30+ Bài tập trắc nghiệm Sự nổi (có lời giải)
Tài liệu bài tập trắc nghiệm Sự nổi lớp 8 có lời giải mới nhất với câu hỏi & bài tập đa dạng đầy đủ các mức độ nhận biết, thông hiểu, vận dụng, vận dụng cao giúp bạn biết cách làm bài tập Vật Lí 8.
30+ Bài tập trắc nghiệm Sự nổi (có lời giải)
(199k) Học KHTN 8 KNTTHọc KHTN 8 CDHọc KHTN 8 CTST
Bài 1: Khi lực đẩy Ác-si-mét nhỏ hơn trọng lượng thì:
A. Vật chìm xuống
B. Vật nổi lên
C. Vật lơ lửng trong chất lỏng
D. Vật chìm xuống đáy chất lỏng
Lời giải:
Vật chìm xuống khi lực đẩy Ác-si-mét FA nhỏ hơn trọng lượng P: FA < P
Đáp án cần chọn là: A
Bài 2: Phát biểu nào sau đây đúng?
A. Khi lực đẩy Ác-si-mét nhỏ hơn trọng lượng thì vật chìm xuống.
B. Khi lực đẩy Ác-si-mét nhỏ hơn trọng lượng thì vật nổi lên.
C. Khi lực đẩy Ác-si-mét nhỏ hơn trọng lượng thì vật lơ lửng trong chất lỏng.
D. Khi lực đẩy Ác-si-mét nhỏ hơn trọng lượng thì vật chìm xuống đáy chất lỏng.
Lời giải:
Vật chìm xuống khi lực đẩy Ác-si-mét FA nhỏ hơn trọng lượng P: FA<P
Đáp án cần chọn là: A
Bài 3: Khi vật nổi trên chất lỏng thì lực đẩy Ác-si-mét có cường độ:
A. Nhỏ hơn trọng lượng của vật
B. Lớn hơn trọng lượng của vật
C. Bằng trọng lượng của vật
D. Nhỏ hơn hoặc bằng trọng lượng của vật
Lời giải:
Nếu ta thả vật ở trong chất lỏng thì: Vật nổi lên khi: FA > P
Đáp án cần chọn là: B
Bài 4: Khi lực đẩy Ác-si-mét lớn hơn trọng lượng vật thì:
A. Vật chìm xuống
B. Vật nổi lên
C. Vật lơ lửng trong chất lỏng
D. Vật chìm xuống đáy chất lỏng
Lời giải:
Nếu ta thả vật ở trong chất lỏng thì: Vật nổi lên khi: FA>P
Đáp án cần chọn là: B
Bài 5: Nếu gọi P là trọng lượng của vật, F là lực đẩy Ác-si-mét tác dụng lên vật được nhúng chìm hoàn toàn trong chất lỏng. Điều kiện để vật nổi trên bề mặt chất lỏng
A. F < P
B. F = P
C. F > P
D. F P
Lời giải:
Nếu ta thả vật ở trong chất lỏng thì: Vật nổi lên khi: FA > P
Đáp án cần chọn là: C
Bài 6: Một vật nằm trong chất lỏng. Phát biểu nào sau đây là đúng nhất khi nói về các lực tác dụng lên vật?
A. Vật nằm trong chất lỏng chịu tác dụng của một lực duy nhất là trọng lực
B. Vật nằm trong chất lỏng chịu tác dụng của một lực duy nhất là lực đẩy Ac-si-mét
C. Vật nằm trong chất lỏng chịu tác dụng của trọng lực và lực đẩy Ac-si-mét có phương thẳng đứng và ngược chiều nhau
D. Vật nằm trong chất lỏng chịu tác dụng của trọng lực và lực đẩy Ac-si-mét có phương thẳng đứng và cùng chiều nhau
Lời giải:
Vật nằm trong chất lỏng chịu tác dụng của trọng lực và lực đẩy Ac-si-mét có phương thẳng đứng và ngược chiều nhau
Đáp án cần chọn là: C
Bài 7: Chọn câu đúng: Một vật nằm trong chất lỏng chịu tác dụng:
A. một lực duy nhất là trọng lực.
B. một lực duy nhất là lực đẩy Ac-si-mét.
C. trọng lực và lực đẩy Ac-si-mét có phương thẳng đứng và ngược chiều nhau.
D. trọng lực và lực đẩy Ac-si-mét có phương thẳng đứng và cùng chiều nhau.
Lời giải:
Vật nằm trong chất lỏng chịu tác dụng của trọng lực và lực đẩy Ac-si-mét có phương thẳng đứng và ngược chiều nhau.
