26 bài tập trắc nghiệm Dấu của nhị thức bậc nhất (có đáp án)
26 bài tập trắc nghiệm Dấu của nhị thức bậc nhất (có đáp án)
(199k) Học Toán 10 KNTTHọc Toán 10 CDHọc Toán 10 CTST
Câu 1: Nhị thức nào sau đây nhận giá trị âm với mọi x < 2?
Chọn đáp án D
Câu 2: Nhị thức nào sau đây nhận giá trị âm với mọi x < -3/2?
Chọn đáp án A
Câu 3: Nhị thức nào sau đây nhận giá trị dương với mọi x > -5/2?
Chọn đáp án C
Câu 4: Nhị thức nào sau đây nhận giá trị dương với mọi x ≥ 2?
Chọn đáp án B
Câu 5: Với điều kiện nào của x thì nhị thức -5x + 1 nhận giá trị âm?
Chọn đáp án D
Câu 6: Tập tất cả các giá trị của tham số m để bất phương trình (m - 1)x > (m - 1)2 có tập nghiệm là (-∞; 2) là
Chọn đáp án A
Câu 7: Nhị thức nào sau đây nhận giá trị âm với mọi x < -2/3?
Chọn đáp án B
Câu 8: Nhị thức nào sau đây nhận giá trị dương với mọi x > -2?
Chọn đáp án C
Câu 9: Tìm tất cả các giá trị của x để nhị thức -3x + 2 nhận giá trị dương.
Chọn đáp án B
Câu 10: Tìm tập xác định của hàm số .
Chọn đáp án D
Câu 11: Tìm tập tất cả các giá trị của m để bất phương trình (m - 2)x > (m - 2)2 có tập nghiệm là (1; +∞).
Chọn đáp án B
Câu 12: Tập xác định của hàm số là đoạn [1; 2] khi và chỉ khi
Chọn đáp án C
Câu 13: Tập xác định của hàm số là một đoạn trên trục số khi và chỉ khi:
Chọn đáp án A
Câu 14: Tập tất cả các giá trị của tham số m để phương trình có nghiệm là
Chọn đáp án D
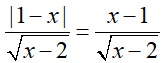
Câu 15: Tập nghiệm của phương trình là:
Chọn đáp án C
Câu 16: Tập nghiệm của bất phương trình là:
Chọn đáp án D
Câu 17: Hai đẳng thức: |2x - 3| = 2x - 3 và |3x - 8| = 8 - 3x đồng thời xảy ra khi và chỉ khi:
Chọn đáp án B
Câu 18: Tập nghiệm của bất phương trình |x - 3| ≤ 5 là:
Chọn đáp án C
Câu 19: Tập nghiệm của bất phương trình |x - 1| < x + 1 là:
Chọn đáp án C
Câu 20: Tập nghiệm của bất phương trình là:
Chọn đáp án A
Câu 21: Tập nghiệm của bất phương trình là:
Chọn đáp án A
Câu 22: Tập nghiệm của bất phương trình là:
Chọn đáp án B
Câu 23: Số nghiệm của phương trình là:
A. 0;
B. 1;
C. 2;
D. nhiều hơn 2.
Chọn đáp án A
Câu 24: Phương trình x2 - 2(m - 1)x + m - 3 = 0 có hai nghiệm đối nhau khi và chỉ khi
Chọn đáp án C
Câu 25: Tập xác định của hàm số là:
Chọn đáp án A
Câu 26: Tìm tập xác định của hàm số .
Chọn đáp án B
(199k) Học Toán 10 KNTTHọc Toán 10 CDHọc Toán 10 CTST
Xem thêm bài tập trắc nghiệm Toán lớp 10 có đáp án hay khác:
- 13 bài tập trắc nghiệm Bất phương trình bậc nhất hai ẩn
- 50 bài tập trắc nghiệm Dấu của tam thức bậc hai
- Top 40 Bài tập trắc nghiệm Bất đẳng thức; Bất phương trình
- 11 bài tập trắc nghiệm Bảng phân bố tần số và tần suất
- 8 bài tập trắc nghiệm Số trung bình cộng; Số trung vị; Mốt
Tủ sách VIETJACK shopee lớp 10-11 (cả 3 bộ sách):
Đã có app VietJack trên điện thoại, giải bài tập SGK, SBT Soạn văn, Văn mẫu, Thi online, Bài giảng....miễn phí. Tải ngay ứng dụng trên Android và iOS.
Theo dõi chúng tôi miễn phí trên mạng xã hội facebook và youtube:Nếu thấy hay, hãy động viên và chia sẻ nhé! Các bình luận không phù hợp với nội quy bình luận trang web sẽ bị cấm bình luận vĩnh viễn.
- Giải Tiếng Anh 10 Global Success
- Giải Tiếng Anh 10 Friends Global
- Giải sgk Tiếng Anh 10 iLearn Smart World
- Giải sgk Tiếng Anh 10 Explore New Worlds
- Lớp 10 - Kết nối tri thức
- Soạn văn 10 (hay nhất) - KNTT
- Soạn văn 10 (ngắn nhất) - KNTT
- Soạn văn 10 (siêu ngắn) - KNTT
- Giải sgk Toán 10 - KNTT
- Giải sgk Vật lí 10 - KNTT
- Giải sgk Hóa học 10 - KNTT
- Giải sgk Sinh học 10 - KNTT
- Giải sgk Địa lí 10 - KNTT
- Giải sgk Lịch sử 10 - KNTT
- Giải sgk Kinh tế và Pháp luật 10 - KNTT
- Giải sgk Tin học 10 - KNTT
- Giải sgk Công nghệ 10 - KNTT
- Giải sgk Hoạt động trải nghiệm 10 - KNTT
- Giải sgk Giáo dục quốc phòng 10 - KNTT
- Lớp 10 - Chân trời sáng tạo
- Soạn văn 10 (hay nhất) - CTST
- Soạn văn 10 (ngắn nhất) - CTST
- Soạn văn 10 (siêu ngắn) - CTST
- Giải Toán 10 - CTST
- Giải sgk Vật lí 10 - CTST
- Giải sgk Hóa học 10 - CTST
- Giải sgk Sinh học 10 - CTST
- Giải sgk Địa lí 10 - CTST
- Giải sgk Lịch sử 10 - CTST
- Giải sgk Kinh tế và Pháp luật 10 - CTST
- Giải sgk Hoạt động trải nghiệm 10 - CTST
- Lớp 10 - Cánh diều
- Soạn văn 10 (hay nhất) - Cánh diều
- Soạn văn 10 (ngắn nhất) - Cánh diều
- Soạn văn 10 (siêu ngắn) - Cánh diều
- Giải sgk Toán 10 - Cánh diều
- Giải sgk Vật lí 10 - Cánh diều
- Giải sgk Hóa học 10 - Cánh diều
- Giải sgk Sinh học 10 - Cánh diều
- Giải sgk Địa lí 10 - Cánh diều
- Giải sgk Lịch sử 10 - Cánh diều
- Giải sgk Kinh tế và Pháp luật 10 - Cánh diều
- Giải sgk Tin học 10 - Cánh diều
- Giải sgk Công nghệ 10 - Cánh diều
- Giải sgk Hoạt động trải nghiệm 10 - Cánh diều
- Giải sgk Giáo dục quốc phòng 10 - Cánh diều


Giải bài tập SGK & SBT
Tài liệu giáo viên
Sách
Khóa học
Thi online
Hỏi đáp

