Trắc nghiệm Sự tương giao giữa đường thẳng và parabol (có đáp án)
Tài liệu bài tập trắc nghiệm Sự tương giao giữa đường thẳng và parabol lớp 9 có đáp án với các dạng bài tập cơ bản, nâng cao đầy đủ các mức độ: nhận biết, thông hiểu, vận dụng, vận dụng cao sẽ giúp học sinh ôn luyện và biết cách làm các dạng bài tập Toán 9.
Trắc nghiệm Sự tương giao giữa đường thẳng và parabol (có đáp án)
(199k) Học Toán 9 KNTTHọc Toán 9 CDHọc Toán 9 CTST
Câu 1: Tìm tham số m để đường thẳng d: tiếp xúc với parabol (P):
Lời giải:
Xét phương trình hoành độ giao điểm: có
∆ = 8m + 1
Để đường thẳng d tiếp xúc với parabol (P) thì
Đáp án cần chọn là: D
Câu 2: Tìm tham số m để đường thẳng d: y = 2x – 3m – 1 tiếp xúc với parabol (P): y = −x2
Lời giải:
Xét phương trình hoành độ giao điểm – x2 = 2x − 3m − 1 ⇔ x2 + 2x – 3m – 1 = 0 có ∆’ = 2 + 3m
Để đường thẳng d tiếp xúc với parabol (P) thì
Đáp án cần chọn là: B
Câu 3: Tìm tham số m để đường thẳng d: y = mx + 2 cắt parabol (P): tại hai điểm phân biệt
A. m = 2
B. m = −2
C. m = 4
D. m ∈ R
Lời giải:
Xét phương trình hoành độ giao điểm
có ∆’ = m2 + 4 > 0, ∀m nên đường thẳng d: y = mx + 2 cắt parabol (P)
tại hai điểm phân biệt với mọi m
Đáp án cần chọn là: D
Câu 4: Tìm tham số m để đường thẳng d:
cắt parabol (P): y = −2x2 tại hai điểm phân biệt
Lời giải:
có ∆’ = 2m + 1
Để đường thẳng d: y = mx + 2 cắt parabol (P):
tại hai điểm phân biệt thì phương trình (*) có hai nghiệm phân biệt hay ∆’ > 0
Đáp án cần chọn là: A
Câu 5: Tìm tham số m để đường thẳng d: y = 2x + m và parabol (P): y = 2x2 không có điểm chung
Lời giải:
Xét phương trình hoành độ giao điểm 2x2 = 2x + m ⇔ 2x2 – 2x – m = 0 có
∆' = 1 + 2m.
Để đường thẳng d: y = 2x + m không cắt parabol (P): y = 2x2 thì ∆' < 0
Đáp án cần chọn là: A
Câu 6: Tìm tham số m để đường thẳng
và parabol (P)
không có điểm chung
A. m < −1
B. m ≤ 1
C. m > 1
D. m < 1
Lời giải:
Để đường thẳng không cắt parabol (P)
thì
∆ < 0 ⇔ −2m + 2 < 0 ⇔ m > 1
Đáp án cần chọn là: C
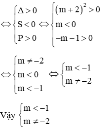
Câu 7: Tìm tham số m để đường thẳng d: y = mx + m + 1 và parabol (P): y = x2 cắt nhau tại hai điểm phân biệt nằm bên trái trục tung.
Lời giải:
Phương trình hoành độ giao điểm x2 = mx + m + 1 ⇔ x2 − mx − m – 1 = 0 (*) có
∆ = m2 – 4(−m – 1) = m2 + 4m + 4 = (m + 2)2 ≥ 0, ∀m;
S = x1 + x2 = m; P = x1. x2 = −m – 1 với x1; x2 là hai nghiệm của phương trình (*).
Đường thẳng d cắt (P) tại hai điểm phân biệt nằm bên trái trục tung ⇔ phương trình (*) có hai nghiệm âm phân biệt
Đáp án cần chọn là: B
Câu 8: Tìm m ∈ Z để parabol (P): y = x2 cắt đường thẳng d: y = (m – 1) x + m2 – 16 tại hai điểm phân biệt nằm bên trái trục tung.
A. m ∈ {−4; −3; −2; −1}
B. m ∈ ∅
C. m ∈ {−3; −2; −1; 0; 1; 2; 3}
D. m ∈ {−3; −2; −1; 0; 2; 3}
Lời giải:
Phương trình hoành độ giao điểm x2 = (m – 1) x + m2 – 16
⇔ x2 − (m – 1) x − m2 + 16 = 0 (1)
d cắt (P) tại hai điểm phân biệt nằm bên trái trục tung khi và chỉ khi phương trình hoành độ giao điểm (1) có hai nghiệm phân biệt cùng âm x1; x2.