Đáp án cần chọn là: C
Bài 8: Tại sao miếng gỗ thả vào nước thì nổi. Hãy chọn câu đúng?
A. Vì trọng lượng riêng của gỗ nhỏ hơn trọng lượng riêng của nước
B. Vì trọng lượng riêng của gỗ lớn hơn trọng lượng riêng của nước
C. Vì gỗ là vật nhẹ
D. Vì gỗ không thấm nước
Lời giải:
Ta có:
+ Trọng lượng: P = dvV
+ Lực đẩy Ác-si-mét: FA = dclongV
+ Vật nổi lên khi: FA > P
Ta suy ra: dclong > dvat
=> Gỗ thả vào nước thì nổi vì trọng lượng riêng của gỗ nhỏ hơn trọng lượng riêng của nước
Đáp án cần chọn là: A
Bài 9: Tại sao thỏi nhôm thả vào nước thì chìm. Hãy chọn câu đúng?
A. Vì trọng lượng riêng của nhôm nhỏ hơn trọng lượng riêng của nước
B. Vì trọng lượng riêng của nhôm lớn hơn trọng lượng riêng của nước
C. Vì nhôm là vật nặng
D. Vì nhôm không thấm nước
Lời giải:
Ta có:
+ Trọng lượng: P = dvV
+ Lực đẩy Ác-si-mét: FA=dclongV
+ Vật chìm lên khi: FA < P
Ta suy ra: dclong < dvat
=> Nhôm thả vào nước thì chìm vì trọng lượng riêng của nhôm lớn hơn trọng lượng riêng của nước.
Đáp án cần chọn là: B
Bài 10: Chọn phát biểu không đúng. Công thức về lực đẩy Ác-si-mét F = dV với d là trọng lượng riêng của chất lỏng, còn V là gì?
A. Thể tích của phần chất lỏng bị vật chiếm chỗ
B. Thể tích của vật
C. Thể tích của phần vật chìm trong nước
D. Thể tích phần chất lỏng dâng lên thêm khi có vật trong chất lỏng
Lời giải:
Khi vật nổi trên mặt chất lỏng thì lực đẩy Ác-si-mét: FA = d.V
Trong đó:
+ FA : Lực đẩy Ác-si-mét (N)
+ d: trọng lượng riêng của chất lỏng (N/m3)
+ V: thể tích phần chất lỏng bị vật chiếm chỗ trong chất lỏng (m3)
V là thể tích của phần vật chìm trong chất lỏng chứ không phải là thể tích của vật.
=> Phương án B - sai
Đáp án cần chọn là: B
Bài 11: Trong công thức tính lực đẩy Acsimet: FA = dV, V là:
A. Thể tích của vật
B. Thể tích chất lỏng chứa vật
C. Thể tích phần chất lỏng bị vật chiếm chỗ
D. Thể tích phần chất lỏng không bị vật chiếm chỗ
Lời giải:
Công thức tính lực đẩy Ác-si-mét: FA= d.V
Trong đó:
+ d: là trọng lượng riêng của chất lỏng (N/m3)
+ V: thể tích phần chất lỏng bị vật chiếm chỗ (m3)
Đáp án cần chọn là: C
Bài 12: Gọi dV là trọng lượng riêng của vật, d là trọng lượng riêng của chất lỏng. Điều nào sau đây không đúng?
A. Vật chìm xuống khi dV > d
B. Vật chìm xuống đáy khi dV = d
C. Vật lơ lửng trong chất lỏng khi dV = d
D. Vật sẽ nổi lên khi dV < d
Lời giải:
Ta có:
+ Trọng lượng: P = dvV
+ Lực đẩy Ác-si-mét: FA = dV
+ Các trường hợp của vật khi ở trong chất lỏng:
- Vật chìm xuống khi:FA < P → d < dv
- Vật nổi lên khi: FA > P → d > dv
- Vật lơ lửng trong chất lỏng khi: FA = P → d = dv
Đáp án cần chọn là: B
Bài 13: Gọi dv là trọng lượng riêng của vật, d là trọng lượng riêng của chất lỏng. Chọn đáp án đúng?
