng lượng điện chuyển dần thành năng lượng từ trên cuộn dây. Như vậy hiệu điện thế cực đại trong quá trình dao động chính là hiệu điện thế ban đầu của tụ U0 = E, năng lượng điện ban đầu mà tụ tích được từ nguồn chính là năng lượng toàn phần (năng lượng điện từ) của mạch dao động.
Ví dụ 1: Trong mạch dao động bộ tụ điện gồm hai tụ điện C1, C2 giống nhau được cấp một năng lượng 1μJ từ nguồn điện một chiều có suất điện động 4V. Chuyển khoá K từ vị trí 1 sang vị trí 2. Cứ sau những khoảng thời gian như nhau 1μs thì năng lượng trong tụ điện và trong cuộn cảm lại bằng nhau. Xác định cường độ dòng điện cực đại trong cuộn dây ?
A. 0,787A
B. 0,785A
C. 0,786A
D. 0,784A
Hướng dẫn
Chọn B.
Cứ sau những khoảng thời gian như nhau 1μs thì năng lượng trong tụ điện và trong cuộn cảm lại bằng nhau (WC1 + WC2 = WL ) → T/4 = 1μs → T = 4μs.
→ Độ tự cảm:
Mặt khác ta có:
Ví dụ 2: Hai tụ điện C1 = C2 = 10μF mắc song song. Nối hai đầu bộ tụ với ắc qui có suất điện động E = 6V để nạp điện cho các tụ rồi ngắt ra và nối với cuộn dây thuần cảm L = 1mH để tạo thành mạch dao động. Sau khi dao động trong mạch đã ổn định, tại thời điểm dòng điện qua cuộn dây có giá trị i = 0,5A thì hiệu điện thế giữa hai đầu bộ tụ bằng:
A. 4,85V
B. 3,50V
C. 5,50V
D. 1,50V
Hướng dẫn
Chọn A.
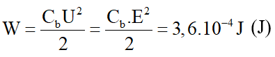
Hai tụ C1, C2 mắc song song thì điện dung của bộ tụ là: Cb = C1 + C2 = 20μF.
Năng lượng cung cấp cho mạch dao động:
Khi i = 0,5A, năng lượng từ trường:
Khi đó năng lượng điện trường: WC = W – WL = 2,35.10-4 J.
Mà
2. Cấp năng lượng từ trường ban đầu.
+ Ban đầu khóa k đóng, dòng điện qua cuộn dây không đổi và có cường độ (định luật Ôm cho toàn mạch):
Năng lượng từ trường trên cuộn dây không đổi và bằng:
+ Cuộn dây không có điện trở thuần nên hiệu điện thế hai đầu cuộn dây (cũng chính là hiệu điện thế giữa hai bản tụ điện) bằng không. Tụ chưa tích điện.
+ Khi ngắt khóa k, năng lượng từ của cuộn dây chuyển hóa dần thành năng lượng điện trên tụ điện...mạch dao động.
Như vậy, với cách kích thích dao động như thế này, năng lượng toàn phần (năng lượng điện từ) đúng bằng năng lượng từ ban đầu của cuộn dây, cường độ dòng điện cực đại trong mạch dao động đúng bằng cường độ dòng điện ban đầu qua cuộn dây .
Ví dụ 3: Cho mạch điện như hình vẽ trên. Cuộn dây thuần cảm có độ tự cảm L = 4.10-3H, tụ điện có điện dung C = 0,1µF, nguồn điện có suất điện động E = 3mV và điện trở trong r = 1Ω. Ban đầu khóa k đóng, khi có dòng điện chạy ổn định trong mạch, ngắt khóa k. Tính điện tích trên tụ điện khi năng lượng từ trong cuộn dây gấp 3 lần năng lượng điện trường trong tụ điện.
A. 3.10-8C
B. 2,6.10-8C
C. 6,2.10-7C
D. 5,2.10-8C
Hướng dẫn
Chọn
A.
