17 bài tập trắc nghiệm Ứng dụng hình học của tích phân (có đáp án)
Với 17 bài tập & câu hỏi trắc nghiệm Ứng dụng hình học của tích phân lớp 12 có đáp án và lời giải chi tiết đầy đủ các mức độ nhận biết, thông hiểu, vận dụng sẽ giúp học sinh ôn trắc nghiệm Toán 12.
17 bài tập trắc nghiệm Ứng dụng hình học của tích phân (có đáp án)
(199k) Học Toán 12 KNTTHọc Toán 12 CDHọc Toán 12 CTST
Câu 1: Viết công thức tính thể tích V của khối tròn xoay được tạo ra khi quay hình thang cong giới hạn bởi đồ thị hàm số y = f(x), trục Ox và hai đường thẳng x = a, x = b (a < b) quanh trục Ox.
Chọn đáp án D
Câu 2: Tính diện tích hình phẳng giới hạn bởi đồ thị hàm số x3 - x và đồ thị hàm số y = x - x2.
Tìm hoành độ các giao điểm của hai đồ thị, ta có:
x3 - x = x - x3 <=> x3 + x2 - 2x = 0
Vậy diện tích của hình phẳng tính là
Vậy chọn đáp án B.
Câu 3: Kí hiệu (H) là hình phẳng giới hạn bởi đồ thị hàm số y = (x -1)e2x ,trục tung và đường thẳng y = 0. Tính thể tích của khối tròn xoay thu được khi quay hình (H) quanh trục Ox
Tìm hoành độ giao điểm của hai dồ thị, ta có:
(x - 1)e2x = 0 => x = 1
Vậy thể tích của khối tròn xoay thu được khi quay (H) quanh Ox được tính bởi
Đặt: u = (x - 1)2, dv e4xdx. Ta có du = 2(x -1)dx và v = e4x/4 .
Áp dụng công thức tích phân từng phần ta được
Đặt u1 = x - 1, dv1 = e4xdx , ta có du1 = dx, v1 = e4x/4 .
Vậy chọn đáp án A.
Câu 4: Sau chiến tranh thế giới thứ hai, tốc độ sinh ở cả nước phương Tây tăng rất nhanh. Giả sử rằng tốc độ sinh được cho bởi: b(t) = 5 + 2t, 0 ≤ t ≤ 10 , ( ở đó t số năm tính từ khi chiến tranh kết thúc, b(t) tính theo đơn vị triệu người).
a) Có bao nhiêu trẻ được sinh trong khoảng thời gian này ( tức là trong 10 năm đầu tiên sau chiến tranh)?
A. 100 triệu B. 120 triệu C. 150 triệu D. 250 triệu.
b) Tìm khoảng thời gian T sao cho số lượng trẻ được sinh ra là 14 triệu kể từ khi kết thức chiến tranh.
A. 1 năm B. 2 năm C. 3 năm D. 4 năm.
a) Để tìm số trẻ mới sinh, chúng ta sẽ tính tích phân tỉ lệ sinh b(t) trên khoảng thời gian 10 năm đầu tiên sau chiến tranh
Vậy số trẻ được sinh cần tìm là 150 triệu.
Chọn đáp án C.
b) Số lượng trẻ mới sinh trong khoảng thời T bằng:
Vậy chọn đáp án B.
Câu 5: Diện tích hình phẳng giới hạn bởi y = x2 - x + 3 và y = 2x + 1 là:
Ta có: x2 - x + 3 = 2x + 1 <=> x2 - 3x + 2 = 0 <=> x = 2 hoặc x = 1
Câu 6: Cho đồ thị hàm số y = f(x). Diện tích hình phẳng ( phần gạch sọc ) là:
Câu 7: Diện tích hình phẳng giới hạn bởi đồ thị hai hàm số y = √6 và y = 6 - x và trục tùng là:
Diện tích giới hạn được tính bởi
Câu 8: Diện tích hình phẳng giới hạn bởi đồ thị hàm số y = x + 1/x , trục hoành, đường thẳng x = -1 và đường thẳng x = -2 là:
Câu 9: Tính diện tích hình phẳng giới hạn bởi đồ thị hàm số y = ex - e-x , trục hoành, đường thẳng x = -1 và đường thẳng x = 1.
Diện tích hình phẳng được tính bởi
Câu 10: Tính diện tích hình phẳng giới hạn bởi đồ thị hàm số y = √x - x và trục hoành.
Xét phương trình
Khi đó diện tích hình phẳng được tính bởi
Câu 11: Gọi h(t) (cm) là mức nước ở bồn chứa sau khi bơm nước được t giây. Biết rằng
và lúc đầu bồn không có nước. Mức nước ở bồn sau khi bơm nước được 6 giây xấp xỉ bằng:
A. 2,65cm B. 2,66cm C. 2,67cm D. 2,68cm.
Mức nước trong bồn tại giây thứ t bằng:
Khi đó h(6) ≈ 2,66 cm .
