Cách tính Vận tốc trung bình (cực hay)
Bài viết Cách tính Vận tốc trung bình với phương pháp giải chi tiết giúp học sinh ôn tập, biết cách làm bài tập Cách tính Vận tốc trung bình.
Cách tính Vận tốc trung bình (cực hay)
(199k) Xem Khóa học KHTN 8 KNTTXem Khóa học KHTN 8 CDXem Khóa học KHTN 8 CTST
A. Phương pháp giải
Học sinh cần nắm được các công thức tính quãng đường, vận tốc, thời gian
1. Các công thức cần nhớ
- Thời gian đi = quãng đường : vận tốc = giờ đến – giờ khởi hành – giờ nghỉ (nếu có).
- Giờ khởi hành = giờ đến nơi – thời gian đi – giờ nghỉ (nếu có).
- Giờ đến nơi = giờ khởi hành + thời gian đi + thời gian nghỉ (nếu có).
- Vận tốc = quãng đường : thời gian (v = s:t)
- Quãng đường = vận tốc × thời gian (s = v.t)
2. Vận tốc trung bình
- Vận tốc trung bình chỉ là một đại lượng mang tính quy ước, chúng ta tự đặt ra để dễ nghiên cứu về một chuyển động. Trên cả quãng đường, vật có thể không lúc nào chuyển động với vận tốc bằng vận tốc trung bình.
- Một vật chuyển động không đều (vận tốc thay đổi) thì vận tốc trung bình được xác định bằng tỷ số giữa tổng độ dài quãng đường và tổng thời gian
Vtrung bình = Tổng quãng đường : tổng thời gian
3. Phương pháp giải
Dạng 1 :
-Có thể tính được cả S và t.
-Cách làm: tính S và t ⇒ v = S/t.
Dạng 2 :
- Cho biết vận tốc trên từng phần quãng đường.
- Cách làm: Gọi S là độ dài cả quãng đường.
+ Tính tổng thời gian theo vận tốc trung bình và S
+ Tính tổng thời gian theo các vận tốc thành phần và S.
- Thời gian trong 2 cách tính bằng nhau nên ta có liên hệ giữa vận tốc trung bình với các vận tốc thành phần.
Dạng 3 :
- Cho biết vận tốc trong từng khoảng thời gian.
- Cách làm: Gọi t là tổng thời gian chuyển động hết quãng đường.
+ Tính tổng quãng đường theo vận tốc trung bình và t.
+ Tính tổng quãng đường theo vận tốc thành phần và t.
- Quãng đường trong 2 cách tính bằng nhau nên ta có liên hệ giữa vận tốc trung bình và các vận tốc thành phần.
B. Ví dụ minh họa
Ví dụ 1: Một người đi cơ quan về nhà mình, khoảng cách từ cơ quan đến nhà là 12km. Ban đầu người này đi đều với vận tốc 30km/h. Sau đó, vì đường khó đi nên vận tốc của xe thay đổi liên tục, lúc thì 24km/h, lúc thì 25km/h....Khi về gần đến nhà vận tốc của người đó giảm chỉ còn 10km/h. Vì vậy, tổng thời gian người đó đã đi là 45 phút. Vận tốc trung bình của xe trên quãng đường là:
A. 24km/h B. 20,5km/h
C. 16km/h D. 15km/h
Lời giải:
Đáp án C
- Đổi: 45 phút = 0,75 giờ
- Vận tốc trung bình của người đó trên quãng đường là:
Ví dụ 2: Một xe ô tô chuyển động từ A về B sau đó lại di chuyển từ B đến A. Ban đầu khi đi từ A về B vận tốc của xe là v1 = 40km/h, khi đi từ B đến A vận tốc của xe là v2 = 60km/h. Vận tốc trung bình của xe trên cả lộ trình là:
A. 48km/h B. 49km/h
C. 50km/h D. 51km/h
Lời giải:
Đáp án A
- Gọi S là độ dài quãng đường AB ⇒ Tổng đoạn đường ô tô đã đi là 2.S
- Gọi v là vận tốc trung bình của xe trên cả quãng đường AB, t là tổng thời gian ô tô đã đi trong cả quá trình.
- Thời gian đi từ A về B là:
- Mặt khác, theo bài ra ta có:
- Từ (1) và (2) ta có:
Ví dụ 3: Một xe tải chuyển động từ nhà máy sản xuất đến kho hàng. Nửa quãng đường đầu xe đi với vận tốc v1 = 26km/h, nửa quãng đường sau vận tốc của xe là v. Tính v biết vận tốc trung bình của xe trên cả quãng đường là 30km/h.