A. Vật chìm xuống khi dV < d
B. Vật chìm xuống đáy khi dV = d
C. Vật lơ lửng trong chất lỏng khi dV = d
D. Vật sẽ nổi lên khi dV > d
Lời giải:
Ta có:
+ Trọng lượng: P = dvV
+ Lực đẩy Ác-si-mét: FA = dV
+ Các trường hợp của vật khi ở trong chất lỏng:
- Vật chìm xuống khi: FA < P → d < dv
- Vật nổi lên khi: FA > P → d > dv
- Vật lơ lửng trong chất lỏng khi: FA = P → d = dv
Đáp án cần chọn là: C
Bài 14: Thả hòn bi thép vào thủy ngân thì hiện tượng xảy ra như thế nào? Biết thép có trọng lượng riêng 78500N/m3, thủy ngân có trọng lượng riêng là 136000N/m3
A. Bi lơ lửng trong thủy ngân
B. Bi chìm hoàn toàn trong thủy ngân
C. Bi nổi trên mặt thoáng của thủy ngân
D. Bi chìm đúng
thể tích của nó trong thủy ngân
Lời giải:
Từ đầu bài, ta có trọng lượng riêng của viên bi thép nhỏ hơn trọng lượng riêng của thủy ngân
Ta có:
+ Trọng lượng: P = dvV
+ Lực đẩy Ác-si-mét: FA = dV
=> Ta suy ra P < FA → viên bi thép nổi trên mặt thoáng của thủy ngân
Đáp án cần chọn là: C
Bài 15: Thả một quả cầu đặc bằng đồng vào 1 chậu đựng thủy ngân. Biết đồng có trọng lượng riêng 89000N/m3, thủy ngân có trọng lượng riêng là 136000N/m3. Nhận xét nào sau đây là đúng?
A. Quả cầu chìm vì dđồng > dthuỷ ngân
B. Quả cầu nổi vì dđồng < dthuỷ ngân
C. Quả cầu nổi vì dđồng > dthuỷ ngân
D. Quả cầu chìm vì dđồng < dthuỷ ngân
Lời giải:
Từ đầu bài, ta có trọng lượng riêng của viên bi đồng nhỏ hơn trọng lượng riêng của thủy ngân
Ta có:
+ Trọng lượng: P = dvV
+ Lực đẩy Ác-si-mét: FA = dV
=> Ta suy ra P < FA → viên bi đồng nổi trên mặt thoáng của thủy ngân
Đáp án cần chọn là: B
Bài 16: Khi vật nổi trên nước thì lực đẩy Ác-si-mét được tính như thế nào? Hãy chọn câu đúng
A. Bằng trọng lượng phần của vật chìm trong nước
B. Bằng trọng lượng phần nước bị vật chiếm chỗ
C. Bằng trọng lượng của vật
D. Bằng trọng lượng riêng của nước nhân với thể tích của vật
Lời giải:
Nếu ta thả vật ở trong chất lỏng thì:
- Vật chìm xuống khi lực đẩy Ác-si-mét FA nhỏ hơn trọng lượng P: FA < P
- Vật nổi lên khi: FA > P
- Vật lơ lửng trong chất lỏng khi: FA = P
Mặt khác, ta có lực đẩy Ác-si-mét: FA = d.V trong đó V: thể tích phần chất lỏng bị vật chiếm chỗ trong chất lỏng (m3)
=> Khi vật nổi trên nước thì lực đẩy Ác-si-mét bằng trọng lượng phần nước bị vật chiếm chỗ
Đáp án cần chọn là: B
Bài 17: Cùng một vật nổi trong hai chất lỏng khác nhau có trọng lượng riêng d1 và d2 như hình vẽ. Sự so sánh nào sau đây là đúng?

A. d1 > d2
B. d1 < d2
C. Lực đẩy Ác-si-mét trong hai trường hợp là như nhau
D. Trọng lượng của phần chất lỏng bị vật choán chỗ trong hai trường hợp là như nhau
Lời giải:
Từ hình, ta thấy vật đó trong chất lỏng thứ hai chìm sâu hơn ở trong chất lỏng thứ nhất.
