Tổng hợp Lý thuyết Chương 4: Dao động và sóng điện từ hay, chi tiết nhất
Dưới đây là phần tổng hợp kiến thức, công thức, lý thuyết Vật Lí lớp 12 Chương 4: Dao động và sóng điện từ ngắn gọn, chi tiết. Hi vọng tài liệu Lý thuyết Vật Lí lớp 12 theo chương này sẽ giúp bạn nắm vững kiến thức môn Vật Lí lớp 12.
Tổng hợp Lý thuyết Chương 4: Dao động và sóng điện từ
(199k) Xem Khóa học Vật Lí 12 KNTTXem Khóa học Vật Lí 12 CDXem Khóa học Vật Lí 12 CTST
- Lý thuyết Mạch dao động
- Lý thuyết Điện từ trường
- Lý thuyết Sóng điện từ
- Lý thuyết Nguyên tắc truyền thông tin liên lạc bằng sóng vô tuyến
- Lý thuyết Dao động điện từ là gì, ngắn gọn, chi tiết, đầy đủ
- Lý thuyết Điện từ trường là gì, ngắn gọn, chi tiết, đầy đủ
- Lý thuyết Sóng điện từ là gì, ngắn gọn, chi tiết, đầy đủ
- Lý thuyết Truyền thông bằng sóng điện từ là gì, ngắn gọn, chi tiết, đầy đủ
Lý thuyết Mạch dao động
Bài giảng: Bài 20: Mạch dao động - Cô Phan Thanh Nga (Giáo viên VietJack)
I) Mạch dao động:
- Khái niệm: là mạch có một cuộn cảm có độ tự cảm L(H) mắc với một tụ điện có điện dung C(F) thành một mạch điện kín. Nếu điện trở r của mạch rất nhỏ thì gọi là mạch dao động lí tưởng.
- Nguyên lý hoạt động: muốn cho mạch hoạt động ta tích điện q cho tụ C, sau đó khi nối tụ với cuộn cảm L, tụ sẽ phóng điện làm dòng điện i trong cuộn cảm tăng lên, khi đó trong cuộn cảm xảy ra hiện tượng tự cảm, xuất hiện một dòng cảm ứng icư ngược chiều với i làm dòng điện giảm dần đi, khi tụ phóng hết điện, dòng icư lại tích điện cho tụ theo chiều ngược lại, rồi tụ lại phóng điện theo chiều ngược chiều ban đầu. hiện tượng cú thế lặp đi lặp lạ nên được gọi là mạch dao động.
II) Dao động điện từ tự do trong mạch dao động.
- Phương trình dao động:
Xét mạch dao động LC: ta có
uAB = e - ir = q/C
Với e là xuất điện động cảm ứng:
Khi r rất nhỏ: r ≈ 0, ta có phương trình:
q" = -q/LC (phương trình vi phân bậc 2)
Nghiệm của phương trình trên có dạng
q = q0cos(ωt + φ)
Với
q0, φ: được xác định từ điều kiện ban đầu của bài toán.
- Hiệu điện thế giữa 2 bản tụ là:
- Cường độ dòng điện trong mạch:
- Nhận xét: điện tích q của một bản tụ điện (hay cường độ điện trường E→) và cường độ dòng điện i (hay cảm ứng từ B→) trong mạch dao động biên thiên điều hòa theo thời gian với chu kỳ T = 2π√LC chỉ phụ thuộc vào các đặc trưng của hệ nên được gọi là dao động điện từ tự do.
- Mối quan hệ giữa q,i,u
i sớm pha hơn q một góc π/2:
i sớm pha hơn u một góc π/2:
u đồng pha với q:
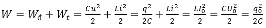
III) Năng lượng điện từ:
Năng lượng điện trường ( dự trữ trong tụ điện)
Năng lượng từ trường ( dự trữ trong cuộn cảm)
Năng lượng điện từ:
Lý thuyết Điện từ trường
Bài giảng: Bài 21+22: Điện từ trường - Sóng điện từ - Cô Phan Thanh Nga (Giáo viên VietJack)
I) Mối quan hệ giữa điện trường và từ trường
- Nếu tại một nơi có một từ trường biên thiên theo thời gian thì tại nơi đó xuất hiện một điện trường xoáy (là điện trường có đường sức điện là đường cong kín).
- Nếu tại một nơi có điện trường biến thiên theo thời gian thì tại nơi đó xuất hiện một tư trường. đường sức của từ trường bao giờ cũng khép kín.
II) Điện từ trường:
- Từ nhận xét trên ta thấy điện trường biến thiên và từ trường biến thiên có mối liên hệ mật thiết với nhau. Chúng cùng tồn tại, cùng biến đổi trong một trường thống nhất là điện từ trường.