Lời giải:
- Gọi S (km) là độ dài quãng đường từ nhà máy đến kho hàng. Gọi t (h) là thời gian xe đi từ nhà máy đến kho hàng.
- Thời gian đi từ A về B là:
- Mặt khác, theo bài ra ta có:
- Từ (1) và (2) ta có:
Đs: 35,5km/h
C. Bài tập vận dụng
Câu 1: Trường THCS Lê Quý Đôn đi ô tô từ Nam Định đến một xã miền núi để làm từ thiện. Trong 1 giờ đầu tiên ô tô đi với vận tốc 50km/h. Trong 2 giờ tiếp theo ô tô đi vận tốc với 40km/h. 3 giờ cuối ô tô đi với vận tốc 20km/h. Vận tốc trung bình của ô tô trên cả đoạn đường là:
A. 31,7km/h B. 32,3km/h
C. 31,4km/h D. 32,1km/h
Lời giải:
Đáp án A
- Tổng thời gian ô tô đã đi là:
1 + 2 + 3 = 6 (giờ)
- Trong 1 giờ đầu tiên ô tô đi được:
1.50 = 50 (km)
- Trong 2 giờ tiếp theo ô tô đi được:
2.40 = 80 (km)
- 3 giờ cuối ô tô đi được:
3.20 = 60 (km)
- Tổng quãng đường ô tô đã đi là:
50 + 80 + 60 = 190 (km)
- Vận tốc trung bình của ô tô trên cả đoạn đường là:
190 : 6 = 31,7 (km/h)
Câu 2: Một xe khách đi từ bến xe lên thành phố. Nửa thời gian đầu vận tốc của xe là v1 = 60km/h, nửa thời gian sau vận tốc của xe là v2 = 40km/h. Vận tốc trung bình của xe trên cả quãng đường là:
A. 51,3km/h B. 50km/h
C. 49,7km/h D. 49km/h
Lời giải:
Đáp án B
- Gọi t là tổng thời gian xe chuyển động từ bến xe đến thành phố, v là vận tốc trung bình của xe, S là chiều dài đoạn đường từ bến xe đến thành phố.
- Độ dài quãng đường xe đã đi là: S = v.t (1)
- Theo bài ta có:
- Từ (1) và (2):
Câu 3: Cho một xe ô tô chạy trên một quãng đường trong 5 giờ. Biết 2 giờ đầu xe chạy với tốc độ trung bình 50km/h và 3 giờ sau xe chạy với tốc độ trung bình 40km/h. Vận tốc trung bình của xe trong suốt thời gian chuyển động là:
A. 45km/h B. 44km/h
C. 43km/h D. 42km/h
Lời giải:
Đáp án B
- Mà quãng đường ô tô đi trong 2 giờ đầu là:
2.50 = 100 (km)
- Quãng đường ô tô đi trong 3 giờ sau là:
3.40 = 120 (km)
- Vận tốc trung bình của xe trong suốt thời gian chuyển động là:
(100 + 120) : (2 + 3) = 44 (km/h)
Câu 4: Một xe máy đi từ A về B. Vận tốc của xe trong quãng đường AC là v1 = 40km/h, trong quãng đường CD là v2 = 60km/h và vận tốc trên quãng đường DB là v3 = 30km/h. Biết AC = CD = DB. Vận tốc trung bình của xe trên cả quãng đường là:
A. 50km/h B. 43,3km/h
C. 40km/h D. 38,5km/h
Lời giải:
Đáp án C
- Gọi S là độ dài quãng đường AB, gọi v là vận tốc trung bình của xe trên cả quãng đường AB.
- Thời gian đi từ A về B là:
- Mặt khác, theo bài ra ta có:
- Từ (1) và (2) ta có:
Câu 5: Một chiếc ca nô đi từ A về B. Vận tốc của ca nô trong 1/3 quãng đường đầu là v1 = 20km/h, trong 1/3 quãng đường tiếp theo là v2 = 25km/h và vận tốc trên quãng đường còn lại là v3. Tính v3 biết vận tốc trung bình của xe trên cả quãng đường là v = 22km/h.
A. 22km/h B. 21km/h
C. 22,3km/h D. 21,6km/h
Lời giải:
Đáp án D
- Gọi S là độ dài quãng đường AB, gọi v là vận tốc trung bình của ca nô trên cả quãng đường AB.
