15+ Bài tập trắc nghiệm Công suất điện (có lời giải)
Tài liệu bài tập trắc nghiệm Công suất điện lớp 9 có lời giải mới nhất với câu hỏi & bài tập đa dạng đầy đủ các mức độ nhận biết, thông hiểu, vận dụng, vận dụng cao giúp bạn biết cách làm bài tập Vật Lí 9.
15+ Bài tập trắc nghiệm Công suất điện (có lời giải)
(199k) Học KHTN 9 KNTTHọc KHTN 9 CDHọc KHTN 9 CTST
Bài 1: Công suất điện cho biết:
A. Khả năng thực hiện công của dòng điện.
B. Năng lượng của dòng điện.
C. Lượng điện năng sử dụng trong một đơn vị thời gian.
D. Mức độ mạnh - yếu của dòng điện.
Lời giải
Công suất điện cho biết lượng điện năng sử dụng trong một đơn vị thời gian.
Đáp án: C
Bài 2: Công thức liên hệ công suất của dòng điện, cường độ dòng điện, trên một đoạn mạch giữa hai đầu có hiệu điện thế U là:

Lời giải
Công suất điện trong một đoạn mạch bằng tích hiệu điện thế giữa hai đầu đoạn mạch với cường độ dòng điện qua nó.
Công thức: P = UI
Đáp án: A
Bài 3: Một bếp điện có điện trở R được mắc vào hiệu điện thế U thì dòng điện qua nó có cường độ I. Khi đó công suất của bếp là P. Biểu thức nào sau đây xác định P không đúng?
Lời giải
Ta có công suất của bếp: P = UI
Mặt khác: 
Ta suy ra: 
Đáp án: A
Bài 4: Có hai điện trở R1 và R2 = 2R1 được mắc song song vào một hiệu điện thế không đổi. Công suất điện P1, P2 tương ứng trên hai điện trở này có mối quan hệ nào dưới đây?
A. P1 = P2
B. P2 = 2P1
C. P1 = 2P2
D. P1 = 4P2
Lời giải
+ Vì hai điện trở R1 và R2 được mắc song song vào một hiệu điện thế không đổi U, nên ta có:
U = U1 = U2
+ Công suất trên hai điện trở:

Từ đây, ta suy ra: 
Đáp án: C
Bài 5: Trên nhiều dụng cụ điện trong gia đình thường có ghi 220V và số oát (W). Số oát này có ý nghĩa gì?
A. Công suất tiêu thụ điện của dụng cụ khi nó được sử dụng với những hiệu điện thế nhỏ hơn 220V
B. Công suất tiêu thụ điện của dụng cụ khi nó được sử dụng với đúng hiệu điện thế 220V
C. Công mà dòng điện thực hiện trong một phút khi dụng cụ này được sử dụng với đúng hiệu điện thế 220V
D. Điện năng mà dụng cụ tiêu thụ trong một giờ khi nó được sử dụng với đúng hiệu điện thế 220V
Lời giải
Số oát trên dụng cụ tiêu thụ điện có ý nghĩa công suất tiêu thụ điện của dụng cụ khi nó được sử dụng đúng với hiệu điện thế 220V
Đáp án: B
Bài 6: Trên bóng đèn có ghi (6V-3W ). Khi đèn sáng bình thường thì dòng điện chạy qua đèn có cường độ là:
A. 0,5 A
B. 2 A
C. 18 A
D. 1,5 A
Lời giải
Ta có:
+ Số chỉ trên bóng đèn cho biết hiệu điện thế định mức và công suất định mức:

+ Khi đèn sáng bình thường thì dòng điện chạy qua đèn có giá trị:

Đáp án: A
Bài 7: Một bóng đèn có ghi (220V - 60W) mắc vào một nguồn điện. Khi đó cường độ dòng điện qua đèn là 0,18A thì ta thấy đèn sáng:
A. bình thường
B. sáng yếu
C. sáng mạnh
D. không sáng
Lời giải
Ta có:
+ Số chỉ trên bóng đèn cho biết hiệu điện thế định mức và công suất định mức:
U = 220V, P = 60W
+ Khi đèn sáng bình thường thì dòng điện chạy qua đèn có giá trị:

=> Khi cường độ dòng điện qua đèn là 0,18A < I
=> Đèn sáng yếu hơn bình thường.
Đáp án: B
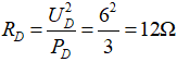
Bài 8: Bóng đèn ghi 12V- 100W. Tính điện trở của đèn
A. 2Ω
B. 7,23Ω
C. 1, 44Ω
D. 23Ω
Lời giải
Ta có:
+ U = 12V, P = 100W
+ Áp dụng biểu thức: 
Đáp án: C
Bài 9: Bóng đèn có điện trở 8Ω và cường độ dòng điện định mức là 2A. Tính công suất định mức của bóng đèn?
A. 32W
B. 16W
C. 4W
D. 0,5W
Lời giải
Công suất định mức của bóng đèn:

Đáp án: A
Bài 10: Bóng đèn có điện trở 9Ω và hiệu điện thế qua nó là 24V thì nó sáng bình thường. Tính công suất định mức của bóng đèn?
A. 22W
B. 32W
C. 72W
D. 64W
Lời giải
Công suất định mức của bóng đèn: 
Đáp án: D
Bài 11: Ở công trường xây dựng có sử dụng một máy nâng, để nâng khối vật liệu có trọng lượng 2000N lên tới độ cao 15m trong thời gian 40 giây. Phải dùng động cơ điện có công suất nào dưới đây là thích hợp cho máy nâng này nếu tính cả công suất hao phí?
A. 120 kW.
B. 700 W.
C. 0,8 kW.
D. 300 W.
Lời giải
Ta có:
+ Công suất có ích để nâng vật là: 
Nếu bỏ qua công suất hao phí, để nâng được vật trên thì phải dùng động cơ điện có công suất:
P ≥ 750W
Ta suy ra, công suất thích hợp cho máy nâng từ các đáp án là:
P = 0,8kW = 800W
Đáp án: C
Bài 12: Trên bóng đèn Đ1, Đ2 có ghi số tương ứng là 3V - 1,2W và 6V - 6W. Cần mắc hai đèn này cùng với một biến trở vào hiệu hiệu điện thế U = 9V để hai đèn sáng bình thường. Cần mắc hai đèn và biến trở như thế nào để thỏa mãn yêu cầu của đề bài?
A. Đ1 song song với Đ2 và nối tiếp với biến trở
B. Biến trở mắc song song với Đ1 và mắc nối tiếp với Đ2
C. Biến trở mắc song song với Đ2 và mắc nối tiếp với Đ2
D. Đ1, Đ2 và biến trở mắc nối tiếp với nhau.
Lời giải
+ Vì U1 + U2 = 3 + 6 = 9V nên hai đèn Đ1 và Đ2 phải mắc nối tiếp nhau
+ Cường độ dòng điện định mức để mỗi đèn sáng bình thường là:

Vì I2 > I1 nên để hai đèn sáng bình thường phải mắc biến trở Rb song song với đèn Đ1 sao cho: I2 = I1 + Ib

Đáp án: B
Bài 13: Trên bóng đèn dây tóc Đ1 có ghi (220V - 100W), trên bóng đèn Đ2 có ghi (220V - 75W). Mắc hai bóng đèn trên nối tiếp nhau rồi mắc đoạn mạch này vào hiệu điện thế 220V. Tính công suất điện của đoạn mạch nối tiếp này, cho rằng điện trở của mỗi đèn khi đó bằng 50% điện trở của đèn đó khi sáng bình thường.
A. 96,8W
B. 79,6W
C. 84,5W
D. 85,7W
Lời giải
Ta có: Đ1 mắc nối tiếp Đ2
+ Cường độ dòng điện định mức trên mỗi đèn:

Điện trở định mức của mỗi đèn:

+ Theo đề bài: 
+ Điện trở tương đương của mạch nối tiếp khi đó:
Rnt = R1′ + R2′ = 564,67Ω
Cách 1:
+ Cường độ dòng điện trong mạch nối tiếp:

Công suất điện của đoạn mạch nối tiếp này là:

Cách 2:
Công suất điện của đoạn mạch:

Đáp án: D
Bài 14: Trên hai bóng đèn có ghi 220V - 60W và 220V - 75W. Biết rằng dây tóc của hai bóng đèn này đều bằng vônfram và có tiết diện bằng nhau. Dây tóc của đèn nào có độ dài lớn hơn và lớn hơn bao nhiêu lần?

Lời giải
Ta có:
cho nên khi hai dây tóc làm cùng bằng một chất và có tiết diện bằng nhau thì dây nào có điện trở lớn hơn thì sẽ dài hơn.
Mặt khác,
cho nên khi hai bóng đèn có cùng hiệu điện thế định mức thì đèn nào có công suất lớn hơn sẽ có điện trở nhỏ hơn.
Vì vậy, đèn 2 sẽ có điện trở nhỏ hơn, do đó, dây tóc của đèn 1 sẽ dài hơn dây tóc của đèn 2.
Ta có:

Đáp án: D
Bài 15: Một bóng đèn 6V − 3W được mắc vào nguồn có hiệu điện thế 6V nhờ dây dẫn dài 2m, tiết diện 1mm2 và làm bằng chất có điện trở suất là 0,5.10−6Ω.m. Đèn có sáng bình thường không?
A. Đèn sáng yếu hơn bình thường
B. Đèn sáng bình thường
C. Đèn sáng mạnh hơn bình thường
D. Đèn tắt
Lời giải
+ Từ các thông số của đèn, ta có:

Ta có điện trở của đèn: 
Cường độ dòng điện định mức của đèn: 
+ Điện trở của dây nối: 
+ Điện trở tương đương của mạch: 
+ Cường độ dòng điện trong mạch: 
Nhận thấy: I < ID
=> đèn sáng yếu hơn bình thường
Đáp án: A
(199k) Học KHTN 9 KNTTHọc KHTN 9 CDHọc KHTN 9 CTST
Xem thêm bộ câu hỏi trắc nghiệm Vật Lí lớp 9 chọn lọc, có đáp án mới nhất hay khác:
- 16+ Bài tập trắc nghiệm Biến trở; Điện trở dùng trong kĩ thuật (có lời giải)
- 13+ Bài tập trắc nghiệm Điện năng; Công của dòng điện (có lời giải)
- 17+ Bài tập trắc nghiệm Định luật Jun - Lenxo (có lời giải)
- 10+ Bài tập trắc nghiệm Sử dụng an toàn và tiết kiệm điện (có lời giải)
- 20+ Bài tập trắc nghiệm Nam châm vĩnh cửu (có lời giải)
Xem thêm các loạt bài Để học tốt Vật Lí lớp 9 hay khác:
Tủ sách VIETJACK luyện thi vào 10 cho 2k11 (2026):
Đã có app VietJack trên điện thoại, giải bài tập SGK, SBT Soạn văn, Văn mẫu, Thi online, Bài giảng....miễn phí. Tải ngay ứng dụng trên Android và iOS.
Theo dõi chúng tôi miễn phí trên mạng xã hội facebook và youtube:Loạt bài Lý thuyết - Bài tập Vật Lý 9 có đáp án của chúng tôi được biên soạn bám sát nội dung chương trình Vật Lý lớp 9.
Nếu thấy hay, hãy động viên và chia sẻ nhé! Các bình luận không phù hợp với nội quy bình luận trang web sẽ bị cấm bình luận vĩnh viễn.
- Giải Tiếng Anh 9 Global Success
- Giải sgk Tiếng Anh 9 Smart World
- Giải sgk Tiếng Anh 9 Friends plus
- Lớp 9 Kết nối tri thức
- Soạn văn 9 (hay nhất) - KNTT
- Soạn văn 9 (ngắn nhất) - KNTT
- Giải sgk Toán 9 - KNTT
- Giải sgk Khoa học tự nhiên 9 - KNTT
- Giải sgk Lịch Sử 9 - KNTT
- Giải sgk Địa Lí 9 - KNTT
- Giải sgk Giáo dục công dân 9 - KNTT
- Giải sgk Tin học 9 - KNTT
- Giải sgk Công nghệ 9 - KNTT
- Giải sgk Hoạt động trải nghiệm 9 - KNTT
- Giải sgk Âm nhạc 9 - KNTT
- Giải sgk Mĩ thuật 9 - KNTT
- Lớp 9 Chân trời sáng tạo
- Soạn văn 9 (hay nhất) - CTST
- Soạn văn 9 (ngắn nhất) - CTST
- Giải sgk Toán 9 - CTST
- Giải sgk Khoa học tự nhiên 9 - CTST
- Giải sgk Lịch Sử 9 - CTST
- Giải sgk Địa Lí 9 - CTST
- Giải sgk Giáo dục công dân 9 - CTST
- Giải sgk Tin học 9 - CTST
- Giải sgk Công nghệ 9 - CTST
- Giải sgk Hoạt động trải nghiệm 9 - CTST
- Giải sgk Âm nhạc 9 - CTST
- Giải sgk Mĩ thuật 9 - CTST
- Lớp 9 Cánh diều
- Soạn văn 9 Cánh diều (hay nhất)
- Soạn văn 9 Cánh diều (ngắn nhất)
- Giải sgk Toán 9 - Cánh diều
- Giải sgk Khoa học tự nhiên 9 - Cánh diều
- Giải sgk Lịch Sử 9 - Cánh diều
- Giải sgk Địa Lí 9 - Cánh diều
- Giải sgk Giáo dục công dân 9 - Cánh diều
- Giải sgk Tin học 9 - Cánh diều
- Giải sgk Công nghệ 9 - Cánh diều
- Giải sgk Hoạt động trải nghiệm 9 - Cánh diều
- Giải sgk Âm nhạc 9 - Cánh diều
- Giải sgk Mĩ thuật 9 - Cánh diều


Giải bài tập SGK & SBT
Tài liệu giáo viên
Sách
Khóa học
Thi online
Hỏi đáp