Cường độ dòng điện cực đại qua cuộn cảm:
Năng lượng từ trường bằng 3 lần năng lượng điện trường khi:
Ví dụ 4: Một mạch dao động LC lí tưởng. Ban đầu nối hai đầu cuộn cảm thuần với nguồn điện có r = 2Ω, suất điện động E. Sau khi dòng điện qua mạch ổn định, người ta ngắt cuộn dây với nguồn và nối nó với tụ điện thành mạch kín thì điện tích cực đại của tụ là 4.10-6C. Biết khoảng thời gian ngắn nhất kể từ khi năng lượng từ trường đạt giá trị cực đại đến khi năng lượng trên tụ bằng năng lượng trên cuộn cảm là Giá trị của suất điện động E là:
A. 2V.
B. 6V.
C. 8V.
D. 4V
Hướng dẫn
Chọn C.
Cường độ dòng điện cực đại qua mạch:
3. Cấp cùng lúc cả năng lượng từ trường và năng lượng điện trường ban đầu.
+ Nguồn có suất điện động E, điện trở trong r, tụ điện có điện dung C, cuộn dây có hệ số tự cảm L và có điện trở R.
Ban đầu khoá k đóng, khi trạng thái trong mạch đã ổn định ta có:
Cường độ dòng điện chạy qua cuộn dây khi ổn định là:
Điện áp 2 đầu tụ C lúc đầu: U0 = I0.R.
Năng lượng lúc đầu của mạch:
+ Khi ngắt khóa K, mạch dao động có điện trở thuần R ≠ 0 thì dao động sẽ tắt dần. R càng lớn thì sự tắt dần càng nhanh, R rất lớn thì không có dao động.
Năng lượng ban đầu của mạch sẽ chuyển hóa hết thành nhiệt lượng tỏa ra trên R của cuộn dây khi tắt hẳn: QR = W.
Ví dụ 5:
Cho mạch điện như hình vẽ, nguồn có suất điện động E = 12V điện trở trong r = 1Ω, tụ có điện dung C = 100μF, cuộn dây có hệ số tự cảm L = 0,2H và điện trở là R0 = 5Ω; điện trở R = 18Ω. Ban đầu K đóng, khi trạng thái trong mạch đã ổn định người ta ngắt khoá K. Tính nhiệt lượng tỏa ra trên điện trở R trong thời gian từ khi ngắt K đến khi dao động trong mạch tắt hoàn toàn?
A. 25 mJ
B. 28,45 mJ
C. 24,74 mJ
D. 5,175 mJ
Hướng dẫn
Chọn C.
Khi K đóng, cường độ dòng điện chạy qua cuộn dây khi ổn định là:
Điện áp 2 đầu tụ C lúc đầu:
Năng lượng lúc đầu của mạch:
Vì R và R0 ghép nối tiếp nên năng lượng tỏa ra trên R và R0 tỉ lệ thuận với điện trở.
Khi mạch tắt hoàn toàn thì năng lượng W chuyển thành nhiệt lượng tỏa ra trên R và R0:
→ QR + QRo = W
B. Ví dụ minh họa
C. Bài tập vận dụng
Câu 1. Mạch dao động lý tưởng LC. Dùng nguồn điện một chiều có suất điện động 10 V cung cấp cho mạch một năng lượng 25 (μJ) bằng cách nạp điện cho tụ thì dòng điện tức thời trong mạch cứ sau khoảng thời gian π /4000 (s) lại bằng không. Xác định độ tự cảm cuộn dây.
A. L = 1 H
B. L = 0,125 H
C. L = 0,25 H
D. L = 0,5 H
Lời giải:
Hướng dẫn
Chọn B.
