Đề kiểm tra 1 tiết Toán 12 Giải tích Chương 2 (có đáp án)
Đề kiểm tra 1 tiết Toán 12 Giải tích Chương 2 (có đáp án)
(199k) Xem Khóa học Toán 12 KNTTXem Khóa học Toán 12 CDXem Khóa học Toán 12 CTST
Câu 1: Rút gọn biểu thức
Câu 2: Khẳng định nào sau đây sai?
A. log1 = ln1 C. 10(log5) = log50
B. log100 + 3 = log105 D. log100 + log0,01 = 0
Câu 3: Tính giá trị biểu thức
A. -1 B. 1 C. 10 D. 1/10
Câu 4: Giải phương trình 1000000x = 10
A. x = log6 B. x = 1/5 C. x = 1/6 D. x = -6
Câu 5: Cho phương trình log5(x + 4) = 3 . Nghiệm của phương trình này nằm trong khoảng nào sau đây?
A. (100; 125) B. (10; 20) C. (200; 250) D. (125; 150)
Câu 6: Giải bất phương trình
A. -2 ≤ x ≤ -1 C. x ≤ -2 hoặc x ≥ -1
B. 1 ≤ x ≤ 2 D. x ≤ 1 hoặc x ≥ 2
Câu 7: Giải bất phương trình log336 - log3x > 1
A. 0 < x < 12 B. x < 12 C. x > 12 D. x < 1/12
Câu 8: Cho
Tìm giá trị của k
Câu 9: Cho hàm số
Khẳng định nào sau đây là đúng?
A. Hàm số có hai điểm cực trị
B. Hàm số không có điểm cực trị nào
C. Hàm số có đúng một điểm cực trị và nó là điểm cực tiểu
D. Hàm số có đúng một điểm cực trị và nó là điểm cực đại
Câu 10: Tìm giá trị lớn nhất của hàm số y = ∛x(8 - x) trên đoạn [0; 8]
A. 4∛4 B. 5∛5 C. 6∛2 D. 10∛2
Câu 11: Nếu y = (log23)(log34)(log45)...(log3132) thì
A. y = 5 B. 4 < y < 5 C. 5 < y < 6 D. y = 6
Câu 12: Đặt log80 = a, log45 = b . Hãy tính log36 theo a và b
A. a + b - 1 B. b - a + 1 C. a + b - 2 D. b - a + 2
Câu 13: Ông A gửi tiết kiệm một số tiền vào ngân hàng với hình thức lãi kép và lãi suất 6,8% một năm. Ông A muốn sau 5 năm có thể rút hết số tiền tiết kiệm trên (cả gốc lẫn lãi) để nhận được ít nhất 100 triệu đồng. Hỏi lúc đầu ông A phải gửi số tiền tối thiểu là bao nhiêu? Biết rằng số tiền ông A gửi là số tròn triệu đồng.
A. 70 triệu đồng B. 71 triệu đồng C. 72 triệu đồng D. 73 triệu đồng
Câu 14: Tìm đạo hàm của hàm số
Câu 15: Tìm các giá trị x thỏa mãn
Câu 16: Tính tích các nghiệm của phương trình 22x - 8.2x + 12 = 0
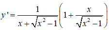
Câu 17: Giả sử x là nghiệm của phương trình
A. 1/2 B. 1 C. 2 D. 4
Câu 18: Giải bất phương trình 9x ≤ 2.3x + 3
A. 1/3 ≤ x ≤ 1 B. 1/3 ≤ x ≤ 3 C. x ≤ 1 D. -1 ≤ x ≤3
Câu 19: Giải bất phương trình
Câu 20: Tìm các khoảng đồng biến của hàm số
A. (0; e) B. (-∞; e) C. (0; 1) D. (1; +∞)
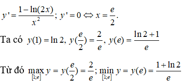
Câu 21: Tìm giá trị lớn nhất và giá trị nhỏ nhất của hàm số
Câu 22: Biết rằng 2.4x + 6x = 9x và x = log2/3a . Tìm giá trị của a
A. 1/2 B. 2/3 C. 2 D. 3/2
Câu 23: Tính (log2x)2 , biết rằng log2(log8x) = log8(log2x)
A. 27 B. 1/27 C. 3√3 D. 1/3√3
Câu 24: Cho hai số x, y thỏa mãn đồng thời
Tính xy
A. -4 B. 4 C. 12 D. 12/5
Câu 25: Khối lượng của một chất phóng xạ giảm theo thời gian t (tính bằng ngày) theo công thức
trong đó m0 là khối lượng của chất đó tại thời điểm được chọn làm mốc thời gian. Hỏi sau thời gian bao lâu thì khối lượng của chất phóng xạ đó bằng 1/4 khối lượng ban đầu?
