30 bài tập trắc nghiệm Bất phương trình mũ và bất phương trình lôgarit (có đáp án)
Với 30 bài tập & câu hỏi trắc nghiệm Bất phương trình mũ và bất phương trình lôgarit lớp 12 có đáp án và lời giải chi tiết đầy đủ các mức độ nhận biết, thông hiểu, vận dụng sẽ giúp học sinh ôn trắc nghiệm Toán 12.
30 bài tập trắc nghiệm Bất phương trình mũ và bất phương trình lôgarit (có đáp án)
(199k) Học Toán 12 KNTTHọc Toán 12 CDHọc Toán 12 CTST
Câu 1: Tìm tập nghiệm của bất phương trình
A. (-∞; -1) ∪ (7; +∞) C. (7; +∞)
B. (-1; 7) D. (-7; 1)
⇔ 6x + 10 - x2 > 3 ⇔ x2 - 6x - 7 < 0 ⇔ -1 < x < 7.
Chọn đáp án C
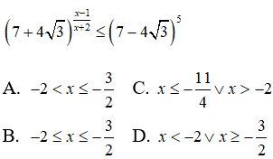
Câu 2: Giải bất phương trình
Nhận xét rằng (7 + 4√3)(7 - 4√3) = 1 hay 7 - 4√3 = (7 + 4√3)-1
Do đó bất phương trình đã cho tương đương với
Chọn đáp án A.
Câu 3: Giải bất phương trình 32x - 1 < 113 - x
Lấy lôgarit theo cơ số 3 hai vế của bất phương trình , ta được :
Chọn đáp án D.
Câu 4: Giải bất phương trình 2016x + 20161 - x ≤ 2017
A. 1 ≤ x ≤ 2016 C. x ≤ 1 hoặc x ≥ 2016
B. 0 ≤ x ≤ 1 D. x ≤ 0 hoặc x ≥ 1
Ta có:
Chọn đáp án B
Câu 5: Tìm tập nghiệm của bất phương trình log1/5(x2 + 4x) ≥ -1
A. ∅ C. (-∞; -5] ∪ [1; +∞)
B. [-5; 1] D. [-5; -4) ∪ (0; 1]
Bất phương trình đã cho tương đương với
Chọn đáp án D.
Câu 6: Tìm tập nghiệm của bất phương trình log(x - 21) < 2 - logx
A. (-4; 25) B. (0; 25) C. (21; 25) D. (25; +∞)
Điều kiện x > 21. Khi đó:
log(x - 21) < 2 - logx ⇔ log(x - 21) + logx < 2
⇒ log[x(x - 21)] < 2 ⇒ x(x - 21) < 102
⇔ x2 - 21x - 100 < 0
⇔ -4 < x < 25
Kết hợp điều kiện x > 21, ta được 21 < x < 25.
Chọn đáp án C.
Nhận xét. Nhiều bài toán quen thuộc như tìm miền xác định của hàm số, xét tính đơn điệu, cực trị,… có thể dẫn đến việc phải giải các bất phương trình mũ, lôgarit. Dưới đây là một số ví dụ.
Câu 7: Tìm miền xác định của hàm số
Hàm số xác định khi
Chọn đáp án A.
Câu 8: Tìm các khoảng đồng biến của hàm số y = x2lnx
Tập xác định: D = (0; +∞)
y' = 2xlnx + x2.1/x = x(2lns + 1).
Ta thấy:
y' > 0 ⇔ x(2lnx + 1) > 0 ⇔ 2lnx + 1 > 0 (vì x > 0)
Từ đó khoảng đồng biến của hàm số là
Chọn đáp án C.
Câu 9: Một tàu vũ trụ được cung cấp bởi một nguồn điện đồng vị phóng xạ plutoni-238. Công suất đầu ra của nguồn điện này được ước lượng bởi
trong đó t là số năm kể từ khi con tàu hoạt động. Biết rằng để các thiết bị trên tàu hoạt động bình thường, nguồn cần cung cấp công suất tối thiểu là 600W. Hỏi con tàu đủ điện để các thiết bị hoạt động bình thường trong thời gian bao lâu ?
A. 45 năm B. 47 năm C. 48 năm D. 50 năm
Con tàu hoạt động bình thường khi
Chọn đáp án B
Câu 10: Dân số Việt Nam năm 2015 là 91,71 triệu người. Giả sử trong 5 năm tỉ lệ tăng dân số là không đổi. Hỏi tỉ lệ này có thể nhận giá trị tối đa là bao nhiêu để dân số Việt Nam năm 2020 không vượt quá 96,5 triệu người (làm tròn kết quả đến phần chục nghìn) ?
A. 1,08% B. 0,91% C. 1,06% D. 1,02%
Giả sử tỉ lệ tăng dân số trong 5 năm đó từ 2015 đến 2020 là k không đổi. Điều kiện của đầu bài là :
91,71.e5k ≤ 96,5
Vậy tỉ lệ tăng dân số tối đa là 1,02%.
Chọn đáp án D.