Dòng điện tức thời trong mạch cứ sau khoảng thời gian T/2 lại bằng không, do đó:
Câu 2 (ĐH 2011): Nếu nối hai đầu đoạn mạch gồm cuộn cảm thuần L mắc nối tiếp với điện trở thuần R = 1Ω vào hai cực của nguồn điện một chiều có suất điện động không đổi và điện trở trong r thì trong mạch có dòng điện không đổi cường độ I. Dùng nguồn điện này để nạp điện cho một tụ điện có điện dung C = 2.10-6F. Khi điện tích trên tụ điện đạt giá trị cực đại, ngắt tụ điện khỏi nguồn rồi nối tụ điện với cuộn cảm thuần L thành một mạch dạo động thì trong mạch có dao động điện từ tự do với chu kì T = π.10-6 s và cường độ dòng điện cực đại bằng 8I. Giá trị của r bằng:
A. 1Ω
B. 2Ω
C. 2,5Ω
D. 0,5Ω
Lời giải:
Hướng dẫn
Chọn A.
Khi mắc L với R vào nguồn 1 chiều, khi dòng điện ổn định ta có:
Khi dùng nguồn điện này để nạp điện cho tụ điện thì điện tích trên tụ điện đạt giá trị cực đại:
Q0 = C.E = C.I.(1+r) (2)
Cường độ dòng điện cực đại bằng 8I ↔ I0 = 8I = ω.Q0 ⇔ (2π/T)/Q0=8I (3)
Lấy (2) chia (3) ta được:
Câu 3: Nếu nối hai đầu đoạn mạch gồm cuộn cảm thuần L mắc nối tiếp với điện trở thuần R = 1Ω vào hai cực của nguồn điện một chiều có suất điện động không đổi và điện trở trong r = 1Ω thì trong mạch có dòng điện không đổi cường độ I. Dùng nguồn điện này để nạp điện cho một tụ điện có điện dung C = 1μF. Khi điện tích trên tụ điện đạt giá trị cực đại, ngắt tụ điện khỏi nguồn rồi nối tụ điện với cuộn cảm thuần L thành một mạch dạo động thì trong mạch có dao động điện từ tự do với tần số góc ω = 106 rad/s và cường độ dòng điện cực đại bằng I. Tính tỉ số I0/I ?
A. 2
B. 2,5
C. 1,5
D. 3
Lời giải:
Hướng dẫn
Chọn A.
Khi mắc L với R vào nguồn 1 chiều, khi dòng điện ổn định ta có:
Khi dùng nguồn điện này để nạp điện cho tụ điện thì điện tích trên tụ điện đạt giá trị cực đại:
Q0 = C.E = C.2I
Cường độ dòng điện cực đại bằng: I0 = ω.Q0 = ω.2.C.I
Suy ra:
Câu 4: Mạch dao động điện từ lý tưởng LC với cuộn dây có độ tự cảm L, tụ điện có điện dung C. Ban đầu, tụ chưa nối với cuộn cảm. Nối hai bản tụ với nguồn điện có suất điện động ξ, điện trở trong là r, đến khi tụ tích đầy điện thì ngắt tụ ra khỏi nguồn điện và nối với cuộn cảm. Điện áp cực đại giữa hai đầu bản tụ là U0. Hệ thức đúng là
Lời giải:
Hướng dẫn
Chọn D.
Câu 5: Một mạch dao động lý tưởng gồm cuộn dây có độ tự cảm L và tụ điện có điện dung C = 20 nF, cung cấp cho tụ một năng lượng bằng cách ghép tụ vào nguồn điện không đổi có suất điện động E. Mạch thực hiện dao động điện từ với biểu thức năng lượng từ WL = sin2(2.106t) (μJ). Giá trị lớn nhất của điện tích trên bản tụ là
A. 2 μC
B. 0,4 μC
C. 4 μC
D. 0,2 μC.
Lời giải:
Hướng dẫn
Chọn D.
Câu 6: Mạch dao động điện từ LC gồm một cuộn dây thuần cảm có độ tự cảm L và tụ có điện dung. Dùng nguồn điện một chiều có suất điện động 6 V cung cấp cho mạch một năng lượng 5 μJ thì cứ sau khoảng thời gian ngắn nhất 1 μs dòng điện trong mạch triệt tiêu. Xác định L ?