A. 69 ngày B. 138 ngày C. 276 ngày D. 414 ngày
Hướng dẫn giải và Đáp án
| Câu | 1 | 2 | 3 | 4 | 5 | 6 | 7 | 8 | 9 | 10 |
| Đáp án | A | B | B | C | A | B | A | D | C | C |
| Câu | 11 | 12 | 13 | 14 | 15 | 16 | 17 | 18 | 19 | 20 |
| Đáp án | A | C | C | D | C | C | A | C | C | A |
| Câu | 21 | 22 | 23 | 24 | 25 | |||||
| Đáp án | D | A | A | B | C |
Câu 1:
Ta có:
Chọn A
Câu 2:
* log1 = ln1 = 0
* log100 + 3 = 2 + 3 = 5 = log105
* 10(log5) = log510 ≠ log50
* log100 + log0.01 = log102 + log10-2 = 2 + (-2) = 0
Do đó, khẳng định B sai
Câu 3:
Câu 4:
1000000x = 10 ⇔ 106x = 10 ⇔ 6x = 1 ⇔ x = 1/6
Câu 5:
Ta có: 121 ∈ (100; 125)
Câu 6:
⇔ x2 + 1 ≤ 3x - 1 (vì (3/7) < 1) ⇔ x2 - 3x + 2 ≤ 0 ⇔ 1 ≤ x ≤ 2
Câu 7:
Điều kiện: x > 0
log336 - log3x > log336 - 1 > log3x ⇔ log3x < log336 - log33
⇔ log3x < log3(36/3) ⇔ log3x < log312 ⇔ 0 < x < 12
Câu 8:
Câu 9:
Ta thấy y’ đổi dấu từ âm sang dương khi đi qua x = 6/11 nên hàm số có đúng một điểm cực trị x = 6/11 và đó là điểm cực tiểu
Câu 10:
Ta có: y(0) = y(8) = 0, y(2) = 6∛2
Câu 11:
Sử dụng công thức logablogbc = logca ta tính được
y = [(log23)(log34)](log45)...(log3132) = [log24](log45)...(log3132)
= [(log24)(log45)](log56)...(log3132) = [log23](log56)...(log3132)
= ... = log232 = log225 = 5
Cách khác:
Câu 12:
Câu 13:
Gọi P là số tiền ông A gửi lúc đầu. Để rút được 100 triệu đồng sau 5 năm ta phải có
P(1 + 0,068)5 = 100000000
Vì số tiền gửi là tròn triệu đồng nên ông A phải gửi tối thiểu 72 triệu đồng.
Câu 14:
Câu 15:
⇔ 16x - 1 = 164x ⇔ x - 1 = 4x ⇔ x = -1/3
Câu 16:
Đặt t = 2x (t > 0) nhận được phương trình t2 - 8t + 12 = 0
Tích hai nghiệm bằng 1 + log3.log2
Câu 17:
Điều kiện: x > 0
⇔ log2x + log2x = 4 ⇔ log2x = 2 ⇔ x = 22 = 4
Câu 18:
Bất phương trình đã cho tương đương với 32x - 2.3x - 3 ≤ 0
Đặt t = 3x > 0, nhận được bất phương trình:
t2 - 2t - 3 ≤ 0 ⇔ -1 ≤ t ≤ 3
⇒ 0 < t ≤ 3 ⇔ 3x ≤ 3 ⇔ x ≤ 1
Câu 19:
Câu 20:
Tập xác định: D = (0; +∞)
y' ≥ 0 ⇔ lnx ≤ 1 ⇔ 0 ≤ x ≤ e
Từ bảng xét dấu của y’ ta thấy hàm số đồng biến trên (0; e)
Câu 21:
Câu 22:
2.4x + 6x = 9x ⇔ 2.22x + 2x.3x - 32x = 0
Câu 23:
Câu 24:
Câu 25:
Để khối lượng của chất phóng xạ đó bằng 1/4 khối lượng ban đầu thì
m(t) = 1/4 m0
Ta có:
(199k) Xem Khóa học Toán 12 KNTTXem Khóa học Toán 12 CDXem Khóa học Toán 12 CTST
Xem thêm bài tập trắc nghiệm Toán lớp 12 có đáp án hay khác:
- 22 bài tập trắc nghiệm Nguyên hàm (có đáp án)
- 22 bài tập trắc nghiệm Nguyên hàm (có đáp án - phần 2)
- 18 bài tập trắc nghiệm Tích phân (có đáp án)
- 17 bài tập trắc nghiệm Ứng dụng hình học của tích phân (có đáp án)
- 19 bài tập trắc nghiệm Nguyên hàm, tích phân và ứng dụng (có đáp án)
Đã có app VietJack trên điện thoại, giải bài tập SGK, SBT Soạn văn, Văn mẫu, Thi online, Bài giảng....miễn phí. Tải ngay ứng dụng trên Android và iOS.
