27 bài tập trắc nghiệm Lôgarit (có đáp án - phần 2)
Với 27 bài tập & câu hỏi trắc nghiệm Lôgarit lớp 12 có đáp án và lời giải chi tiết đầy đủ các mức độ nhận biết, thông hiểu, vận dụng sẽ giúp học sinh ôn trắc nghiệm Toán 12.
27 bài tập trắc nghiệm Lôgarit (có đáp án - phần 2)
(199k) Học Toán 12 KNTTHọc Toán 12 CDHọc Toán 12 CTST
Câu 15: Biết rằng log3y = (1/2)log3u + log3v + 1. Hãy biểu thị y theo u và v
A. y = 3√uv B. y = 3u2v C. y = 3 + √u + v D. y = (√uv)3
log3y = (1/2)log3u + log3v + 1 <=> log3y = log3u1/2 + log3v + log33 = log3(√u.v.3) => y = 3√u.v
Câu 16: Tìm số k sao cho 2x = ekx với mọi số thực x
A. k = √2 B. k = 2x C. k = log2e D. k = ln2
Ta có: 2x = (eln2)x = exln2 = ekx => k = ln2
Câu 17: Độ pH của một chất được xác định bởi công thức pH = -log[H+] trong đó H+ là nồng độ ion hyđrô trong chất đó tính theo mol/lít (mol/L). Xác định nồng độ ion H+ của một chất biết rằng độ pH của nó là 8,06
A. 8,7.10-9 mol/L B. 2,44.10-7 mol/L
C. 2,74,4 mol/L D. 3,6.10-7 mol/L
pH = -log[H+] ⇒ [H+] = 10-pH = 10-8,06 ≈ 8,7.10-9(mol/L)
Câu 18: log125 bằng
A. 5log3 B. 3 - 3log2 C. 100log1,25 D. (log25)(log5)
log125 = log(1000/8) = log1000 - log8 = log103 - log23 = 3 - 3log2
Câu 19: Cho a, b, c là các số dương. Tính giá trị của biểu thức logab2.logbc2.logca2
A. 1/8 B. 1 C. 8 D. 6
logab2.logbc2.logca2 = (2logab)(2logbc)(2logca) = 8logab.logbc.logca = 8logac.logca = 8
Câu 20: Tính giá trị của biểu thức
Câu 21: Với 0 < x ≠ 1 , biểu thức
Câu 22: Nếu a = log8225 và b = log215 thì giữa a và b có hệ thức
a = log8225 = log23152 = (2/3)log215 = 2b/3
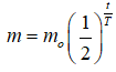
Câu 23: Khối lượng m của một chất phóng xạ thay đổi theo thời gian t tuân theo công thức
trong đó m0 là khối lượng chất phóng xạ ban đầu, T là chu kì bán rã. Nếu viết phương trình này dưới dạng m = m0e-kt thì :
Câu 24: Đặt log83 = p và lognx = 3logmx . Hãy biểu thị log5 theo p và q
Câu 25: Cho m, n > 1 và lognx = 3logmx với mọi x > 0. Hãy biểu thị m theo n
A. m = n3 B. m = 1/n3 C. m = ∛n D. m = 1/∛n
Câu 26: Biết rằng 4a = 5, 5b = 6, 6c = 7, 7d = 8. Tính abcd
A. 1/2 B. 3/2 C. 2 D. 2/3
Từ giả thiết ta có: a = log45, b = log56, c = log67, d = log78
=> abcd = log45.log56.log67.log78 = log46log67log78 = log47.log78 = log48 = log2223 = (3/2)log22 = 3/2
Câu 27: Cho b > 1, sinx > 0, cosx > 0 và logbsinx = a. Khi đó logbcosx bằng
(199k) Học Toán 12 KNTTHọc Toán 12 CDHọc Toán 12 CTST
Xem thêm bài tập trắc nghiệm Toán lớp 12 có đáp án hay khác:
- 32 bài tập trắc nghiệm Hàm số mũ và hàm số lôgarit (có đáp án)
- 32 bài tập trắc nghiệm Hàm số mũ và hàm số lôgarit (có đáp án - phần 2)
- 33 bài tập trắc nghiệm Phương trình mũ và phương trình lôgarit (có đáp án)
- 33 bài tập trắc nghiệm Phương trình mũ và phương trình lôgarit (có đáp án - phần 2)
- 30 bài tập trắc nghiệm Bất phương trình mũ và bất phương trình lôgarit (có đáp án)
Đã có app VietJack trên điện thoại, giải bài tập SGK, SBT Soạn văn, Văn mẫu, Thi online, Bài giảng....miễn phí. Tải ngay ứng dụng trên Android và iOS.
