Công thức tính chuẩn độ acid - base lớp 11 (hay, chi tiết)
Bài viết Công thức tính chuẩn độ acid - base lớp 11 trình bày đầy đủ công thức, ví dụ minh họa có lời giải chi tiết và các bài tập tự luyện giúp học sinh nắm vững kiến thức trọng tâm về Công thức tính chuẩn độ acid - base từ đó học tốt môn Hóa học.
Công thức tính chuẩn độ acid - base lớp 11 (hay, chi tiết)
I. Lý thuyết và phương pháp giải
Chuẩn độ là phương pháp xác định nồng độ của một chất bằng một dung dịch chuẩn đã biết nồng độ. Dựa vào thể tích của các dung dịch khi phản ứng vừa đủ với nhau, xác định được nồng độ dung dịch chất cần chuẩn độ.
Ví dụ:
Trong phòng thí nghiệm, nồng độ của dung dịch base mạnh (NaOH) được xác định bằng một dung dịch acid mạnh (HCl) đã biết trước nồng độ mol dựa trên phản ứng:
NaOH + HCl → NaCl + H2O
Khi các chất phản ứng vừa đủ với nhau, số mol HCl phản ứng bằng số mol NaOH.
Ta có:
VHCl. CHCl = VNaOH. CNaOH
Trong đó:
+ CHCl, CNaOH lần lượt là nồng độ mol của dung dịch HCl và NaOH.
+ VHCl, VNaOH lần lượt là thể tích của dung dịch HCl và NaOH (cùng đơn vị đo).
Khi biết VHCl, VNaOH trong quá trình chuẩn độ và biết CHCl sẽ tính được CNaOH.
II. Ví dụ minh hoạ
Ví dụ 1. Để xác định nồng độ của một dung dịch HCl, người ta đã tiến hành chuẩn độ bằng dung dịch NaOH 0,1 M. Để chuẩn độ 10 mL dung dịch HCl này cần 15 mL dung dịch NaOH. Nồng độ của dung dịch HCl là
A. 0,10M.
B. 0,15M.
C. 0,01M.
D. 0,25M.
Hướng dẫn giải
Đáp án đúng là: B
Phương trình hoá học: NaOH + HCl → NaCl + H2O
Ta có: CHCl.VHCl = CNaOH.VNaOH ⇒
Ví dụ 2. Một mẫu dung dịch H2SO4 (gọi là mẫu A) được phân tích bằng cách thêm 50,0 mL dung dịch NaOH 0,213 M vào 100 mL dung dịch mẫu A rồi lắc đều. Sau khi phản ứng xảy ra, người ta thấy trong hỗn hợp dung dịch còn dư ion OH-. Phần ion dư này cần 13,21 mL HCl 0,103 M để trung hòa. Nồng độ mol.L-1 của mẫu A là
A. 0,4640.
B. 0,0464.
C. 0,0646.
D. 0,0060.
Hướng dẫn giải
Đáp án đúng là: B
Phương trình hóa học của các phản ứng xảy ra như sau:
2NaOH + H2SO4 → Na2SO4 + 2H2O
HCl + NaOH → NaCl + H2O
Số mol NaOH thêm vào 100 mL dung dịch H2SO4 là: 0,05.0,213 = 1,065.10-2 (mol).
Số mol NaOH được trung hòa bởi HCl là 0,01321.0,013 = 1,361.10-3 (mol).
Số mol NaOH được trung hòa bởi 100mL dung dịch H2SO4 là: 1,065.10-2 – 1,361.10-3 = 9,289.10-3(mol).