Theo dõi chúng tôi miễn phí trên mạng xã hội facebook và youtube:Nếu thấy hay, hãy động viên và chia sẻ nhé! Các bình luận không phù hợp với nội quy bình luận trang web sẽ bị cấm bình luận vĩnh viễn.
- Giải Tiếng Anh 12 Global Success
- Giải sgk Tiếng Anh 12 Smart World
- Giải sgk Tiếng Anh 12 Friends Global
- Lớp 12 Kết nối tri thức
- Soạn văn 12 (hay nhất) - KNTT
- Soạn văn 12 (ngắn nhất) - KNTT
- Giải sgk Toán 12 - KNTT
- Giải sgk Vật Lí 12 - KNTT
- Giải sgk Hóa học 12 - KNTT
- Giải sgk Sinh học 12 - KNTT
- Giải sgk Lịch Sử 12 - KNTT
- Giải sgk Địa Lí 12 - KNTT
- Giải sgk Giáo dục KTPL 12 - KNTT
- Giải sgk Tin học 12 - KNTT
- Giải sgk Công nghệ 12 - KNTT
- Giải sgk Hoạt động trải nghiệm 12 - KNTT
- Giải sgk Giáo dục quốc phòng 12 - KNTT
- Giải sgk Âm nhạc 12 - KNTT
- Giải sgk Mĩ thuật 12 - KNTT
- Lớp 12 Chân trời sáng tạo
- Soạn văn 12 (hay nhất) - CTST
- Soạn văn 12 (ngắn nhất) - CTST
- Giải sgk Toán 12 - CTST
- Giải sgk Vật Lí 12 - CTST
- Giải sgk Hóa học 12 - CTST
- Giải sgk Sinh học 12 - CTST
- Giải sgk Lịch Sử 12 - CTST
- Giải sgk Địa Lí 12 - CTST
- Giải sgk Giáo dục KTPL 12 - CTST
- Giải sgk Tin học 12 - CTST
- Giải sgk Hoạt động trải nghiệm 12 - CTST
- Giải sgk Âm nhạc 12 - CTST
- Lớp 12 Cánh diều
- Soạn văn 12 Cánh diều (hay nhất)
- Soạn văn 12 Cánh diều (ngắn nhất)
- Giải sgk Toán 12 Cánh diều
- Giải sgk Vật Lí 12 - Cánh diều
- Giải sgk Hóa học 12 - Cánh diều
- Giải sgk Sinh học 12 - Cánh diều
- Giải sgk Lịch Sử 12 - Cánh diều
- Giải sgk Địa Lí 12 - Cánh diều
- Giải sgk Giáo dục KTPL 12 - Cánh diều
- Giải sgk Tin học 12 - Cánh diều
- Giải sgk Công nghệ 12 - Cánh diều
- Giải sgk Hoạt động trải nghiệm 12 - Cánh diều
- Giải sgk Giáo dục quốc phòng 12 - Cánh diều
- Giải sgk Âm nhạc 12 - Cánh diều


Giải bài tập SGK & SBT
Tài liệu giáo viên
Sách
Khóa học
Thi online
Hỏi đáp