=> Lực đẩy Ác-si-mét ở trong chất lỏng thứ hai nhỏ hơn ở trong chất lỏng thứ nhất
Ta có: V2 > V1
→d2 < d1
Đáp án cần chọn là: A
Bài 18: Hai vật A và B có cùng thể tích được nhúng ngập vào nước. Vật A chìm xuống đáy bình còn vật B lơ lửng trong nước. Gọi PA, FA là trọng lượng và lực đẩy Ac-si-mét tác dụng lên vật A; PB, FB là trọng lượng và lực đẩy Ac-si-mét tác dụng lên vật B. Các kết quả sau, kết quả nào sai?
A. FA = FB
B. FA < PA
C. PA > PB
D. FB < PB
Lời giải:
Ta có:
+ Vật A chìm xuống đáy bình →FA < PA (1)
Vật B lơ lửng trong nước → FB = PB (2)
+ Vật A và B có cùng thể tích V
=> Lực đẩy Ác-si-mét của hai vật A và B bằng nhau FA = FB (3)
Từ (1), (2) và (3), ta suy ra:
=> Phương án D sai
Đáp án cần chọn là: D
Bài 19: Hai vật A và B có cùng thể tích được nhúng ngập vào nước. Vật A chìm xuống đáy bình còn vật B lơ lửng trong nước. Gọi PA, FA là trọng lượng và lực đẩy Ac-si-mét tác dụng lên vật A; PB, FB là trọng lượng và lực đẩy Ac-si-mét tác dụng lên vật B. Các kết quả sau, kết quả nào đúng?
A. FA < FB
B. FA > PA
C. PA > PB
D. FB < PB
Lời giải:
Ta có:
+ Vật A chìm xuống đáy bình →FA < PA (1)
Vật B lơ lửng trong nước → FB = PB (2)
+ Vật A và B có cùng thể tích V
=> Lực đẩy Ác-si-mét của hai vật A và B bằng nhau FA = FB (3)
Từ (1), (2) và (3), ta suy ra:
=> Phương án C đúng
Đáp án cần chọn là: C
Bài 20: Một chiếc xà lan có dạng hình hộp dài 4m, rộng 2m. Biết xà lan lơ lửng trong nước 0,5m; khối lượng riêng cua nước 1000kg/m3. Xà lan có trọng lượng bao nhiêu? Hãy chọn câu đúng
A. 40000N
B. 50000N
C. 45000N
D. Một giá trị khác
Lời giải:
Ta có:
+ Xà lan lơ lửng trong nước => P = FA
+ Lực đẩy Ác-si-mét: FA = dV
+ Trọng lượng riêng của chất lỏng: d = 10D = 10.1000 = 10000N/m3
+ Thể tích xà lan ngập trong nước là: V= 4.2.0,5 = 4m3
→P = FA = dV = 10000.4 = 40000N
Đáp án cần chọn là: A
Bài 21: Một vật đặc có thể tích 56cm3 được thả vào một bể nước, người ta đo được phần nổi lên trên có thể tích 52,8cm3. Biết khối lượng riêng của nước 1000kg/m3. Trọng lượng của vật đó là:
A. 0.032N
B. 0.32N
C. 0.064N
D. 0.64N
Lời giải:
Ta có:
+ Vật lơ lửng trong nước => P = FA
+ Lực đẩy Ác-si-mét: FA = dV
+ Trọng lượng riêng của chất nước: d = 10D = 10.1000 = 10000N/m3
+ Thể tích vật ngập trong nước là:
V = Vvat – Vnoi = 56 − 52,8 = 3,2cm3 = 3,2.10−6m3
→P = FA = dV = 10000.3,2.10−6 = 0,032N
Đáp án cần chọn là: A
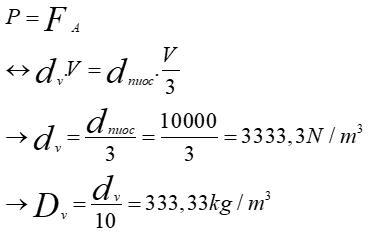
Bài 22: Một vật hình cầu thể tích V thả vào chậu nước nó chỉ chìm trong nước một phần ba, hai phần ba còn lại nổi trên nước. Biết khối lượng riêng của nước là 1000kg/m3. Khối lượng riêng chất làm quả cầu là bao nhiêu?