Lời giải:
Hướng dẫn
Chọn D.
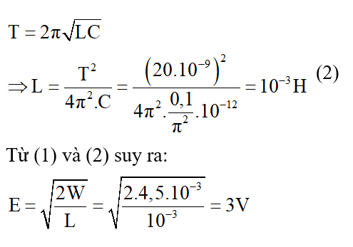
Câu 7: Một mạch dao động LC lí tưởng gồm cuộn cảm L và tụ C = 0,1/π2pF. Nối hai cực của nguồn điện một chiều có suất điện động E và điện trở trong r = 1Ω vào hai đầu cuộn cảm. Sau khi dòng điện qua mạch ổn định, người ta ngắt cuộn dây với nguồn và nối nó với tụ điện thành mạch kín thì mạch LC dao động với năng lượng bằng 4,5mJ. Khoảng thời gian ngắn nhất kể từ khi năng lượng điện trường cực đại đến khi năng lượng từ trường cực đại bằng 5 ns. Tính giá trị của E?
A. 3 V.
B. 6 V.
C. 5 V.
D. 4 V
Lời giải:
Hướng dẫn
Chọn A.
Mắc L vào nguồn 1 chiều, khi dòng điện ổn định ta có:
Năng lượng cung cấp cho mạch:
Khoảng thời gian ngắn nhất kể từ khi năng lượng điện trường cực đại đến khi năng lượng từ trường cực đại là T/4 → T = 4.5ns = 20ns.
Mặt khác:
Câu 8: Một mạch dao động LC lí tưởng gồm cuộn cảm L = 0,1mH và bộ tụ gồm hai tụ điện có cùng điện dung C mắc song song với nhau. Nối hai cực của nguồn điện một chiều có suất điện động E và điện trở trong r = 4Ω vào hai đầu cuộn cảm. Sau khi dòng điện qua mạch ổn định, người ta ngắt cuộn dây với nguồn và nối nó với tụ điện thành mạch kín thì mạch LC dao động với hiệu điện thế cực đại giữa hai đầu cuộn cảm bằng E. Tính giá trị C?
A. 3,125 μF
B. 6,25 μF
C. 3,175 μF
D. 3,25 μF.
Lời giải:
Hướng dẫn
Chọn B.
Mắc L vào nguồn 1 chiều, khi dòng điện ổn định ta có:
Năng lượng cung cấp cho mạch:
Hiệu điện thế cực đại giữa hai đầu cuộn cảm bằng E nên UC max = U0 = E.
Ta có:
Câu9:
Một khung dao động gồm một tụ điện và một cuộn dây thuần cảm được nối với một bộ pin điện trở trong r = 0,5Ω qua một khóa điện k. Ban đầu khóa k đóng. Khi dòng điện đã ổn định, người ta mở khóa và trong khung có dao động điện với chu kì T = 2.10-6s. Biết rằng điện áp cực đại giữa hai bản tụ điện lớn gấp 10 lần suất điện động của bộ pin. Tính điện dung C của tụ điện và độ tự cảm L của cuộn dây.
Lời giải:
Hướng dẫn
Chọn B.
Ban đầu K đóng, tụ không được tích điện do cuộn dây không có điện trở, khi dòng điện ổn định ta có:
Năng lượng cung cấp cho mạch qua năng lượng cuộn cảm ban đầu:
Điện áp cực đại giữa hai bản tụ điện lớn gấp 10 lần suất điện động của bộ pin nên: UC max = U0 = 10.E.
Ta có: (1)
Câu 10: Một mạch dao động LC lí tưởng gồm cuộn cảm L = 0,1mH và bộ tụ gồm hai tụ điện C1 và C2 ghép nối tiếp. Nối hai cực của nguồn điện một chiều có suất điện động E và điện trở trong r = 2Ω vào hai đầu cuộn cảm. Sau khi dòng điện qua mạch ổn định, người ta ngắt cuộn dây với nguồn và nối nó với tụ điện thành mạch kín thì mạch LC dao động với hiệu điện thế cực đại giữa hai đầu cuộn cảm bằng 5E. Tính giá trị C1 biết C1 = 3C2?
