Trắc nghiệm Phương trình quy về phương trình bậc hai (có đáp án)
Tài liệu bài tập trắc nghiệm Phương trình quy về phương trình bậc hai lớp 9 có đáp án với các dạng bài tập cơ bản, nâng cao đầy đủ các mức độ: nhận biết, thông hiểu, vận dụng, vận dụng cao sẽ giúp học sinh ôn luyện và biết cách làm các dạng bài tập Toán 9.
Trắc nghiệm Phương trình quy về phương trình bậc hai (có đáp án)
(199k) Học Toán 9 KNTTHọc Toán 9 CDHọc Toán 9 CTST
Câu 1: Phương trình x4 − 6x2 – 7 = 0 có bao nhiêu nghiệm?
A. 0
B. 1
C. 2
D. 4
Lời giải:
Đặt x2 = t (t ≥ 0) ta được phương trình t2 – 6t – 7 = 0 (*)
Nhận thấy a – b + c = 1 + 6 – 7 = 0 nên phương trình (*) có hai nghiệm t1 = −1 (L); t2 = 7 (N)
Thay lại cách đặt ta có x2 = 7
Vậy phương trình đã cho có hai nghiệm
Đáp án cần chọn là: C
Câu 2: Phương trình 2x4 − 9x2 + 7 = 0 có bao nhiêu nghiệm?
A. 0
B. 1
C. 2
D. 4
Lời giải:
Đặt x2 = t ta được phương trình 2t2 – 9t + 7 = 0 (*)
Nhận thấy a + b + c = 2 + (−9) + 7 = 0 nên phương trình (*) có hai nghiệm
Thay lại cách đặt ta có
Vậy phương trình đã cho có bốn nghiệm phân biệt
Đáp án cần chọn là: D
Câu 3: Phương trình (x + 1)4 – 5(x + 1)2 – 84 = 0 có tổng các nghiệm là:
Lời giải:
Đặt (x + 1)2 = t (t ≥ 0) ta được phương trình t2 – 5t − 84 = 0 (*)
Ta có ∆ = 361 nên phương trình (*) có hai nghiệm
Đáp án cần chọn là: B
Câu 4: Phương trình (2x + 1)4 – 8(2x + 1)2 – 9 = 0 có tổng các nghiệm là:
A. 1
B. −2
C. −1
D. 2√2
Lời giải:
Đặt (2x + 1)2 = t (t ≥ 0) ta được phương trình t2 – 8t − 9 = 0 (*)
Ta có a – b + c = 1 – (−8) + (−9) = 0 nwn phương trình (*) có hai nghiệm
t1 = 1 (tm); t2 = −9 (ktm)
Suy ra tổng các nghiệm là 0 + (−1) = −1
Đáp án cần chọn là: C
Câu 5: Phương trình có số nghiệm là:
A. 2
B. 1
C. 0
D. 3
Lời giải:
Nhận thấy ∆ = 112 – 4.9.2 = −31 < 0 nên phương trình 2x2 – 11x + 19 = 0 vô nghiệm
Suy ra phương trình đã cho vô nghiệm
Đáp án cần chọn là: C
Câu 6: Phương trình có số nghiệm là:
A. 1
B. 0
C. 2
D. 3
Lời giải:
Đáp án cần chọn là: B
Câu 7: Phương trình có nghiệm là:
A. x = √2
B. x = 2
C. x = 3
D. x = 5
Lời giải:
Đáp án cần chọn là: D
Câu 8: Phương trình có nghiệm là:
Lời giải:
Phương trình này có a + b + c = 3 + (−1) + (−2) = 0 nên có hai nghiệm phân biệt là (TM)
Vậy phương trình có hai nghiệm
Đáp án cần chọn là: B