⇒ Không tồn tại giá trị m ∈ Z thỏa mãn yêu cầu bài toán
Đáp án cần chọn là: B
Câu 9: Tìm tham số m để đường thẳng d: y = (m – 2)x + 3m và parabol (P): y = x2 cắt nhau tại hai điểm phân biệt nằm bên trái trục tung
A. m < 3
B. m > 3
C. m > 2
D. m > 0
Lời giải:
Phương trình hoành độ giao điểm x2 = (m – 2)x + 3m ⇔ x2 − (m – 2)x − 3m = 0 (*)
Đường thẳng d cắt (P) tại hai điểm phân biệt nằm hai phía trục tung
⇔ Phương trình (*) có hai nghiệm trái dấu
⇔ ac < 0 ⇔ −3m < 0 ⇔ m > 0
Đáp án cần chọn là: D
Câu 10: Cho parabol (P): y = x2 và đường thẳng d: y = (m + 2)x – m – 1. Tìm m để d cắt (P) tại hai điểm phân biệt nằm về hai phía trục tung
A. m < −1
B. m < −2
C. m > −1
D. −2 < m < −1
Lời giải:
Phương trình hoành độ giao điểm của d và (P): x2 = (m + 2)x – m – 1
⇔ x2 − (m + 2)x + m + 1 = 0 (1)
(d) cắt (P) tại hai điểm phân biệt nằm về hai phía của trục tung khi và chỉ khi phương trình (1) có hai nghiệm phân biệt trái dấu ⇔ ac < 0 ⇔ m + 1 < 0
⇔ m < −1
Vậy m < −1
Đáp án cần chọn là: A
Câu 11: Có bao nhiêu giá trị của tham số m để đường thẳng d: y = 2mx + 4 và parabol (P): y = x2 cắt nhau tại hai điểm phân biệt có hoành độ x1; x2 thỏa mãn
A. 1
B. 2
C. 3
D. 0
Lời giải:
Phương trình hoành độ giao điểm: x2 = 2mx + 4 ⇔ x2 − 2mx – 4 = 0 có
∆' = m2 + 4 > 0; ∀m
nên đường thẳng d luôn cắt (P) tại hai điểm phân biệt có hoành độ x1; x2
Vậy m = 1; m = −1 là các giá trị cần tìm
Đáp án cần chọn là: B
Câu 12: Có bao nhiêu giá trị của tham số m để đường thẳng d: y = 5x – m − 4 và parabol (P): y = x2 cắt nhau tại hai điểm phân biệt có hoành độ x1; x2 thỏa mãn
A. 1
B. 2
C. 3
D. 0
Lời giải:
Phương trình hoành độ giao điểm x2 = 5x – m – 4 ⇔ x2 − 5x + m + 4 = 0 có:
∆ = 9 – 4m
Để đường thẳng d cắt (P) tại hai điểm phân biệt có hoành độ x1; x2 thì
Đáp án cần chọn là: A
Câu 13: Có bao nhiêu giá trị nguyên của tham số m để đường thẳng d: y = 2mx – 2m + 3 và parabol (P) y = x2 cắt nhau tại hai điểm phân biệt có tọa độ (x1; y1); (x2; y2) thỏa mãn y1 + y2 < 9
A. 1
B. 3
C. 2
D. 0
Lời giải:
Phương trình hoành độ giao điểm x2 = 2mx – 2m + 3 ⇔ x2 − 2mx + 2m – 3 = 0 có
∆ = m2 – 2m + 3 = (m – 1)2 + 2 > 0, ∀m
Nên nên đường thẳng d luôn cắt (P) tại hai điểm phân biệt có tọa độ (x1; y1); (x2; y2)
Ta có y1 = x12; y2 = x22
Mà m ∈ Z ⇒ m ∈ {0; 1}
Vậy có hai giá trị của m thỏa mãn
Đáp án cần chọn là: C
Câu 14: Tìm tham số m để đường thẳng d: y = mx + m + 1 và parabol (P): y = x2 cắt nhau tại hai điểm phân biệt có tọa độ (x1; y1); (x2; y2) thỏa mãn y1 + y2 > 5
Lời giải:
Phương trình hoành độ giao điểm x2 = mx + m + 1 ⇔ x2 − mx − m − 1 = 0 có
∆ = m2 + 4m + 4 = (m + 2)2 ≥ 0 ∆ m ≠ −2
Ta có y1 = x12; y2 = x22
Đáp án cần chọn là: D
Câu 15: Cho đường thẳng d: y = −3x + 1 và parabol (P): y = mx2 (m ≠ 0). Tìm m để d và (P) cắt nhau tại hai điểm A và B phân biệt và cùng nằm về một phía đối với trục tung.