A. 0,375 μF
B. 0,25 μF
C. 0,6375 μF
D. 0,875 μF.
Lời giải:
Hướng dẫn
Chọn B.
Mắc L vào nguồn 1 chiều, khi dòng điện ổn định ta có:
Năng lượng cung cấp cho mạch:
Hiệu điện thế cực đại giữa hai đầu cuộn cảm bằng 6E nên UC max = U0 = 5E.
Ta có:
Vì bộ tụ gồm 2 tụ ghép nối tiếp nên
Suy ra C1 = Cb/4 = 0,25μF.
Câu 11: Nối 2 bản của tụ điện với một nguồn điện không đổi đến khi tụ được nạp đầy điện rồi ngắt ra. Sau đó nối 2 bản đó với cuộn dây thuần cảm có độ tự cảm 2L, thì thời gian tụ phóng điện là ∆t. Nếu lặp lại các thao tác trên với cuộn dây thuần cảm có độ tự cảm 0,5L, thì thời gian tụ phóng điện là
A. 1,5∆t
B.
C. 0,5∆t
D. 2∆t
Lời giải:
Hướng dẫn
Chọn C.
Nối 2 bản của tụ điện với một nguồn điện không đổi đến khi tụ được nạp đầy điện, như vậy tụ được tích một điện tích cực đại Q0. Thời gian tụ phóng hết điện ngay sau khi ngắt khỏi nguồn là ∆t = T1/4.
Mà
Nếu lặp lại các thao tác trên với cuộn dây thuần cảm có độ tự cảm 0,5L, thì thời gian tụ phóng điện là:
Câu 12: Một nguồn điện có suất điện động E = 3V, điện trở trong r = 2Ω, được mắc vào hai đầu mạch gồm một cuộn dây có điện trở thuần R = 3 mắc song song với một tụ điện. Biết điện dung của tụ là C = 5μF và độ tự cảm là L = 5μH. Khi dòng điện chạy qua mạch đã ổn định, người ta ngắt nguồn điện khỏi mạch. Lúc đó nhiệt lượng lớn nhất toả ra trên cuộn dây bằng bao nhiêu?
A. 7,5 μF
B. 9,0 μF
C. 10 μF
D. 11 μF.
Lời giải:
Hướng dẫn
Chọn B.
Khi dòng điện qua mạch ổn định (qua cuộn dây):
Hiệu điện thế ở hai đầu cuộn dây cũng chính là hiệu điện thế 2 đầu tụ: UAB= U0 = I.R = 1,8 V
Năng lượng dao động của mạch lúc ngắt nguồn:
Nhiệt lượng lớn nhất tỏa ra trên cuộn dây bằng năng lượng dao động lúc đầu của mạch: Qmax = W = 9 μJ
Câu 13. Một mạch dao động LC lí tưởng kín chưa hoạt động. Nối hai cực của nguồn điện một chiều có điện trở trong r vào hai đầu cuộn cảm. Sau khi dòng điện trong mạch ổn định, cắt nguồn thì mạch LC dao động với tần số góc ω và hiệu điện thế cực đại giữa hai bản tụ gấp n lần suất điện động của nguồn điện một chiều. Tính điện dung của tụ điện và độ tự cảm của cuộn dây theo n, r, và ω.
Lời giải:
Hướng dẫn
Chọn B.
Mắc L vào nguồn 1 chiều, khi dòng điện ổn định ta có:
Năng lượng cung cấp cho mạch:
Hiệu điện thế cực đại giữa hai đầu tụ điện: UC max = U0 = nE.
