33 bài tập trắc nghiệm Phương trình mũ và phương trình lôgarit (có đáp án - phần 2)
Với 33 bài tập & câu hỏi trắc nghiệm Phương trình mũ và phương trình lôgarit lớp 12 có đáp án và lời giải chi tiết đầy đủ các mức độ nhận biết, thông hiểu, vận dụng sẽ giúp học sinh ôn trắc nghiệm Toán 12.
33 bài tập trắc nghiệm Phương trình mũ và phương trình lôgarit (có đáp án - phần 2)
(199k) Học Toán 12 KNTTHọc Toán 12 CDHọc Toán 12 CTST
Câu 17: Giả sử x1, x2 là hai nghiệm của phương trình 7x + 2.71 - x - 9 = 0.
A. log27 + 1 B. log72 + 1 C. log72 D. log27
Câu 18: Tìm nghiệm của phương trình 41 - x = 32x + 1
41 - x = 32x + 1 ⇔ 22 - 2x = 32x + 1
Lấy lôgarit cơ số 3 hai vế ta được :
Câu 19: Giải phương trình log5(x + 4) = 3
A. x = 11 B. x = 121 C. x = 239 D. x = 129
Điều kiện : x + 4 > 0 ⇔ x > -4
PT ⇔ x + 4 = 53 = 125 ⇔ x = 121 ( thỏa mãn điều kiện).
Vậy nghiệm cuả phương trình đã cho là 121.
Câu 20: Tìm các số thực a thỏa mãn log10(a2 - 15a) = 2
log10(a2 - 15a) = 2 ⇔ a2 - 15a = 102 = 100 ⇔ a2 - 15a - 100 = 0
Câu 21: Giải phương trình x2lnx = lnx9
A. x = 3 B. x = ±3 C. x = 1, x = 3 D. x = 1, x = ±3
Điều kiện x > 0.
Câu 22: Giải phương trình log4(log3(log2x)) = 0
A. x = 2 B. x = 8 C. x = ∛2 D. x = 432
log4(log3(log2x)) = 0 ⇔ log3(log2x) = 1 ⇔ log2x = 3 ⇔ x = 23 = 8 (thỏa mãn điều kiện).
Câu 23: Giải phương trình lnx + ln(x - 1) = ln2
A. x = 3/2 B. x = -1, x = 2 C. x = 2 D. x = 1, x = 3/2
Điều kiện x > 1
Ta có: lnx + ln(x - 1) = ln2
⇔ x(x - 1) = 2 ⇔ x2 - x - 2 = 0
⇔ x = -1 (loại) hoặc x = 2
Câu 24: Giả sử α và β là hai nghiệm của phương trình 3 + 2log2x = log2(14x - 3). Khẳng định nào sau đây là đúng ?
A. α = -4 B. log2α = -2 C. α = 3/2 D. α3/14
Trước hết, ta giải phương trình 3 + 2log2x = log2(14x - 3) (1)
Điều kiện x > 3/14. Khi đó (1) <=7gt; log28 + log2x2 = log2(14x - 3)
⇔ 8x2 = 14x - 3 ⇔ = 8x2 - 14x + 3 = 0
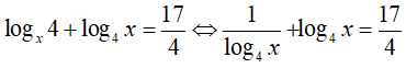
Câu 25: Tính tích các nghiệm của phương trình logx4 + log4x = 17/4
A. 1 B. 16 C. 4∜4 D. 256√2
Điều kiện : x > 0 ; x ≠ 1
Đặt t = log4x, nhận được phương trình:
Tích hai nghiệm : 256.√2
Câu 26: Tìm hai số x và y đồng thời thỏa mãn 3x + y = 81 và 81x - y = 3
Câu 27: Một quần thể vi khuẩn bắt đầu từ 100 cá thể và cứ sau 3 giờ thì số cá thể lại tăng gấp đôi. Bởi vậy, số cá thể vi khuẩn được biểu thị theo thời gian t (tính bằng giờ) bằng công thức
Hỏi sau bao lâu thì quần thể này đạt đến 50000 cá thể (làm tròn kết quả đến hàng phần mười) ?
A. 36,8 giờ B. 30,2 giờ C. 26,9 giờ D. 18,6 giờ
Sau t giờ thì số cá thể vi khuẩn có được là :
Câu 28: Khi đèn flash của một máy ảnh tắt thì ngay lập tức nguồn điện từ pin sẽ xạc cho tụ điện của nó. Lượng điện tích trong tụ xác định bởi công thức
trong đó Q0 là điện tích tối đa mà tụ có thể tích được, thời gian t tính bằng giây. Hỏi sau bao lâu thì tụ tích được 90% điện tích tối đa ?
A. 3,2 giây B. 4,6 giây C. 4,8 giây D. 9,2 giây
Để tụ tích được 90% điện tích tối đa thì Q(t) = 90%Q0
Ta có: Q0(1 - e-1/2) = 0,9Q0 ⇔ e-1/2 = 0,1 ⇔ t = -2ln0,1 ≈ 4,6 (giây)
Câu 29: Chiều dài (tính bằng xentimet) của một loài cá bơn ở Thái Bình Dương theo tuổi của nó (kí hiệu là t, tính bằng năm) được ước lượng bởi công thức f(t) = 200(1 - 0,956e-0,18t). Một con cá bơn thuộc loài này có chiều dài 140cm. Hãy ước lượng tuổi của nó.
