18 Bài tập tổng ôn Dãy số; Cấp số cộng và cấp số nhân (có lời giải)
Bài tập tổng ôn Dãy số; Cấp số cộng và cấp số nhân lớp 11 có lời giải chi tiết đầy đủ các mức độ nhận biết, thông hiểu, vận dụng sẽ giúp học sinh ôn tập trắc nghiệm Toán 11.
18 Bài tập tổng ôn Dãy số; Cấp số cộng và cấp số nhân (có lời giải)
(199k) Học Toán 11 KNTTHọc Toán 11 CDHọc Toán 11 CTST
Bài 1: Cho cấp số cộng (un) có d = -2 và S8 = 72. Tìm số hạng đầu tiên u1?
A. 16
B. – 16
C. 4
D. 8
Chọn đáp án A
Bài 2: Một cấp số cộng có 12 số hạng. Biết rằng tổng của 12 số hạng đó bằng 144 và số hạng thứ mười hai bằng 23. Khi đó công sai d của cấp số cộng đã cho là bao nhiêu?
A. d = 2
B. d = 3
C. d = 4
D. d = 5
Chọn đáp án A
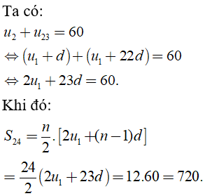
Bài 3: Cho cấp số cộng (un) thỏa mãn u2 + u23 = 60. Tính tổng S24 của 24 số hạng đầu tiên của cấp số cộng đã cho.
A. 60
B. 120
C. 720
D. 1440
Chọn đáp án C
Bài 4: Cho cấp số cộng (un) thỏa mãn .Mệnh đề nào sau đây đúng?
Chọn đáp án A
Bài 5: Trong các dãy số (un) sau, dãy nào là cấp số nhân?
Chọn đáp án D
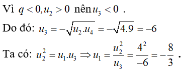
Bài 6: Cho cấp số nhân (un) với công bội q < 0 và u2 = 4, u4 = 9. Tìm u1 .
Chọn đáp án A
Bài 7: Cho cấp số nhân (un) biết u1 + u5 = 51; u2 + u6 = 102. Hỏi số 12288 là số hạng thứ mấy của cấp số nhân (un) ?
A. Số hạng thứ 10.
B. Số hạng thứ 11.
C. Số hạng thứ 12.
D. Số hạng thứ 13.
Chọn đáp án D
Bài 8: Tìm x biết 1, x2, 6 - x2 lập thành cấp số nhân.
A. x = ± 1
B. x = ± 1
C. x = ± √2
D. x = ± √3
Chọn đáp án B
Bài 9: Tính tổng tất cả các số hạng của một cấp số nhân , biết số hạng đầu bằng 18, số hạng thứ hai bằng 54 và số hạng cuối bằng 39366.
A. 19674.
B. 59040.
C. 177138.
D. 6552
Chọn đáp án B
Bài 10: Các số x + 6y ; 5x + 2y; 8x + y theo thứ tự đó lập thành một cấp số cộng; đồng thời các số x- 1 ; y + 2 ; x – 3y theo thứ tự đó lập thành một cấp số nhân. Tính x2 + y2
A. 40
B. 25
C. 100
D. 10
Chọn đáp án A
Bài 11: Cho dãy số (un) với .Khẳng định nào sau đây là sai?
A. Năm số hạng đầu của dãy là: ;
B. Là dãy số tăng.
C. Bị chặn trên bởi số M = 1/2.
D. Không bị chặn.
Chọn đáp án B
Bài 12: Cho dãy số có các số hạng đầu là: .Số hạng tổng quát của dãy số này là:
Chọn đáp án B
Bài 13: Xét tính tăng giảm của các dãy số sau:
A. Dãy số tăng
B. Dãy số giảm
C. Dãy số không tăng không giảm
D. Cả A, B, C đều sai
Chọn đáp án A
Bài 14: Cho cấp số cộng (un) có: u1 = -0,1; d = 0,1. Số hạng thứ 7 của cấp số cộng này là:
A. 1, 6
B. 6
C. 0,5
D. 0,6
Chọn đáp án C
Bài 15: Cho cấp số cộng (un) thỏa mãn:
Xác định công sai d
A. d = 2
B. d = 4
C. d = 3
D. d = 5
Chọn đáp án C
Bài 16: Cho hai số -3 và 23. Xen kẽ giữa hai số đã cho n số hạng để tất cả các số đó tạo thành cấp số cộng có công sai d = 2. Tìm n?