Ta có:
Mặt khác:
(199k) Xem Khóa học Vật Lí 12 KNTTXem Khóa học Vật Lí 12 CDXem Khóa học Vật Lí 12 CTST
Xem thêm các dạng bài tập Vật Lí lớp 12 ôn thi Tốt nghiệp có lời giải hay khác:
- Phương pháp tìm chu kỳ, tần số trong mạch dao động LC cực hay
- Viết biểu thức điện áp, cường độ dòng điện, điện tích trong mạch dao động LC
- Tìm năng lượng dao động điện từ trong mạch dao động LC
- Dạng bài toán tụ điện bị đánh thủng, nối tắt trong mạch dao động LC
- Bài toán về sự lan truyền của điện từ trường trong các môi trường
- Phương pháp giải bài tập về mạch chọn sóng cực hay có lời giải
Đã có app VietJack trên điện thoại, giải bài tập SGK, SBT Soạn văn, Văn mẫu, Thi online, Bài giảng....miễn phí. Tải ngay ứng dụng trên Android và iOS.
Theo dõi chúng tôi miễn phí trên mạng xã hội facebook và youtube:Nếu thấy hay, hãy động viên và chia sẻ nhé! Các bình luận không phù hợp với nội quy bình luận trang web sẽ bị cấm bình luận vĩnh viễn.
- Giải Tiếng Anh 12 Global Success
- Giải sgk Tiếng Anh 12 Smart World
- Giải sgk Tiếng Anh 12 Friends Global
- Lớp 12 Kết nối tri thức
- Soạn văn 12 (hay nhất) - KNTT
- Soạn văn 12 (ngắn nhất) - KNTT
- Giải sgk Toán 12 - KNTT
- Giải sgk Vật Lí 12 - KNTT
- Giải sgk Hóa học 12 - KNTT
- Giải sgk Sinh học 12 - KNTT
- Giải sgk Lịch Sử 12 - KNTT
- Giải sgk Địa Lí 12 - KNTT
- Giải sgk Giáo dục KTPL 12 - KNTT
- Giải sgk Tin học 12 - KNTT
- Giải sgk Công nghệ 12 - KNTT
- Giải sgk Hoạt động trải nghiệm 12 - KNTT
- Giải sgk Giáo dục quốc phòng 12 - KNTT
- Giải sgk Âm nhạc 12 - KNTT
- Giải sgk Mĩ thuật 12 - KNTT
- Lớp 12 Chân trời sáng tạo
- Soạn văn 12 (hay nhất) - CTST
- Soạn văn 12 (ngắn nhất) - CTST
- Giải sgk Toán 12 - CTST
- Giải sgk Vật Lí 12 - CTST
- Giải sgk Hóa học 12 - CTST
- Giải sgk Sinh học 12 - CTST
- Giải sgk Lịch Sử 12 - CTST
- Giải sgk Địa Lí 12 - CTST
- Giải sgk Giáo dục KTPL 12 - CTST
- Giải sgk Tin học 12 - CTST
- Giải sgk Hoạt động trải nghiệm 12 - CTST
- Giải sgk Âm nhạc 12 - CTST
- Lớp 12 Cánh diều
- Soạn văn 12 Cánh diều (hay nhất)
- Soạn văn 12 Cánh diều (ngắn nhất)
- Giải sgk Toán 12 Cánh diều
- Giải sgk Vật Lí 12 - Cánh diều
- Giải sgk Hóa học 12 - Cánh diều
- Giải sgk Sinh học 12 - Cánh diều
- Giải sgk Lịch Sử 12 - Cánh diều
- Giải sgk Địa Lí 12 - Cánh diều
- Giải sgk Giáo dục KTPL 12 - Cánh diều
- Giải sgk Tin học 12 - Cánh diều
- Giải sgk Công nghệ 12 - Cánh diều
- Giải sgk Hoạt động trải nghiệm 12 - Cánh diều
- Giải sgk Giáo dục quốc phòng 12 - Cánh diều
- Giải sgk Âm nhạc 12 - Cánh diều


Giải bài tập SGK & SBT
Tài liệu giáo viên
Sách
Khóa học
Thi online
Hỏi đáp