A. 2,79 năm B. 6,44 năm C. 7,24 năm D. 12,54 năm
Con cá bơn có chiều dài là 140cm nên:
Câu 30: Có một dịch cúm trong một khu vực quân đội và số người lính ở đó mắc bệnh cúm sau t ngày (kể từ ngày dịch cúm bùng phát) được ước lượng bằng công thức
trong đó k là một hằng số. Biết rằng có 40 người lính mắc bệnh cúm sau 7 ngày. Tìm giá trị của hằng số k.
A. 0,33 B. 2,31 C. 1,31 D. -2,31
Ta có:
Câu 31: Nếu log(log(log(logx))) = 0 thì x = 10k . Tìm giá trị của k
A. 10 B. 100 C. 103 D. 1010
log(log(log(logx))) = 0 ⇔ log(log(logx)) = 1 ⇔ log(logx) = 10
⇔ logx = 1010 ⇔ x = 101010 (thỏa mãn điều kiện)
⇒ k = 1010
Câu 32: Giải phương trình log3x = (-2 + log2100)(log3√2)
A. x = 5 B. x = 3√2 C. x = 24 D. x = 50
Điều kiện : x > 0
Câu 33: Tìm tập hợp các nghiệm của phương trình
Lấy lôgarit cơ số 10 hai vế phương trình ta được
Kết hợp điều kiện, phương trình có 2 nghiệm là x= 100 và x= 10
(199k) Học Toán 12 KNTTHọc Toán 12 CDHọc Toán 12 CTST
Xem thêm bài tập trắc nghiệm Toán lớp 12 có đáp án hay khác:
- 30 bài tập trắc nghiệm Bất phương trình mũ và bất phương trình lôgarit (có đáp án)
- 30 bài tập trắc nghiệm Bất phương trình mũ và bất phương trình lôgarit (có đáp án - phần 2)
- 40 bài tập trắc nghiệm Hàm số lũy thừa, hàm số mũ, hàm số logarit (có đáp án)
- Đề kiểm tra 1 tiết Toán 12 Giải tích Chương 2 (có đáp án)
- 22 bài tập trắc nghiệm Nguyên hàm (có đáp án)
- 22 bài tập trắc nghiệm Nguyên hàm (có đáp án - phần 2)
Đã có app VietJack trên điện thoại, giải bài tập SGK, SBT Soạn văn, Văn mẫu, Thi online, Bài giảng....miễn phí. Tải ngay ứng dụng trên Android và iOS.
Theo dõi chúng tôi miễn phí trên mạng xã hội facebook và youtube:Nếu thấy hay, hãy động viên và chia sẻ nhé! Các bình luận không phù hợp với nội quy bình luận trang web sẽ bị cấm bình luận vĩnh viễn.
- Giải Tiếng Anh 12 Global Success
- Giải sgk Tiếng Anh 12 Smart World
- Giải sgk Tiếng Anh 12 Friends Global
- Lớp 12 Kết nối tri thức
- Soạn văn 12 (hay nhất) - KNTT
- Soạn văn 12 (ngắn nhất) - KNTT
- Giải sgk Toán 12 - KNTT
- Giải sgk Vật Lí 12 - KNTT
- Giải sgk Hóa học 12 - KNTT
- Giải sgk Sinh học 12 - KNTT
- Giải sgk Lịch Sử 12 - KNTT
- Giải sgk Địa Lí 12 - KNTT
- Giải sgk Giáo dục KTPL 12 - KNTT
- Giải sgk Tin học 12 - KNTT
- Giải sgk Công nghệ 12 - KNTT
- Giải sgk Hoạt động trải nghiệm 12 - KNTT
- Giải sgk Giáo dục quốc phòng 12 - KNTT
- Giải sgk Âm nhạc 12 - KNTT
- Giải sgk Mĩ thuật 12 - KNTT
- Lớp 12 Chân trời sáng tạo
- Soạn văn 12 (hay nhất) - CTST
- Soạn văn 12 (ngắn nhất) - CTST
- Giải sgk Toán 12 - CTST
- Giải sgk Vật Lí 12 - CTST
- Giải sgk Hóa học 12 - CTST
- Giải sgk Sinh học 12 - CTST
- Giải sgk Lịch Sử 12 - CTST
- Giải sgk Địa Lí 12 - CTST
- Giải sgk Giáo dục KTPL 12 - CTST
- Giải sgk Tin học 12 - CTST
- Giải sgk Hoạt động trải nghiệm 12 - CTST
- Giải sgk Âm nhạc 12 - CTST
- Lớp 12 Cánh diều
- Soạn văn 12 Cánh diều (hay nhất)
- Soạn văn 12 Cánh diều (ngắn nhất)
- Giải sgk Toán 12 Cánh diều
- Giải sgk Vật Lí 12 - Cánh diều
- Giải sgk Hóa học 12 - Cánh diều
- Giải sgk Sinh học 12 - Cánh diều
- Giải sgk Lịch Sử 12 - Cánh diều
- Giải sgk Địa Lí 12 - Cánh diều
- Giải sgk Giáo dục KTPL 12 - Cánh diều
- Giải sgk Tin học 12 - Cánh diều
- Giải sgk Công nghệ 12 - Cánh diều
- Giải sgk Hoạt động trải nghiệm 12 - Cánh diều
- Giải sgk Giáo dục quốc phòng 12 - Cánh diều
- Giải sgk Âm nhạc 12 - Cánh diều


Giải bài tập SGK & SBT
Tài liệu giáo viên
Sách
Khóa học
Thi online
Hỏi đáp

