19 bài tập trắc nghiệm Nguyên hàm, tích phân và ứng dụng (có đáp án)
Với 19 bài tập & câu hỏi trắc nghiệm Nguyên hàm, tích phân và ứng dụng lớp 12 có đáp án và lời giải chi tiết đầy đủ các mức độ nhận biết, thông hiểu, vận dụng sẽ giúp học sinh ôn trắc nghiệm Toán 12.
19 bài tập trắc nghiệm Nguyên hàm, tích phân và ứng dụng (có đáp án)
(199k) Học Toán 12 KNTTHọc Toán 12 CDHọc Toán 12 CTST
Câu 1: Họ nguyên hàm của hàm số
Câu 2: Trong những phát biểu sau, phát biểu nào là sai?
Dó đó, phát biểu C sai.
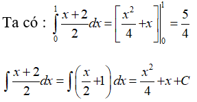
Câu 3: Tìm nguyên hàm của hàm số
Ta có:
Câu 4:
A. I = x2.sinx + x.cosx - 2sinx + C B. I = x2.sinx + 2x.cosx - 2sinx + C
C. I = x.sinx + 2x.cosx + C D. I = 2x.cosx + sinx + C
Câu 5:
A. I = ln3x - 2ln2x + 2lnx + C B. I = -ln3x - 2ln2x + 2lnx + C
C. I = ln3x + 2ln2x + 2lnx + C D. I = ln3x - 2ln2x - 2lnx + C
Đặt: t = lnx => dt = dx/x .
Ta có: I = ∫(3t2 - 4t + 2)dt = t3 - 2t2 + 2t + C = ln3x - 2ln2x + 2lnx + C
Câu 6:
Câu 7:
Ta có:
Câu 8: Tích phân
với α ∈ [0; π] là:
A. αcosα - sinα B. αcosα + sinα
C. -αcosα + sinα D. -αcosα - sinα
Áp dụng công thức tích phân từng phần ta có:
Câu 9: Cho tích phân
Phát biểu nào sau đây là sai:
Câu 10: Diện tích hình phẳng giới hạn bởi đồ thị các hàm số y = x2 và y = 2x là:
Phương trình hoành độ giao điểm của hai đồ thị là:
Câu 11: Diện tích hình phẳng giới hạn bởi y = (e + 1)x và y = (1 + ex)x là:
Phương trình hoành độ giao điểm:
Câu 12: Diện tích hình phẳng giới hạn bởi y = (x - 6)2 và y = 6x - x2 là:
A. 9 B. 9/2 C. 0 D. Kết quả khác.
Phương trình hoành độ giao điểm:
Câu 13: Diện tích hình phẳng giới hạn bởi đường cong: y = x2 + 1 , tiếp tuyến với đường cong này tại M(2;5) và trục Oy là:
A. 0 B. 16/3 C. 8/3 D. Kết quả khác .
Ta có: y' = 4
Phương trình tiếp tuyến với y = x2 + 1 tại M(2;5) là: y = 4(x - 2) + 5 = 4x - 3.
Ta có x2 + 1 = 4x - 3 => x = 2 khi đó diện tích hình phẳng cần tính là :
Câu 14: Thể tích vật thể tròn xoay sinh ra bởi phép quay quanh trục Ox của hình phẳng giới hạn bởi trục Ox và y = √xsinx với (0 ≤ x ≤ π) là:
Câu 15: Tính thể tích vật thể tròn xoay quanh trục Ox sinh bởi hình phẳng giới hạn bởi các đường
Thể tích vật thể tròn xoay là :
Câu 16: Tính thể tích vật thể tròn xoay quanh trục Oy sinh bởi hình phẳng giới hạn bởi các đường y = 2, y = 4 , y = x2/2 .