A. 233,3kg/m3
B. 433,3kg/m3
C. 333,3kg/m3
D. Một giá trị khác
Lời giải:

Ta có:
+ Vật chịu tác dụng của lực đẩy Ác-si-mét hướng lên và trọng lượng hướng xuống
Thể tích của vật là V
Theo đầu bài, vật chìm trong nước
còn lại nổi trên mặt nước
+ Lực đẩy Ác-si-mét tác dụng lên vật:
+ Trọng lượng riêng của nước: dnuoc = 10.Dnuoc = 10.1000 = 10000N/m3
+ Trọng lượng của vật: P = dvV
Vật nằm cân bằng trong nước, ta suy ra:
Đáp án cần chọn là: C
Bài 23: Thả một vật vào trong một chất lỏng thì thấy phần thể tích gỗ ngập trong chất lỏng bằng ½ thể tích miếng gỗ. Biết khối lượng riêng của chất lỏng là 1200kg/m3. Khối lượng riêng của vật là:
A. 600kg/m3
B. 1500kg/m3
C. 1800kg/m3
D. 1000kg/m3
Lời giải:
Ta có:
+ Vật chịu tác dụng của lực đẩy Ác-si-mét hướng lên và trọng lượng hướng xuống
Thể tích của vật là V
Theo đầu bài, vật chìm trong nước
còn lại nổi trên mặt nước
+ Lực đẩy Ác-si-mét tác dụng lên vật:
+ Trọng lượng riêng của chất lỏng: dclong = 10.Dclong = 10.1200 = 12000N/m3
+ Trọng lượng của vật: P = dvV
Vật nằm cân bằng trong chất lỏng, ta suy ra:
Đáp án cần chọn là: A
Bài 24: Thả một vật hình cầu có thể tích V vào dầu hỏa, thấy ½ thể tích vật bị chìm vào dầu. Biết khối lượng riêng của dầu là 800kg/m3. Hỏi khối lượng riêng của chất làm quả cầu là
A. 380kg/m3
B. 450kg/m3
C. 420kg/m3
D. 400kg/m3
Lời giải:
Ta có:
+ Vật chịu tác dụng của lực đẩy Ác-si-mét hướng lên và trọng lượng hướng xuống
Thể tích của vật là V
Theo đầu bài, vật chìm trong nước
còn lại nổi trên mặt nước
+ Lực đẩy Ác-si-mét tác dụng lên vật:
+ Trọng lượng riêng của chất lỏng: ddau = 10.Ddau = 10.800 = 8000N/m3
+ Trọng lượng của vật: P = dvV
Vật nằm cân bằng trong chất lỏng, ta suy ra:
Đáp án cần chọn là: D
Bài 25: Một vật trọng lượng riêng là 26000N/m3. Treo vật vào lực kế rồi nhúng vật ngập trong nước thì lực kế chỉ 150N. Biết trọng lượng riêng của nước là 10000N/m3. Hỏi ngoài không khí thì lực kế chỉ bao nhiêu?
A. 2437,5N
B. 243,75N
C. 24,375N
D. Một giá trị khác
Lời giải:
+ Khi vật ở ngoài không khí, số chỉ lực kế chính là trọng lực của quả cầu: P = dV = 26000V(N)
+ Khi nhúng chìm vật vào trong nước thì quả cầu chịu tác dụng của lực đẩy Acsimét và trọng lực.
Lực đẩy Acsimét tác dụng lên quả cầu: FA = dnuocV = 10000V(N)
Số chỉ của lực kế là:
F = P – FA = 150N
↔ 26000V − 10000V = 150
→ V = 9,375.10−3m3
=> Trọng lượng của vật: P = dV = 26000.9,375.10−3 = 243,75(N)
Đáp án cần chọn là: B
Bài 26: Một vật trọng lượng riêng là 27000N/m3. Treo vật vào lực kế rồi nhúng vật ngập trong dầu thì lực kế chỉ 120N. Biết trọng lượng riêng của dầu là 8000N/m3. Hỏi ngoài không khí thì lực kế chỉ bao nhiêu?