Câu 9: Tích các nghiệm của phương trình (x2 + 2x – 5)2 = (x2 − x + 5)2 là:
Lời giải:
Đáp án cần chọn là: B
Câu 10: Tổng các nghiệm của phương trình (2x2 – 3)2 = 4(x – 1)2 là:
Lời giải:
Phương trình 2x2 – 2x – 1 = 0 có ∆' = 3 > 0 nên có hai nghiệm
Phương trình 2x2 + 2x – 5 = 0 có ∆1 = 11 > 0 nên có hai nghiệm
Nên tổng các nghiệm của phương trình đã cho là:
Đáp án cần chọn là: B
Câu 11: Số nghiệm của phương trình 3x3 + 3x2 + 5x + 5 = 0 là:
A. 2
B. 0
C. 1
D. 3
Lời giải:
Vậy phương trình có nghiệm duy nhất x = −1
Đáp án cần chọn là: C
Câu 12: Nghiệm của phương trình x3 + 3x2 + x + 3 = 0 là:
A. x = ±1; x = −3
B. x = −1
C. x = 1
D. x = −3
Lời giải:
Vậy phương trình có nghiệm duy nhất x = −3
Đáp án cần chọn là: D
Câu 13: Tổng các nghiệm của phương trình x(x + 1)(x + 2)(x + 3) = 8 là:
A. −3
B. 3
C. 1
D. −4
Lời giải:
Ta có x(x + 1)(x + 2)(x + 3) = 8 ⇔ x (x + 3).(x + 1) (x + 2) = 8
⇔ (x2 + 3x)( x2 + 3x + 2) = 8
+) Với t = −3 ⇒ x2 + 3x + 1 = − 3 ⇔ x2 + 3x + 4 = 0, có ∆ = − 7 < 0 nên phương trình vô nghiệm.
Đáp án cần chọn là: A
Câu 14: Tổng các nghiệm của phương trình (x + 1)(x + 4)( x2 + 5x + 6) = 48 là:
Lời giải:
Ta có (x + 1)(x + 4)( x2 + 5x + 6) = 48 ⇔ (x2 + 5x + 4) (x2 + 5x + 6) = 48
Đặt x2 + 5x + 5 = t, thu được phương trình:
+) Với t = −7 ⇒ x2 + 5x + 5 = − 7 ⇔ x2 + 5x + 12 = 0 có ∆ = − 23 < 0 nên phương trình vô nghiệm.
Đáp án cần chọn là: B
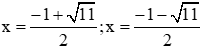
Câu 15: Hai nghiệm của phương trình là x1 > x2. Tính 3x1 + 4x2.
A. −3
B. 3
C. 7
D. −7
Lời giải:
Điều kiện: x 0; x −1
Đặt (t ≥ 0), khi đó phương trình đã cho trở thành:
Đáp án cần chọn là: D
Câu 16: Số nghiệm của phương trình là?
A. 2
B. 3
C. 1
D. 0
Lời giải:
Đặt ,
khi đó phương trình đã cho trở thành:
Ta có a + b + c = 1 + 1 + (−2) = 0 nên phương trình (*) có hai nghiệm
t1 = 1 (tm); t2 = −2 (ktm)
Đáp án cần chọn là: C
Câu 17: Phương trình có bao nhiêu nghiệm?
A. 1
B. 3
C. 0
D. 2
Lời giải:
Vậy phương trình có nghiệm duy nhất x = 1
Đáp án cần chọn là: A
Câu 18: Phương trình có nghiệm là?
A. x = 5; x = 10
B. x = 5; x = 10; x = −2
C. x = 5
D. x = 10
Lời giải:
Vậy phương trình có nghiệm x = 5; x = 10
Đáp án cần chọn là: A
Câu 19: Phương trình có nghiệm là?
Lời giải:
Đáp án cần chọn là: D
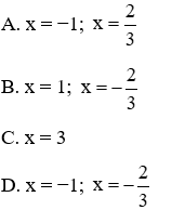
Câu 20: Phương trình có nghiệm là?