Lời giải:
Phương trình hoành độ giao điểm mx2 = −3x + 1 ⇔ mx2 +3x − 1= 0 (*) có
với x1; x2 là hai nghiệm của phương trình (*)
Đường thẳng d cắt (P) tại hai điểm phân biệt cùng nằm một phía với trục tung
⇔ phương trình (*) có hai nghiệm phân biệt cùng dấu
Đáp án cần chọn là: B
(199k) Học Toán 9 KNTTHọc Toán 9 CDHọc Toán 9 CTST
Xem thêm bài tập trắc nghiệm Toán lớp 9 có lời giải hay khác:
- Trắc nghiệm Hệ thức Vi-ét và ứng dụng (có đáp án)
- Trắc nghiệm Hệ thức Vi-ét và ứng dụng (có đáp án - phần 2)
- Trắc nghiệm Phương trình quy về phương trình bậc hai (có đáp án)
- Bài tập Sự tương giao giữa đường thẳng và parabol (có đáp án)
Tủ sách VIETJACK luyện thi vào 10 cho 2k11 (2026):
Đã có app VietJack trên điện thoại, giải bài tập SGK, SBT Soạn văn, Văn mẫu, Thi online, Bài giảng....miễn phí. Tải ngay ứng dụng trên Android và iOS.
Theo dõi chúng tôi miễn phí trên mạng xã hội facebook và youtube:Loạt bài Chuyên đề: Lý thuyết - Bài tập Toán lớp 9 Đại số và Hình học có đáp án có đầy đủ Lý thuyết và các dạng bài được biên soạn bám sát nội dung chương trình sgk Đại số 9 và Hình học 9.
Nếu thấy hay, hãy động viên và chia sẻ nhé! Các bình luận không phù hợp với nội quy bình luận trang web sẽ bị cấm bình luận vĩnh viễn.
- Giải Tiếng Anh 9 Global Success
- Giải sgk Tiếng Anh 9 Smart World
- Giải sgk Tiếng Anh 9 Friends plus
- Lớp 9 Kết nối tri thức
- Soạn văn 9 (hay nhất) - KNTT
- Soạn văn 9 (ngắn nhất) - KNTT
- Giải sgk Toán 9 - KNTT
- Giải sgk Khoa học tự nhiên 9 - KNTT
- Giải sgk Lịch Sử 9 - KNTT
- Giải sgk Địa Lí 9 - KNTT
- Giải sgk Giáo dục công dân 9 - KNTT
- Giải sgk Tin học 9 - KNTT
- Giải sgk Công nghệ 9 - KNTT
- Giải sgk Hoạt động trải nghiệm 9 - KNTT
- Giải sgk Âm nhạc 9 - KNTT
- Giải sgk Mĩ thuật 9 - KNTT
- Lớp 9 Chân trời sáng tạo
- Soạn văn 9 (hay nhất) - CTST
- Soạn văn 9 (ngắn nhất) - CTST
- Giải sgk Toán 9 - CTST
- Giải sgk Khoa học tự nhiên 9 - CTST
- Giải sgk Lịch Sử 9 - CTST
- Giải sgk Địa Lí 9 - CTST
- Giải sgk Giáo dục công dân 9 - CTST
- Giải sgk Tin học 9 - CTST
- Giải sgk Công nghệ 9 - CTST
- Giải sgk Hoạt động trải nghiệm 9 - CTST
- Giải sgk Âm nhạc 9 - CTST
- Giải sgk Mĩ thuật 9 - CTST
- Lớp 9 Cánh diều
- Soạn văn 9 Cánh diều (hay nhất)
- Soạn văn 9 Cánh diều (ngắn nhất)
- Giải sgk Toán 9 - Cánh diều
- Giải sgk Khoa học tự nhiên 9 - Cánh diều
- Giải sgk Lịch Sử 9 - Cánh diều
- Giải sgk Địa Lí 9 - Cánh diều
- Giải sgk Giáo dục công dân 9 - Cánh diều
- Giải sgk Tin học 9 - Cánh diều
- Giải sgk Công nghệ 9 - Cánh diều
- Giải sgk Hoạt động trải nghiệm 9 - Cánh diều
- Giải sgk Âm nhạc 9 - Cánh diều
- Giải sgk Mĩ thuật 9 - Cánh diều


Giải bài tập SGK & SBT
Tài liệu giáo viên
Sách
Khóa học
Thi online
Hỏi đáp