So sánh giữa điện trường, từ trường, điện từ trường
| Điện trường | Từ trường | Điện từ trường | |
| Khái niệm | Tồn tại xung quanh điện tích và tác dụng lực điện lên điện tích đặt trong nó | Tồn tại xung quanh nam châm hoặc dòng điện và tác dụng lực từ | Tồn tại khi điện trường và từ trường biến thiên theo thời gian. |
| Đường sức |
có thể thay đổi theo không gian nhưng không thay đổi theo thời gian Là các đường không kín |
có thể thay đổi theo không gian nhưng không thay đổi theo thời gian Là các đường cong kín |
Cả đường sức từ và đường sức đều có thể thay đổi theo không gian, thay đổi theo thời gian. Là các đường cong kín |
III) Thuyết điện từ Măc-xoen:
- Là một hệ thống bốn phương tình diễn tả mối quan hệ giữa:
+) Điện tích, điện trường, dòng điện và từ trường.
+) Sự biến thiên cử từ trường theo thời gian và điện trường xoáy.
+) Sự biến thiên của điện trường theo thời gian và từ trường.
(199k) Xem Khóa học Vật Lí 12 KNTTXem Khóa học Vật Lí 12 CDXem Khóa học Vật Lí 12 CTST
Xem thêm các dạng bài tập Vật Lí lớp 12 có trong đề thi tốt nghiệp THPT khác:
Đã có app VietJack trên điện thoại, giải bài tập SGK, SBT Soạn văn, Văn mẫu, Thi online, Bài giảng....miễn phí. Tải ngay ứng dụng trên Android và iOS.
Theo dõi chúng tôi miễn phí trên mạng xã hội facebook và youtube:Nếu thấy hay, hãy động viên và chia sẻ nhé! Các bình luận không phù hợp với nội quy bình luận trang web sẽ bị cấm bình luận vĩnh viễn.
- Giải Tiếng Anh 12 Global Success
- Giải sgk Tiếng Anh 12 Smart World
- Giải sgk Tiếng Anh 12 Friends Global
- Lớp 12 Kết nối tri thức
- Soạn văn 12 (hay nhất) - KNTT
- Soạn văn 12 (ngắn nhất) - KNTT
- Giải sgk Toán 12 - KNTT
- Giải sgk Vật Lí 12 - KNTT
- Giải sgk Hóa học 12 - KNTT
- Giải sgk Sinh học 12 - KNTT
- Giải sgk Lịch Sử 12 - KNTT
- Giải sgk Địa Lí 12 - KNTT
- Giải sgk Giáo dục KTPL 12 - KNTT
- Giải sgk Tin học 12 - KNTT
- Giải sgk Công nghệ 12 - KNTT
- Giải sgk Hoạt động trải nghiệm 12 - KNTT
- Giải sgk Giáo dục quốc phòng 12 - KNTT
- Giải sgk Âm nhạc 12 - KNTT
- Giải sgk Mĩ thuật 12 - KNTT
- Lớp 12 Chân trời sáng tạo
- Soạn văn 12 (hay nhất) - CTST
- Soạn văn 12 (ngắn nhất) - CTST
- Giải sgk Toán 12 - CTST
- Giải sgk Vật Lí 12 - CTST
- Giải sgk Hóa học 12 - CTST
- Giải sgk Sinh học 12 - CTST
- Giải sgk Lịch Sử 12 - CTST
- Giải sgk Địa Lí 12 - CTST
- Giải sgk Giáo dục KTPL 12 - CTST
- Giải sgk Tin học 12 - CTST
- Giải sgk Hoạt động trải nghiệm 12 - CTST
- Giải sgk Âm nhạc 12 - CTST
- Lớp 12 Cánh diều
- Soạn văn 12 Cánh diều (hay nhất)
- Soạn văn 12 Cánh diều (ngắn nhất)
- Giải sgk Toán 12 Cánh diều
- Giải sgk Vật Lí 12 - Cánh diều
- Giải sgk Hóa học 12 - Cánh diều
- Giải sgk Sinh học 12 - Cánh diều
- Giải sgk Lịch Sử 12 - Cánh diều
- Giải sgk Địa Lí 12 - Cánh diều
- Giải sgk Giáo dục KTPL 12 - Cánh diều
- Giải sgk Tin học 12 - Cánh diều
- Giải sgk Công nghệ 12 - Cánh diều
- Giải sgk Hoạt động trải nghiệm 12 - Cánh diều
- Giải sgk Giáo dục quốc phòng 12 - Cánh diều
- Giải sgk Âm nhạc 12 - Cánh diều


Giải bài tập SGK & SBT
Tài liệu giáo viên
Sách
Khóa học
Thi online
Hỏi đáp