Câu 11: Giải bất phương trình
A. x < -6 hoặc x > 2 C. x < -2 hoặc x > 6
B. -6 < x < 2 D. -2 < x < 6
(1/3)x2 - 4x + 12 > 1 ⇔ x2 - 2x - 12 < 0 (vì (1/3) < 1) ⇔ -2 < x < 6
Câu 12: Giải bất phương trình 2.4x + 1 < 162x
A. x > 1 B. x < 1 C. x > 1/2 D. x < 1/2
Câu 13: Giải bất phương trình 2x.3x ≤ 36
A. x ≤ 2 B. x ≤ 3 C. x ≤ 6 D. x ≤ 4
2x.3x ≤ 36 ⇔ 6x ≤ 62 ⇔ x ≤ 2
Câu 14: Giải bất phương trình 7.3x + 1 + 5x + 3 ≤ 3x + 4 + 5x + 2
A. x ≤ -1 B. x ≥ -1 C. x ≤ 0 D. x ≥ 0
Câu 15: Tìm tập nghiệm của bất phương trình
A. (-1; 1) C. (-∞; -1) ∪ (-1; 1)
B. (-1; -1) ∪ (1; +∞) D. (-∞; -2) ∪ (1; +∞)
Nhận thấy (√5 + 2)(√5 - 2) = 1 hay √5 - 2 = (√5 + 2)-1 nên bất phương trình đã cho tương đương với
Tập nghiệm là (-2; -1) ∪ (1; +∞)
(199k) Học Toán 12 KNTTHọc Toán 12 CDHọc Toán 12 CTST
Xem thêm bài tập trắc nghiệm Toán lớp 12 có đáp án hay khác:
- 30 bài tập trắc nghiệm Bất phương trình mũ và bất phương trình lôgarit (có đáp án - phần 2)
- 40 bài tập trắc nghiệm Hàm số lũy thừa, hàm số mũ, hàm số logarit (có đáp án)
- Đề kiểm tra 1 tiết Toán 12 Giải tích Chương 2 (có đáp án)
- 22 bài tập trắc nghiệm Nguyên hàm (có đáp án)
- 22 bài tập trắc nghiệm Nguyên hàm (có đáp án - phần 2)
Đã có app VietJack trên điện thoại, giải bài tập SGK, SBT Soạn văn, Văn mẫu, Thi online, Bài giảng....miễn phí. Tải ngay ứng dụng trên Android và iOS.
Theo dõi chúng tôi miễn phí trên mạng xã hội facebook và youtube:Nếu thấy hay, hãy động viên và chia sẻ nhé! Các bình luận không phù hợp với nội quy bình luận trang web sẽ bị cấm bình luận vĩnh viễn.
- Giải Tiếng Anh 12 Global Success
- Giải sgk Tiếng Anh 12 Smart World
- Giải sgk Tiếng Anh 12 Friends Global
- Lớp 12 Kết nối tri thức
- Soạn văn 12 (hay nhất) - KNTT
- Soạn văn 12 (ngắn nhất) - KNTT
- Giải sgk Toán 12 - KNTT
- Giải sgk Vật Lí 12 - KNTT
- Giải sgk Hóa học 12 - KNTT
- Giải sgk Sinh học 12 - KNTT
- Giải sgk Lịch Sử 12 - KNTT
- Giải sgk Địa Lí 12 - KNTT
- Giải sgk Giáo dục KTPL 12 - KNTT
- Giải sgk Tin học 12 - KNTT
- Giải sgk Công nghệ 12 - KNTT
- Giải sgk Hoạt động trải nghiệm 12 - KNTT
- Giải sgk Giáo dục quốc phòng 12 - KNTT
- Giải sgk Âm nhạc 12 - KNTT
- Giải sgk Mĩ thuật 12 - KNTT
- Lớp 12 Chân trời sáng tạo
- Soạn văn 12 (hay nhất) - CTST
- Soạn văn 12 (ngắn nhất) - CTST
- Giải sgk Toán 12 - CTST
- Giải sgk Vật Lí 12 - CTST
- Giải sgk Hóa học 12 - CTST
- Giải sgk Sinh học 12 - CTST
- Giải sgk Lịch Sử 12 - CTST
- Giải sgk Địa Lí 12 - CTST
- Giải sgk Giáo dục KTPL 12 - CTST
- Giải sgk Tin học 12 - CTST
- Giải sgk Hoạt động trải nghiệm 12 - CTST
- Giải sgk Âm nhạc 12 - CTST
- Lớp 12 Cánh diều
- Soạn văn 12 Cánh diều (hay nhất)
- Soạn văn 12 Cánh diều (ngắn nhất)
- Giải sgk Toán 12 Cánh diều
- Giải sgk Vật Lí 12 - Cánh diều
- Giải sgk Hóa học 12 - Cánh diều
- Giải sgk Sinh học 12 - Cánh diều
- Giải sgk Lịch Sử 12 - Cánh diều
- Giải sgk Địa Lí 12 - Cánh diều
- Giải sgk Giáo dục KTPL 12 - Cánh diều
- Giải sgk Tin học 12 - Cánh diều
- Giải sgk Công nghệ 12 - Cánh diều
- Giải sgk Hoạt động trải nghiệm 12 - Cánh diều
- Giải sgk Giáo dục quốc phòng 12 - Cánh diều
- Giải sgk Âm nhạc 12 - Cánh diều


Giải bài tập SGK & SBT
Tài liệu giáo viên
Sách
Khóa học
Thi online
Hỏi đáp

