30 bài tập trắc nghiệm Bất phương trình mũ và bất phương trình lôgarit (có đáp án - phần 2)
Với 30 bài tập & câu hỏi trắc nghiệm Bất phương trình mũ và bất phương trình lôgarit lớp 12 có đáp án và lời giải chi tiết đầy đủ các mức độ nhận biết, thông hiểu, vận dụng sẽ giúp học sinh ôn trắc nghiệm Toán 12.
30 bài tập trắc nghiệm Bất phương trình mũ và bất phương trình lôgarit (có đáp án - phần 2)
(199k) Học Toán 12 KNTTHọc Toán 12 CDHọc Toán 12 CTST
Câu 16: Giải bất phương trình 54x - 6 > 33x - 4
Lấy lôgarit theo cơ số 5 hai vế của bất phương trình, ta được :
Câu 17: Trong các số dương x thỏa mãn logx ≥ log2 + (1/2)logx
A. Số có giá trị lớn nhất là 1 C. số có giá trị lớn nhất là 4
B. Số có giá trị nhỏ nhất là 1 D. số có giá trị nhỏ nhất là 4
Ta có
Số x nhỏ nhất là 4
Câu 18: Giải bất phương trình log5(2x - 4) < log5(x + 3)
A. 2 < x < 7 B. -3 < x < 7 C. -3 < x < 2 D. x < 7
log5(2x - 4) < log5(x + 3)
Câu 19: Giải bất phương trình ln(xx - 2x - 2) < 0
A. -1 ≥ x ≥ 3 C. x ∞[-1; 1 - √3) ∪ (1 + √3)
B. -1 - √3 < x < 1 + √3 D. x ∞ (1 + √3), 3]
Điều kiện
Khi đó BPT ⇔ x2 - 2x - 2 ≤ e0 = 1 ⇔ x2 - 2x - 3 ≤ 0 ⇔ -1 ≤ x ≤ 3
Kết hợp được tập nghiệm: (1 + √3; 3)
Câu 20: Giải bất phương trình
Câu 21: Giải bất phương trình logx + log(x + 9) > 11
A. 0 < x < 3 C. x < 1 hoặc x > 2
B. x < 0 hoặc x > 3 D. 0 < x < 1 hoặc 2 < x < 3
Điều kiện x > 0. Khi đó bất phương trình đã cho tương đương với
log[x(x + 9)] > 1 ⇔ x(x + 9) > 10 ⇔ x2 + 9x - 10 > 0
⇔ x < -10 hoặc x > 1 ⇔ x > 1 (do x > 0)
Câu 22: Giải bất phương trình 3log2(x2 - 3x + 2) > 3
A. 0 < x < 3 C. x < 1 hoặc x > 2
B. x < 0 hoặc x > 3 D. 0 < x < 1 hoặc 2 < x < 3
Câu 23: Tìm miền xác định của hàm số y = ln(lnx)
A. D = (e; +∞) B. D = [e; ∞) C. D = (0; +∞) D. D = (1; +∞)
Điều kiện
Câu 24: Tìm khoảng đồng biến của hàm số y = xlnx
A. (0; 1/e) B. (0; e) C. (1/e; +∞) D. (e; +∞)
Tập xác định: (0; +∞).
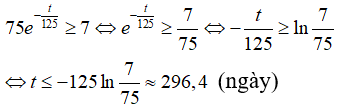
Câu 25: Một vệ tinh cần một nguồn điện có công suất 7W (oát) để hoạt động hết công năng. Nó được cung cấp bởi một nguồn điện đồng vị phóng xạ có công suất đầu ra P xác định bởi công thức
trong đó t là thời gian tính bằng ngày. Hỏi vệ tinh đó hoạt động hết công năng trong khoảng thời gian bao lâu kể từ ngày bắt đầu vận hành?
A. 128,7 ngày B. 250 ngày C. 296,4 ngày D. 365,5 ngày
Vệ tinh hoạt động hết công năng khi
Câu 26: Giá trị của một chiếc xe ô tô sau t năm được ước lượng bằng công thức G(t) = 600e-0,12t (triệu đồng). Để bán lại xe với giá trừ 200 triệu đến 300 triệu đồng, người chủ phải bán trong khoảng thời gian nào kể từ khi mua (làm tròn kết quả đến hàng phần mười của năm)?
A. Từ 2,5 đến 4,0 năm C. Từ 4,0 đến 6,2 năm
B. Từ 4,0 đến 9,2 năm D. Từ 5,8 đến 9,2 năm
Yêu cầu đề bài : 200 ≤ 600e-0,12t ≤ 300
Câu 27: Giải bất phương trình
A. x < 0 B. x > 0 C. x < 2/5 D. x > 2/5
Câu 28: Tìm tập nghiệm của bất phương trình
Câu 29: Miền xác định của hàm số y = log2004(log2003(log2002(log2001x))) là khoảng (c; +∞) . Xác định giá trị của c.