- Thời gian đi từ A về B là:
- Mặt khác, theo bài ra ta có:
- Từ (1) và (2) ta có:
Câu 6: Đoàn tàu hỏa bắc nam đi từ ga Hà Nội vào thành phố Hồ Chí Minh. Chặng đầu đoàn tàu đi mất 1/3 tổng thời gian với vận tốc v1 = 45km/h. Chặng giữa xe đi mất 1/2 tổng thời gian với vận tốc v2 = 60km/h. Chặng còn lại xe chuyển động với vận tốc v3 = 48km/h. Tính vận tốc của xe trên cả quãng đường?
Lời giải:
- Gọi t (h) là tổng thời gian đoàn tàu chuyển động từ ga Hà Nội vào thành phố Hồ Chí Minh, v là vận tốc trung bình của đoàn tàu trên cả đoạn đường.
- Thời gian xe đi hết chặng cuối là :
- Độ dài quãng đường từ ga Hà Nội vào thành phố Hồ Chí Minh là:
S = v.t (1)
- Theo bài ta có:
Từ (1) và (2):
Đáp số: 53km/h
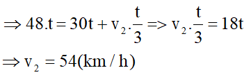
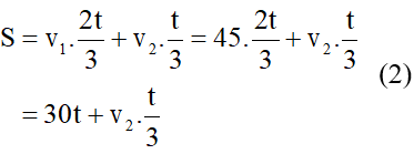
Câu 7: Một chiếc thuyền cao tốc đi từ bến A đến bến B. Trong 2/3 thời gian đầu vận tốc của thuyền là v1 = 45km/h, thời gian còn lại thuyền chuyển động với vận tốc v2 bằng bao nhiêu để vận tốc trung bình của nó trên cả quãng đường AB là v = 48km/h?
Lời giải:
- Gọi t (giờ) là tổng thời gian thuyền đi từ bến A đến B, v (km/h) là vận tốc trung bình của thuyền khi đi từ A đến B.
- Khoảng cách giữa hai bến A, B là:
S = v.t = 48t (1)
- Theo bài ta có:
Đáp số: 54km/h
Câu 8: Một người đi xe máy xuất phát từ A để đi đến B. Trong 3/4 quãng đường đầu, xe chuyển động với vận tốc 36km/h. Quãng đường còn lại xe chuyển động trong thời gian 12 phút với vận tốc 24km/h. Tính vận tốc trung bình của xe trên cả quãng đường AB?
Lời giải:
- Đổi 12 phút = 0,2 giờ
- Độ dài quãng đường sau là:
S2 = t2. v2 = 24. 0,2 = 4,8 (km)
- Độ dài quãng đường đầu là:
S1 = 3S2 = 3.4,8 = 14,4 (km)
- Tổng độ dài quãng đường AB là
S = S1 + S2 = 14,4 + 4,8 = 19,2 (km)
- Thời gian đi hết quãng đường đầu là:
⇒Tổng thời gian đi hết quãng đường AB là:
t = t1 + t2 = 0,2 + 0,4 = 0,6 (giờ)
- Vận tốc trung bình của xe trên cả quãng đường là:
Đáp số: 32km/h
Câu 9: Một cậu bé dắt chó đi dạo về nhà, khi còn cách nhà 10 mét, con chó chạy về nhà với vận tốc 5m/s.Vừa đến nhà nó lại chạy ngay lại với vận tốc 3m/s. Tính vận tốc trung bình của chú chó trong quãng đường đi được kể từ lúc chạy về nhà đến lúc gặp lại cậu bé, biết cậu bé đi đều với vận tốc 1m/s.
Lời giải:
- Thời gian chú chó về đến nhà là:
- Trong thời gian đó cậu bé đi được: 1.2 = 2 (m).
⇒ Khoảng cách từ cậu bé đến nhà lúc đó là:
S2 = 10 – 2 = 8 (m)
- Thời gian chú chó chạy từ nhà tới lúc gặp lại cậu bé là:
- Chú chó đã quay lại một đoạn là:
S3 = v2 .t2 = 3.2 = 6 (m)
- Tổng thời gian t = 4s , tổng quãng đường là S = 10 + 6 = 16 (m)
- Vận tốc trung bình của chú chó trong cả quá trình là:
v = .. (m/s)
Đáp số: 4m/s
Câu 10: Hai xe cùng xuất phát từ A để về B. Xe thứ nhất đi nửa quãng đường đầu với vận tốc v1, nửa quãng đường còn lại vận tốc của xe là v2. Xe thứ hai đi trong nửa thời gian đầu với vận tốc v1 nửa thời gian còn lại với vận tốc v2. Xe nào về đến B trước? Tại sao?