Theo dõi chúng tôi miễn phí trên mạng xã hội facebook và youtube:Nếu thấy hay, hãy động viên và chia sẻ nhé! Các bình luận không phù hợp với nội quy bình luận trang web sẽ bị cấm bình luận vĩnh viễn.
- Giải Tiếng Anh 12 Global Success
- Giải sgk Tiếng Anh 12 Smart World
- Giải sgk Tiếng Anh 12 Friends Global
- Lớp 12 Kết nối tri thức
- Soạn văn 12 (hay nhất) - KNTT
- Soạn văn 12 (ngắn nhất) - KNTT
- Giải sgk Toán 12 - KNTT
- Giải sgk Vật Lí 12 - KNTT
- Giải sgk Hóa học 12 - KNTT
- Giải sgk Sinh học 12 - KNTT
- Giải sgk Lịch Sử 12 - KNTT
- Giải sgk Địa Lí 12 - KNTT
- Giải sgk Giáo dục KTPL 12 - KNTT
- Giải sgk Tin học 12 - KNTT
- Giải sgk Công nghệ 12 - KNTT
- Giải sgk Hoạt động trải nghiệm 12 - KNTT
- Giải sgk Giáo dục quốc phòng 12 - KNTT
- Giải sgk Âm nhạc 12 - KNTT
- Giải sgk Mĩ thuật 12 - KNTT
- Lớp 12 Chân trời sáng tạo
- Soạn văn 12 (hay nhất) - CTST
- Soạn văn 12 (ngắn nhất) - CTST
- Giải sgk Toán 12 - CTST
- Giải sgk Vật Lí 12 - CTST
- Giải sgk Hóa học 12 - CTST
- Giải sgk Sinh học 12 - CTST
- Giải sgk Lịch Sử 12 - CTST
- Giải sgk Địa Lí 12 - CTST
- Giải sgk Giáo dục KTPL 12 - CTST
- Giải sgk Tin học 12 - CTST
- Giải sgk Hoạt động trải nghiệm 12 - CTST
- Giải sgk Âm nhạc 12 - CTST
- Lớp 12 Cánh diều
- Soạn văn 12 Cánh diều (hay nhất)
- Soạn văn 12 Cánh diều (ngắn nhất)
- Giải sgk Toán 12 Cánh diều
- Giải sgk Vật Lí 12 - Cánh diều
- Giải sgk Hóa học 12 - Cánh diều
- Giải sgk Sinh học 12 - Cánh diều
- Giải sgk Lịch Sử 12 - Cánh diều
- Giải sgk Địa Lí 12 - Cánh diều
- Giải sgk Giáo dục KTPL 12 - Cánh diều
- Giải sgk Tin học 12 - Cánh diều
- Giải sgk Công nghệ 12 - Cánh diều
- Giải sgk Hoạt động trải nghiệm 12 - Cánh diều
- Giải sgk Giáo dục quốc phòng 12 - Cánh diều
- Giải sgk Âm nhạc 12 - Cánh diều


Giải bài tập SGK & SBT
Tài liệu giáo viên
Sách
Khóa học
Thi online
Hỏi đáp