A. 170,5N
B. 243,75N
C. 204,375N
D. 175,0N
Lời giải:
+ Khi vật ở ngoài không khí, số chỉ lực kế chính là trọng lực của quả cầu:
P = dV = 27000V(N)
+ Khi nhúng chìm vật vào trong dầu thì quả cầu chịu tác dụng của lực đẩy Acsimét và trọng lực.
Lực đẩy Acsimét tác dụng lên quả cầu: FA = ddauV = 8000V(N)
Số chỉ của lực kế là:
F = P – FA = 120N
<=> 27000V - 8000V = 120
=> V = 6,316.10−3 m3
=> Trọng lượng của vật: P = dV = 27000.6,316.10−3 = 170,5(N)
Đáp án cần chọn là: A
Bài 27: Một vật khối lượng riêng 400kg/m3 thả trong cốc nước có khối lượng riêng 1000kg/m3. Hỏi vật chìm bao nhiêu phần trăm thể tích của nó trong nước?
A. 30%
B. 40%
C. 35%
D. 45%
Lời giải:
Gọi V, V′ lần lượt là thể tích của vật và thể tích phần chìm trong nước của vật
D, D′ lần lượt là khối lượng riêng của vật và của nước
+ Trọng lượng của vật là: P = dvV = 10DV
+ Lực đẩy Ác-si-mét: FA = dV′ = 10D′V′
Khi vật cân bằng trong nước, ta có:
=> Tỉ lệ phần trăm thể tích của vật chìm trong nước là:
Đáp án cần chọn là: B
Bài 28: Một vật khối lượng riêng 780kg/m3thả trong dầu có khối lượng riêng 800kg/m3. Hỏi vật chìm bao nhiêu phần trăm thể tích của nó trong dầu?
A. 80%
B. 80,5%
C. 90%
D. 97,5%
Lời giải:
Gọi V, V′ lần lượt là thể tích của vật và thể tích phần chìm trong dầu của vật
D,D′D,D′ lần lượt là khối lượng riêng của vật và của dầu
+ Trọng lượng của vật là: P = dvV = 10DV
+ Lực đẩy Ác-si-mét: FA = dV′ = 10D′V′
Khi vật cân bằng trong dầu, ta có:
P = FA
=> Tỉ lệ phần trăm thể tích của vật chìm trong nước là:
Đáp án cần chọn là: D
Bài 29: Một cục nước đá có thể tích V = 500cm3 nổi trên mặt nước. Biết khối lượng riêng của nước đá là 0,92g/cm3, trọng lượng riêng nước là 10000N/m3. Hỏi thể tích của phần nước đá ló ra khỏi mặt nước là bao nhiêu?
A. 30cm3
B. 50cm3
C. 40cm3
D. 60cm3
Lời giải:
Gọi V1V1 là thể tích của phần nước đá chìm trong nước
Đổi đơn vị:
V = 500cm3 = 5.10−4m3
Dda = 0,92g/cm3 = 920kg/m3
+ Trọng lượng riêng của nước đá: dda = 10Dda = 10.920 = 9200N/m3
+ Trọng lượng của cục nước đá là: P = ddaV = 9200.5.10−4 = 4,6N
+ Lực đẩy Ác-si-mét: FA = dV1 = 10000V1
Khi vật cân bằng trong nước, ta có:
Ta suy ra phần thể tích ló ra khỏi mặt nước là:
Đáp án cần chọn là: C
Bài 30: Một cục nước đá có thể tích V = 650cm3 nổi trên mặt một chất lỏng. Biết khối lượng riêng của nước đá là 0,92g/cm3, trọng lượng riêng chất lỏng là 12000N/m3. Hỏi thể tích của phần nước đá ló ra khỏi mặt nước là bao nhiêu?