A. 12π B. -12π C. 16π D. -16π
Câu 17: Thể tích vật thể tròn xoay khi quay hình phẳng giới hạn bởi các đường y = tanx, y = 0, x = 0, x = π/3 quanh Ox là:
Thể tích vật thể tròn xoay là:
Câu 18: Diện tích hình phẳng giới hạn bởi ay = x2 và ax = y2 là:
A. -a3/3 B. a3/3 C. a2 D. -a2
Câu 19: Một vật chuyển động với vận tốc
Quãng đường vật đi được sau 4s xấp xỉ bằng:
A. 11m B. 12m C. 13m D. 14m.
Quãng đường vật di chuyển sau thời gian 4 giây bằng :
(199k) Học Toán 12 KNTTHọc Toán 12 CDHọc Toán 12 CTST
Xem thêm bài tập trắc nghiệm Toán lớp 12 có đáp án hay khác:
- Đề kiểm tra 1 tiết Toán 12 Giải tích Chương 3 (có đáp án)
- 16 bài tập trắc nghiệm Số phức (có đáp án)
- 17 bài tập trắc nghiệm Cộng, trừ và nhân số phức (có đáp án)
- 11 bài tập trắc nghiệm Phép chia số phức (có đáp án)
- 12 bài tập trắc nghiệm Phương trình bậc hai với hệ số thực (có đáp án)
Đã có app VietJack trên điện thoại, giải bài tập SGK, SBT Soạn văn, Văn mẫu, Thi online, Bài giảng....miễn phí. Tải ngay ứng dụng trên Android và iOS.
Theo dõi chúng tôi miễn phí trên mạng xã hội facebook và youtube:Nếu thấy hay, hãy động viên và chia sẻ nhé! Các bình luận không phù hợp với nội quy bình luận trang web sẽ bị cấm bình luận vĩnh viễn.
- Giải Tiếng Anh 12 Global Success
- Giải sgk Tiếng Anh 12 Smart World
- Giải sgk Tiếng Anh 12 Friends Global
- Lớp 12 Kết nối tri thức
- Soạn văn 12 (hay nhất) - KNTT
- Soạn văn 12 (ngắn nhất) - KNTT
- Giải sgk Toán 12 - KNTT
- Giải sgk Vật Lí 12 - KNTT
- Giải sgk Hóa học 12 - KNTT
- Giải sgk Sinh học 12 - KNTT
- Giải sgk Lịch Sử 12 - KNTT
- Giải sgk Địa Lí 12 - KNTT
- Giải sgk Giáo dục KTPL 12 - KNTT
- Giải sgk Tin học 12 - KNTT
- Giải sgk Công nghệ 12 - KNTT
- Giải sgk Hoạt động trải nghiệm 12 - KNTT
- Giải sgk Giáo dục quốc phòng 12 - KNTT
- Giải sgk Âm nhạc 12 - KNTT
- Giải sgk Mĩ thuật 12 - KNTT
- Lớp 12 Chân trời sáng tạo
- Soạn văn 12 (hay nhất) - CTST
- Soạn văn 12 (ngắn nhất) - CTST
- Giải sgk Toán 12 - CTST
- Giải sgk Vật Lí 12 - CTST
- Giải sgk Hóa học 12 - CTST
- Giải sgk Sinh học 12 - CTST
- Giải sgk Lịch Sử 12 - CTST
- Giải sgk Địa Lí 12 - CTST
- Giải sgk Giáo dục KTPL 12 - CTST
- Giải sgk Tin học 12 - CTST
- Giải sgk Hoạt động trải nghiệm 12 - CTST
- Giải sgk Âm nhạc 12 - CTST
- Lớp 12 Cánh diều
- Soạn văn 12 Cánh diều (hay nhất)
- Soạn văn 12 Cánh diều (ngắn nhất)
- Giải sgk Toán 12 Cánh diều
- Giải sgk Vật Lí 12 - Cánh diều
- Giải sgk Hóa học 12 - Cánh diều
- Giải sgk Sinh học 12 - Cánh diều
- Giải sgk Lịch Sử 12 - Cánh diều
- Giải sgk Địa Lí 12 - Cánh diều
- Giải sgk Giáo dục KTPL 12 - Cánh diều
- Giải sgk Tin học 12 - Cánh diều
- Giải sgk Công nghệ 12 - Cánh diều
- Giải sgk Hoạt động trải nghiệm 12 - Cánh diều
- Giải sgk Giáo dục quốc phòng 12 - Cánh diều
- Giải sgk Âm nhạc 12 - Cánh diều


Giải bài tập SGK & SBT
Tài liệu giáo viên
Sách
Khóa học
Thi online
Hỏi đáp