A. x = −1; x = 3
B. x = 1; x = −3
C. x = −1
D. x = 3
Lời giải:
Vậy phương trình có nghiệm x = −1; x = 3
Đáp án cần chọn là: A
(199k) Học Toán 9 KNTTHọc Toán 9 CDHọc Toán 9 CTST
Xem thêm bài tập trắc nghiệm Toán lớp 9 có lời giải hay khác:
- Trắc nghiệm Hệ thức Vi-ét và ứng dụng (có đáp án)
- Trắc nghiệm Hệ thức Vi-ét và ứng dụng (có đáp án - phần 2)
- Trắc nghiệm Sự tương giao giữa đường thẳng và parabol (có đáp án)
- Bài tập Sự tương giao giữa đường thẳng và parabol (có đáp án)
Tủ sách VIETJACK luyện thi vào 10 cho 2k11 (2026):
Đã có app VietJack trên điện thoại, giải bài tập SGK, SBT Soạn văn, Văn mẫu, Thi online, Bài giảng....miễn phí. Tải ngay ứng dụng trên Android và iOS.
Theo dõi chúng tôi miễn phí trên mạng xã hội facebook và youtube:Loạt bài Chuyên đề: Lý thuyết - Bài tập Toán lớp 9 Đại số và Hình học có đáp án có đầy đủ Lý thuyết và các dạng bài được biên soạn bám sát nội dung chương trình sgk Đại số 9 và Hình học 9.
Nếu thấy hay, hãy động viên và chia sẻ nhé! Các bình luận không phù hợp với nội quy bình luận trang web sẽ bị cấm bình luận vĩnh viễn.
- Giải Tiếng Anh 9 Global Success
- Giải sgk Tiếng Anh 9 Smart World
- Giải sgk Tiếng Anh 9 Friends plus
- Lớp 9 Kết nối tri thức
- Soạn văn 9 (hay nhất) - KNTT
- Soạn văn 9 (ngắn nhất) - KNTT
- Giải sgk Toán 9 - KNTT
- Giải sgk Khoa học tự nhiên 9 - KNTT
- Giải sgk Lịch Sử 9 - KNTT
- Giải sgk Địa Lí 9 - KNTT
- Giải sgk Giáo dục công dân 9 - KNTT
- Giải sgk Tin học 9 - KNTT
- Giải sgk Công nghệ 9 - KNTT
- Giải sgk Hoạt động trải nghiệm 9 - KNTT
- Giải sgk Âm nhạc 9 - KNTT
- Giải sgk Mĩ thuật 9 - KNTT
- Lớp 9 Chân trời sáng tạo
- Soạn văn 9 (hay nhất) - CTST
- Soạn văn 9 (ngắn nhất) - CTST
- Giải sgk Toán 9 - CTST
- Giải sgk Khoa học tự nhiên 9 - CTST
- Giải sgk Lịch Sử 9 - CTST
- Giải sgk Địa Lí 9 - CTST
- Giải sgk Giáo dục công dân 9 - CTST
- Giải sgk Tin học 9 - CTST
- Giải sgk Công nghệ 9 - CTST
- Giải sgk Hoạt động trải nghiệm 9 - CTST
- Giải sgk Âm nhạc 9 - CTST
- Giải sgk Mĩ thuật 9 - CTST
- Lớp 9 Cánh diều
- Soạn văn 9 Cánh diều (hay nhất)
- Soạn văn 9 Cánh diều (ngắn nhất)
- Giải sgk Toán 9 - Cánh diều
- Giải sgk Khoa học tự nhiên 9 - Cánh diều
- Giải sgk Lịch Sử 9 - Cánh diều
- Giải sgk Địa Lí 9 - Cánh diều
- Giải sgk Giáo dục công dân 9 - Cánh diều
- Giải sgk Tin học 9 - Cánh diều
- Giải sgk Công nghệ 9 - Cánh diều
- Giải sgk Hoạt động trải nghiệm 9 - Cánh diều
- Giải sgk Âm nhạc 9 - Cánh diều
- Giải sgk Mĩ thuật 9 - Cánh diều


Giải bài tập SGK & SBT
Tài liệu giáo viên
Sách
Khóa học
Thi online
Hỏi đáp