Vậy nồng độ H2SO4 trong mẫu phân tích là
III. Bài tập vận dụng
Câu 1. Để xác định nồng độ của một dung dịch HCl, người ta đã tiến hành chuẩn độ bằng dung dịch NaOH 0,02 M. Để chuẩn độ 5 mL dung dịch HCl này cần 10 mL dung dịch NaOH. Nồng độ của dung dịch HCl là
A. 0,01M.
B. 0,05M.
C. 0,02M.
D. 0,04M.
Hướng dẫn giải
Đáp án đúng là: D
NaOH + HCl → NaCl + H2O
Ta có: CHCl.VHCl = CNaOH.VNaOH ⇒
Câu 2. Để xác định nồng độ của một dung dịch H2SO4, người ta đã tiến hành chuẩn độ bằng dung dịch KOH 0,2 M. Để chuẩn độ 10 mL dung dịch H2SO4 này cần 10 mL dung dịch KOH. Nồng độ của dung dịch H2SO4 là
A. 0,10M.
B. 0,15M.
C. 0,12M.
D. 0,14M.
Hướng dẫn giải
Đáp án đúng là: A
2KOH + H2SO4 → K2SO4 + 2H2O
Ta có:
Câu 3. Để xác định nồng độ của một dung dịch HNO3, người ta đã tiến hành chuẩn độ bằng dung dịch NaOH 0,01 M. Để chuẩn độ 10 mL dung dịch HNO3 này cần 20 mL dung dịch NaOH. Nồng độ của dung dịch HNO3 là
A. 0,01M.
B. 0,05M.
C. 0,02M.
D. 0,04M.
Hướng dẫn giải
Đáp án đúng là: C
NaOH + HNO3 → NaNO3 + H2O
Ta có:
Câu 4. Để xác định nồng độ của một dung dịch NaOH, người ta đã tiến hành chuẩn độ bằng dung dịch HCl 0,1 M. Để chuẩn độ 10 mL dung dịch NaOH này cần 12 mL dung dịch HCl. Nồng độ của dung dịch NaOH là
A. 0,10M.
B. 0,15M.
C. 0,12M.
D. 0,14M.
Hướng dẫn giải
Đáp án đúng là: C
NaOH + HCl → NaCl + H2O
Ta có: CHCl.VHCl = CNaOH.VNaOH ⇒
Câu 5. Để xác định nồng độ của một dung dịch KOH, người ta đã tiến hành chuẩn độ bằng dung dịch HCl 0,01 M. Để chuẩn độ 10 mL dung dịch KOH này cần 16 mL dung dịch HCl. Nồng độ của dung dịch KOH là
A. 0,010M.
B. 0,016M.
C. 0,012M.
D. 0,014M.
Hướng dẫn giải
Đáp án đúng là: B
KOH + HCl → KCl + H2O
Ta có: CHCl.VHCl = CKOH.VKOH ⇒
Câu 6. Để chuẩn độ 40 mL dung dịch HCl chưa biết nồng độ đã dùng trung bình hết 34 mL dung dịch NaOH 0,12 M. Nồng độ mol của dung dịch HCl là
A. 0,102M.
B. 0,105M.
C. 0,002M.
D. 0,004M.
Hướng dẫn giải
Đáp án đúng là: A
Câu 7. Để chuẩn độ 50 mL dung dịch CH3COOH chưa biết nồng độ đã dùng trung bình hết 75 mL dung dịch NaOH 0,05 M. Nồng độ mol của dung dịch CH3COOH là
A. 0,001M.
B. 0,075M.
C. 0,375M.
D. 0,004M.
Hướng dẫn giải
Đáp án đúng là: B
nNaOH = 0,075. 0,05 = 0,00375 (mol).
Câu 8. Để xác định nồng độ của một dung dịch HNO3, người ta đã tiến hành chuẩn độ bằng dung dịch KOH 0,01 M. Để chuẩn độ 10 mL dung dịch HNO3 này cần 5 mL dung dịch KOH. Nồng độ của dung dịch HNO3 là
A. 0,001M.
B. 0,005M.
C. 0,002M.
D. 0,004M.
Hướng dẫn giải
Đáp án đúng là: B
NaOH + HNO3 → NaNO3 + H2O
Ta có:
Câu 9. Một học sinh thực hiện thí nghiệm sau: Lấy 10 mL dung dịch HCl 0,2 M cho vào 5 mL dung dịch NH3 thu được dung dịch A. Chuẩn độ lượng HCl dư trong dung dịch A bằng dung dịch NaOH 0,1 M thấy phản ứng hết 10,2 mL. Nồng độ của dung dịch NH3 ban đầu là