Lời giải:
- Gọi S là độ dài quãng đường AB. Vtb1, Vtb2 là vận tốc trung bình của xe trên cả quãng đường AB. T1; T2 là tổng thời gian xe chuyển động từ A về B
- Xét xe thứ nhất:
+ Thời gian đi từ A về B là:
+ Mặt khác, theo bài ra ta có:
+ Từ (1) và (2) ta có:
- Xét xe thứ hai:
+ Độ dài quãng đường AB là:
+ Theo bài ta có:
- Từ (*) và (**) ta có:
Vậy vận tốc trung bình của người thứ hai lớn hơn người thứ nhất, nên người thứ hai sẽ về đích trước.
(199k) Xem Khóa học KHTN 8 KNTTXem Khóa học KHTN 8 CDXem Khóa học KHTN 8 CTST
Xem thêm các dạng bài tập Vật Lí lớp 8 cực hay, có lời giải chi tiết khác:
- Dạng 6: Cách giải bài tập Công thức cộng vận tốc (cực hay)
- Dạng 7: Cách giải bài tập về Đồ thị chuyển động (cực hay)
- Dạng 8: Cách giải bài tập về Đòn bẩy (cực hay)
- Dạng 9: Cách giải bài tập về Ròng rọc (cực hay)
- Dạng 10: Cách giải bài tập về Mặt phẳng nghiêng (cực hay)
Xem thêm các loạt bài Để học tốt môn Vật Lí 8 hay khác:
Tủ sách VIETJACK shopee lớp 6-8 (2025):
Đã có app VietJack trên điện thoại, giải bài tập SGK, SBT Soạn văn, Văn mẫu, Thi online, Bài giảng....miễn phí. Tải ngay ứng dụng trên Android và iOS.
Theo dõi chúng tôi miễn phí trên mạng xã hội facebook và youtube:Loạt bài Lý thuyết - Bài tập Vật Lý 8 có đáp án của chúng tôi được biên soạn bám sát nội dung chương trình Vật Lý lớp 8.
Nếu thấy hay, hãy động viên và chia sẻ nhé! Các bình luận không phù hợp với nội quy bình luận trang web sẽ bị cấm bình luận vĩnh viễn.
- Giải Tiếng Anh 8 Global Success
- Giải sgk Tiếng Anh 8 Smart World
- Giải sgk Tiếng Anh 8 Friends plus
- Lớp 8 - Kết nối tri thức
- Soạn văn 8 (hay nhất) - KNTT
- Soạn văn 8 (ngắn nhất) KNTT
- Giải sgk Toán 8 - KNTT
- Giải sgk Khoa học tự nhiên 8 - KNTT
- Giải sgk Lịch Sử 8 - KNTT
- Giải sgk Địa Lí 8 - KNTT
- Giải sgk Giáo dục công dân 8 - KNTT
- Giải sgk Tin học 8 - KNTT
- Giải sgk Công nghệ 8 - KNTT
- Giải sgk Hoạt động trải nghiệm 8 - KNTT
- Giải sgk Âm nhạc 8 - KNTT
- Lớp 8 - Chân trời sáng tạo
- Soạn văn 8 (hay nhất) - CTST
- Soạn văn 8 (ngắn nhất) - CTST
- Giải sgk Toán 8 - CTST
- Giải sgk Khoa học tự nhiên 8 - CTST
- Giải sgk Lịch Sử 8 - CTST
- Giải sgk Địa Lí 8 - CTST
- Giải sgk Giáo dục công dân 8 - CTST
- Giải sgk Tin học 8 - CTST
- Giải sgk Công nghệ 8 - CTST
- Giải sgk Hoạt động trải nghiệm 8 - CTST
- Giải sgk Âm nhạc 8 - CTST
- Lớp 8 - Cánh diều
- Soạn văn 8 Cánh diều (hay nhất)
- Soạn văn 8 Cánh diều (ngắn nhất)
- Giải sgk Toán 8 - Cánh diều
- Giải sgk Khoa học tự nhiên 8 - Cánh diều
- Giải sgk Lịch Sử 8 - Cánh diều
- Giải sgk Địa Lí 8 - Cánh diều
- Giải sgk Giáo dục công dân 8 - Cánh diều
- Giải sgk Tin học 8 - Cánh diều
- Giải sgk Công nghệ 8 - Cánh diều
- Giải sgk Hoạt động trải nghiệm 8 - Cánh diều
- Giải sgk Âm nhạc 8 - Cánh diều


Giải bài tập SGK & SBT
Tài liệu giáo viên
Sách
Khóa học
Thi online
Hỏi đáp