A. 20012002 B. 20022003 C. 20032004 D. 200120022003
Câu 30: Có bao nhiêu số nguyên dương n thỏa mãn điều kiện (130n)50 > n100 > 2200 ?
A. 7 B. 12 C. 65 D. 125
Lấy căn bậc 50 mỗi vế của bất phương trình ta nhận được
Từ đó có 125 số nguyên dương n thỏa mãn điều kiện đã cho
(199k) Học Toán 12 KNTTHọc Toán 12 CDHọc Toán 12 CTST
Xem thêm bài tập trắc nghiệm Toán lớp 12 có đáp án hay khác:
- 40 bài tập trắc nghiệm Hàm số lũy thừa, hàm số mũ, hàm số logarit (có đáp án)
- 40 bài tập trắc nghiệm Hàm số lũy thừa, hàm số mũ, hàm số logarit (có đáp án - phần 2)
- Đề kiểm tra 1 tiết Toán 12 Giải tích Chương 2 (có đáp án)
- 22 bài tập trắc nghiệm Nguyên hàm (có đáp án)
- 22 bài tập trắc nghiệm Nguyên hàm (có đáp án - phần 2)
- 18 bài tập trắc nghiệm Tích phân (có đáp án)
Đã có app VietJack trên điện thoại, giải bài tập SGK, SBT Soạn văn, Văn mẫu, Thi online, Bài giảng....miễn phí. Tải ngay ứng dụng trên Android và iOS.
Theo dõi chúng tôi miễn phí trên mạng xã hội facebook và youtube:Nếu thấy hay, hãy động viên và chia sẻ nhé! Các bình luận không phù hợp với nội quy bình luận trang web sẽ bị cấm bình luận vĩnh viễn.
- Giải Tiếng Anh 12 Global Success
- Giải sgk Tiếng Anh 12 Smart World
- Giải sgk Tiếng Anh 12 Friends Global
- Lớp 12 Kết nối tri thức
- Soạn văn 12 (hay nhất) - KNTT
- Soạn văn 12 (ngắn nhất) - KNTT
- Giải sgk Toán 12 - KNTT
- Giải sgk Vật Lí 12 - KNTT
- Giải sgk Hóa học 12 - KNTT
- Giải sgk Sinh học 12 - KNTT
- Giải sgk Lịch Sử 12 - KNTT
- Giải sgk Địa Lí 12 - KNTT
- Giải sgk Giáo dục KTPL 12 - KNTT
- Giải sgk Tin học 12 - KNTT
- Giải sgk Công nghệ 12 - KNTT
- Giải sgk Hoạt động trải nghiệm 12 - KNTT
- Giải sgk Giáo dục quốc phòng 12 - KNTT
- Giải sgk Âm nhạc 12 - KNTT
- Giải sgk Mĩ thuật 12 - KNTT
- Lớp 12 Chân trời sáng tạo
- Soạn văn 12 (hay nhất) - CTST
- Soạn văn 12 (ngắn nhất) - CTST
- Giải sgk Toán 12 - CTST
- Giải sgk Vật Lí 12 - CTST
- Giải sgk Hóa học 12 - CTST
- Giải sgk Sinh học 12 - CTST
- Giải sgk Lịch Sử 12 - CTST
- Giải sgk Địa Lí 12 - CTST
- Giải sgk Giáo dục KTPL 12 - CTST
- Giải sgk Tin học 12 - CTST
- Giải sgk Hoạt động trải nghiệm 12 - CTST
- Giải sgk Âm nhạc 12 - CTST
- Lớp 12 Cánh diều
- Soạn văn 12 Cánh diều (hay nhất)
- Soạn văn 12 Cánh diều (ngắn nhất)
- Giải sgk Toán 12 Cánh diều
- Giải sgk Vật Lí 12 - Cánh diều
- Giải sgk Hóa học 12 - Cánh diều
- Giải sgk Sinh học 12 - Cánh diều
- Giải sgk Lịch Sử 12 - Cánh diều
- Giải sgk Địa Lí 12 - Cánh diều
- Giải sgk Giáo dục KTPL 12 - Cánh diều
- Giải sgk Tin học 12 - Cánh diều
- Giải sgk Công nghệ 12 - Cánh diều
- Giải sgk Hoạt động trải nghiệm 12 - Cánh diều
- Giải sgk Giáo dục quốc phòng 12 - Cánh diều
- Giải sgk Âm nhạc 12 - Cánh diều


Giải bài tập SGK & SBT
Tài liệu giáo viên
Sách
Khóa học
Thi online
Hỏi đáp