A. 0,001M.
B. 0,196M.
C. 0,002M.
D. 0,169M.
Hướng dẫn giải
Đáp án đúng là: B
Số mol HCl ban đầu = 10.10-3.0,2 = 2.10-3 (mol)
Số mol HCl phản ứng với NH3 = 2.10-3 – 1,02.10-3 = 0,98.10-3 (mol)
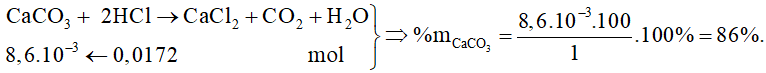
Câu 10. Vỏ trứng có chứa calcium ở dạng CaCO3. Để xác định hàm lượng CaCO3 trong vỏ trứng, trong phòng thí nghiệm người ta có thể làm như sau:
Lấy 1,0 g vỏ trứng khô, đã được làm sạch, hòa tan hoàn toàn trong 50 mL dung dịch HCl 0,4 M. Lọc dung dịch sau phản ứng thu được 50 mL dung dịch A. Lấy 10 mL dung dịch A chuẩn độ với dung dịch NaOH 0,1 M thấy hết 5,6 mL. Hàm lượng cacium trong vỏ trứng (giả thiết các tạp chất khác trong vỏ trứng không phản ứng với HCl) là
A. 68%.
B. 86%.
C. 32%.
D. 14%.
Hướng dẫn giải
Đáp án đúng là: B
Số mol HCl tác dụng với NaOH là
⇒ Số mol HCl có trong 50 mL dung dịch A là:
⇒ Số mol HCl phản ứng với CaCO3 là:
Xem thêm các bài viết về công thức Hóa học 11 hay, chi tiết khác:
Tủ sách VIETJACK shopee lớp 6-8 (2025):
Đã có app VietJack trên điện thoại, giải bài tập SGK, SBT Soạn văn, Văn mẫu, Thi online, Bài giảng....miễn phí. Tải ngay ứng dụng trên Android và iOS.
Theo dõi chúng tôi miễn phí trên mạng xã hội facebook và youtube:Loạt bài 500 Công thức, Định Lí, Định nghĩa Toán, Vật Lí, Hóa học, Sinh học được biên soạn bám sát nội dung chương trình học các cấp.
Nếu thấy hay, hãy động viên và chia sẻ nhé! Các bình luận không phù hợp với nội quy bình luận trang web sẽ bị cấm bình luận vĩnh viễn.
- Đề thi lớp 1 (các môn học)
- Đề thi lớp 2 (các môn học)
- Đề thi lớp 3 (các môn học)
- Đề thi lớp 4 (các môn học)
- Đề thi lớp 5 (các môn học)
- Đề thi lớp 6 (các môn học)
- Đề thi lớp 7 (các môn học)
- Đề thi lớp 8 (các môn học)
- Đề thi lớp 9 (các môn học)
- Đề thi lớp 10 (các môn học)
- Đề thi lớp 11 (các môn học)
- Đề thi lớp 12 (các môn học)
- Giáo án lớp 1 (các môn học)
- Giáo án lớp 2 (các môn học)
- Giáo án lớp 3 (các môn học)
- Giáo án lớp 4 (các môn học)
- Giáo án lớp 5 (các môn học)
- Giáo án lớp 6 (các môn học)
- Giáo án lớp 7 (các môn học)
- Giáo án lớp 8 (các môn học)
- Giáo án lớp 9 (các môn học)
- Giáo án lớp 10 (các môn học)
- Giáo án lớp 11 (các môn học)
- Giáo án lớp 12 (các môn học)


Giải bài tập SGK & SBT
Tài liệu giáo viên
Sách
Khóa học
Thi online
Hỏi đáp