A. 147cm3
B. 152cm3
C. 120cm3
D. 160cm3
Lời giải:
Gọi V1 là thể tích của phần nước đá chìm trong nước
Đổi đơn vị:
V = 650cm3 = 6,5.10−4m3
Dda = 0,92g/cm3 = 920kg/m3
+ Trọng lượng riêng của nước đá: dda = 10Dda = 10.920 = 9200N/m3
+ Trọng lượng của cục nước đá là: P = ddaV = 9200.6,5.10−4 = 5,98N
+ Lực đẩy Ác-si-mét: FA = dV1 = 12000V1
Khi vật cân bằng trong nước, ta có:
Ta suy ra phần thể tích ló ra khỏi mặt nước là:
Đáp án cần chọn là: B
(199k) Học KHTN 8 KNTTHọc KHTN 8 CDHọc KHTN 8 CTST
Xem thêm câu hỏi & bài tập trắc nghiệm Vật Lí lớp 8 chọn lọc, có đáp án mới nhất hay khác:
- 44+ Bài tập trắc nghiệm Công cơ học (có lời giải)
- 25+ Bài tập trắc nghiệm Định luật về công (có lời giải)
- 39+ Bài tập trắc nghiệm Công suất (có lời giải)
- 38+ Bài tập trắc nghiệm Cơ năng; Sự chuyển hóa và bảo toàn cơ năng (có lời giải)
- 35+ Bài tập Các chất được cấu tạo như thế nào; Nguyên tử, phân tử chuyển động hay đứng yên (có lời giải)
Xem thêm các loạt bài Để học tốt môn Vật Lí 8 hay khác:
Tủ sách VIETJACK shopee lớp 6-8 (2025):
Đã có app VietJack trên điện thoại, giải bài tập SGK, SBT Soạn văn, Văn mẫu, Thi online, Bài giảng....miễn phí. Tải ngay ứng dụng trên Android và iOS.
Theo dõi chúng tôi miễn phí trên mạng xã hội facebook và youtube:Loạt bài Lý thuyết - Bài tập Vật Lý 8 có đáp án của chúng tôi được biên soạn bám sát nội dung chương trình Vật Lý lớp 8.
Nếu thấy hay, hãy động viên và chia sẻ nhé! Các bình luận không phù hợp với nội quy bình luận trang web sẽ bị cấm bình luận vĩnh viễn.
- Giải Tiếng Anh 8 Global Success
- Giải sgk Tiếng Anh 8 Smart World
- Giải sgk Tiếng Anh 8 Friends plus
- Lớp 8 - Kết nối tri thức
- Soạn văn 8 (hay nhất) - KNTT
- Soạn văn 8 (ngắn nhất) KNTT
- Giải sgk Toán 8 - KNTT
- Giải sgk Khoa học tự nhiên 8 - KNTT
- Giải sgk Lịch Sử 8 - KNTT
- Giải sgk Địa Lí 8 - KNTT
- Giải sgk Giáo dục công dân 8 - KNTT
- Giải sgk Tin học 8 - KNTT
- Giải sgk Công nghệ 8 - KNTT
- Giải sgk Hoạt động trải nghiệm 8 - KNTT
- Giải sgk Âm nhạc 8 - KNTT
- Lớp 8 - Chân trời sáng tạo
- Soạn văn 8 (hay nhất) - CTST
- Soạn văn 8 (ngắn nhất) - CTST
- Giải sgk Toán 8 - CTST
- Giải sgk Khoa học tự nhiên 8 - CTST
- Giải sgk Lịch Sử 8 - CTST
- Giải sgk Địa Lí 8 - CTST
- Giải sgk Giáo dục công dân 8 - CTST
- Giải sgk Tin học 8 - CTST
- Giải sgk Công nghệ 8 - CTST
- Giải sgk Hoạt động trải nghiệm 8 - CTST
- Giải sgk Âm nhạc 8 - CTST
- Lớp 8 - Cánh diều
- Soạn văn 8 Cánh diều (hay nhất)
- Soạn văn 8 Cánh diều (ngắn nhất)
- Giải sgk Toán 8 - Cánh diều
- Giải sgk Khoa học tự nhiên 8 - Cánh diều
- Giải sgk Lịch Sử 8 - Cánh diều
- Giải sgk Địa Lí 8 - Cánh diều
- Giải sgk Giáo dục công dân 8 - Cánh diều
- Giải sgk Tin học 8 - Cánh diều
- Giải sgk Công nghệ 8 - Cánh diều
- Giải sgk Hoạt động trải nghiệm 8 - Cánh diều
- Giải sgk Âm nhạc 8 - Cánh diều


Giải bài tập SGK & SBT
Tài liệu giáo viên
Sách
Khóa học
Thi online
Hỏi đáp