A. n = 12
B.n = 13
C. n = 14
D. n = 15
Chọn đáp án A
Bài 17: Nếu các số 5 + m; 7 + 2m; 17 + m theo thứ tự lập thành cấp số cộng thì m bằng bao nhiêu?
A. m = 2
B.m = 3
C. m = 4
D. m = 5
Chọn đáp án C
Bài 18: Cho cấp số cộng (un) có các số hạng đầu lần lượt là 5; 9; 13; 17;..... Tìm số hạng tổng quát un của cấp số cộng.
A. un = 5n + 1
B. un = 5n - 1
C. un = 4n + 1
D. un = 4n - 1
Chọn đáp án C
(199k) Học Toán 11 KNTTHọc Toán 11 CDHọc Toán 11 CTST
Xem thêm Bài tập trắc nghiệm Toán 11 có lời giải hay khác:
- Trắc nghiệm Toán 11 Bài 1: Giới hạn của dãy số (có lời giải)
- Trắc nghiệm Toán 11 Bài 1: Giới hạn của dãy số (có lời giải - phần 2)
- Trắc nghiệm Toán 11 Bài 2: Giới hạn của hàm số (có lời giải)
- Trắc nghiệm Toán 11 Bài 2: Giới hạn của hàm số (có lời giải - phần 2)
- Trắc nghiệm Toán 11 Bài 3: Hàm số liên tục
Tủ sách VIETJACK shopee lớp 10-11 (cả 3 bộ sách):
Đã có app VietJack trên điện thoại, giải bài tập SGK, SBT Soạn văn, Văn mẫu, Thi online, Bài giảng....miễn phí. Tải ngay ứng dụng trên Android và iOS.
Theo dõi chúng tôi miễn phí trên mạng xã hội facebook và youtube:Nếu thấy hay, hãy động viên và chia sẻ nhé! Các bình luận không phù hợp với nội quy bình luận trang web sẽ bị cấm bình luận vĩnh viễn.
- Giải Tiếng Anh 11 Global Success
- Giải sgk Tiếng Anh 11 Smart World
- Giải sgk Tiếng Anh 11 Friends Global
- Lớp 11 - Kết nối tri thức
- Soạn văn 11 (hay nhất) - KNTT
- Soạn văn 11 (ngắn nhất) - KNTT
- Giải sgk Toán 11 - KNTT
- Giải sgk Vật Lí 11 - KNTT
- Giải sgk Hóa học 11 - KNTT
- Giải sgk Sinh học 11 - KNTT
- Giải sgk Lịch Sử 11 - KNTT
- Giải sgk Địa Lí 11 - KNTT
- Giải sgk Giáo dục KTPL 11 - KNTT
- Giải sgk Tin học 11 - KNTT
- Giải sgk Công nghệ 11 - KNTT
- Giải sgk Hoạt động trải nghiệm 11 - KNTT
- Giải sgk Giáo dục quốc phòng 11 - KNTT
- Giải sgk Âm nhạc 11 - KNTT
- Lớp 11 - Chân trời sáng tạo
- Soạn văn 11 (hay nhất) - CTST
- Soạn văn 11 (ngắn nhất) - CTST
- Giải sgk Toán 11 - CTST
- Giải sgk Vật Lí 11 - CTST
- Giải sgk Hóa học 11 - CTST
- Giải sgk Sinh học 11 - CTST
- Giải sgk Lịch Sử 11 - CTST
- Giải sgk Địa Lí 11 - CTST
- Giải sgk Giáo dục KTPL 11 - CTST
- Giải sgk Hoạt động trải nghiệm 11 - CTST
- Giải sgk Âm nhạc 11 - CTST
- Lớp 11 - Cánh diều
- Soạn văn 11 Cánh diều (hay nhất)
- Soạn văn 11 Cánh diều (ngắn nhất)
- Giải sgk Toán 11 - Cánh diều
- Giải sgk Vật Lí 11 - Cánh diều
- Giải sgk Hóa học 11 - Cánh diều
- Giải sgk Sinh học 11 - Cánh diều
- Giải sgk Lịch Sử 11 - Cánh diều
- Giải sgk Địa Lí 11 - Cánh diều
- Giải sgk Giáo dục KTPL 11 - Cánh diều
- Giải sgk Tin học 11 - Cánh diều
- Giải sgk Công nghệ 11 - Cánh diều
- Giải sgk Hoạt động trải nghiệm 11 - Cánh diều
- Giải sgk Giáo dục quốc phòng 11 - Cánh diều
- Giải sgk Âm nhạc 11 - Cánh diều


Giải bài tập SGK & SBT
Tài liệu giáo viên
Sách
Khóa học
Thi online
Hỏi đáp