Câu 12: Vận tốc của một vật chuyển động là
Quãng đường vật di chuyển trong khoảng thời gian 1,5 giây xấp xỉ bằng:
A. 0,33m B. 0,34m C. 0,35m D. 0,36m.
Quãng đường vật di chuyển sau thời gian 1,5 giây bằng
Câu 13: Thể tích phần vật thể giới hạn bởi hai mặt phẳng x = 0 và x = 3 biết rằng thiết diện của vật thể bị cắt bởi mặt phẳng vuông góc với trục Ox tại điểm có hoành độ x(0 ≤ x ≤ 3) là một hình chữ nhật có hai kích thước là x và 2√(9-x2)
Câu 14: Thể tích khối xoay khi quay quanh trục hoành một hình phẳng giới hạn bởi đồ thị hàm số y = x(x-4) và trục hoành là:
Phương trình hoành độ giao điểm của đồ thị và trục hoành :
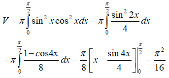
Câu 15: Thể tích khối tròn khi quay quanh trục hoành một hình phẳng giới hạn bởi đồ thị hàm số y = sinxcosx, y = 0, x = 0, x = π/2 là:
Thể tích khối tròn xoay là :
Câu 16: Thể tích khối tròn xoay khi quay quanh trục hoành một hình phẳng giới hạn bởi đồ thị hàm số y = lnx, y = 0, x = 2 là:
A. π(ln22 - 2ln2 + 1) B. 2π(ln22 - 2ln2 + 1)
C. 4π(ln22 - ln2 + 1) D. 2π(ln22 - ln2 + 1)
Phương trình giao điểm của đồ thị hàm số và trục hoành :
ln x = 0 ⇔ x = 1
Thể tích khối tròn xoay cần tính là :
Câu 17: Thể tích khối tròn xoay khi quay quanh trục tung một hình phẳng giới hạn bởi hình tròn tâm I(2;0) bán kính R = 1 là:
A. π2 B. 2π2 C. 4π2 D. 8π2
Phương trình đường tròn tâm I(2 ; 0), bán kính R = 1 là :
Đường tròn cắt trục tung tại hai điểm (0; 1) và( 0; -1).
Vậy ta có:
(199k) Học Toán 12 KNTTHọc Toán 12 CDHọc Toán 12 CTST
Xem thêm bài tập trắc nghiệm Toán lớp 12 có đáp án hay khác:
- 19 bài tập trắc nghiệm Nguyên hàm, tích phân và ứng dụng (có đáp án)
- Đề kiểm tra 1 tiết Toán 12 Giải tích Chương 3 (có đáp án)
- 16 bài tập trắc nghiệm Số phức (có đáp án)
- 17 bài tập trắc nghiệm Cộng, trừ và nhân số phức (có đáp án)
- 11 bài tập trắc nghiệm Phép chia số phức (có đáp án)
Đã có app VietJack trên điện thoại, giải bài tập SGK, SBT Soạn văn, Văn mẫu, Thi online, Bài giảng....miễn phí. Tải ngay ứng dụng trên Android và iOS.
Theo dõi chúng tôi miễn phí trên mạng xã hội facebook và youtube:Nếu thấy hay, hãy động viên và chia sẻ nhé! Các bình luận không phù hợp với nội quy bình luận trang web sẽ bị cấm bình luận vĩnh viễn.
- Giải Tiếng Anh 12 Global Success
- Giải sgk Tiếng Anh 12 Smart World
- Giải sgk Tiếng Anh 12 Friends Global
- Lớp 12 Kết nối tri thức
- Soạn văn 12 (hay nhất) - KNTT
- Soạn văn 12 (ngắn nhất) - KNTT
- Giải sgk Toán 12 - KNTT
- Giải sgk Vật Lí 12 - KNTT
- Giải sgk Hóa học 12 - KNTT
- Giải sgk Sinh học 12 - KNTT
- Giải sgk Lịch Sử 12 - KNTT
- Giải sgk Địa Lí 12 - KNTT
- Giải sgk Giáo dục KTPL 12 - KNTT
- Giải sgk Tin học 12 - KNTT
- Giải sgk Công nghệ 12 - KNTT
- Giải sgk Hoạt động trải nghiệm 12 - KNTT
- Giải sgk Giáo dục quốc phòng 12 - KNTT
- Giải sgk Âm nhạc 12 - KNTT
- Giải sgk Mĩ thuật 12 - KNTT
- Lớp 12 Chân trời sáng tạo
- Soạn văn 12 (hay nhất) - CTST
- Soạn văn 12 (ngắn nhất) - CTST
- Giải sgk Toán 12 - CTST
- Giải sgk Vật Lí 12 - CTST
- Giải sgk Hóa học 12 - CTST
- Giải sgk Sinh học 12 - CTST
- Giải sgk Lịch Sử 12 - CTST
- Giải sgk Địa Lí 12 - CTST
- Giải sgk Giáo dục KTPL 12 - CTST
- Giải sgk Tin học 12 - CTST
- Giải sgk Hoạt động trải nghiệm 12 - CTST
- Giải sgk Âm nhạc 12 - CTST
- Lớp 12 Cánh diều
- Soạn văn 12 Cánh diều (hay nhất)
- Soạn văn 12 Cánh diều (ngắn nhất)
- Giải sgk Toán 12 Cánh diều
- Giải sgk Vật Lí 12 - Cánh diều
- Giải sgk Hóa học 12 - Cánh diều
- Giải sgk Sinh học 12 - Cánh diều
- Giải sgk Lịch Sử 12 - Cánh diều
- Giải sgk Địa Lí 12 - Cánh diều
- Giải sgk Giáo dục KTPL 12 - Cánh diều
- Giải sgk Tin học 12 - Cánh diều
- Giải sgk Công nghệ 12 - Cánh diều
- Giải sgk Hoạt động trải nghiệm 12 - Cánh diều
- Giải sgk Giáo dục quốc phòng 12 - Cánh diều
- Giải sgk Âm nhạc 12 - Cánh diều


Giải bài tập SGK & SBT
Tài liệu giáo viên
Sách
Khóa học
Thi online
Hỏi đáp

