Công thức tính hiệu suất tổng hợp NH3 lớp 11 (hay, chi tiết)
Bài viết Công thức tính hiệu suất tổng hợp NH3 lớp 11 trình bày đầy đủ công thức, ví dụ minh họa có lời giải chi tiết và các bài tập tự luyện giúp học sinh nắm vững kiến thức trọng tâm về Công thức tính hiệu suất tổng hợp NH3 từ đó học tốt môn Hóa học.
Công thức tính hiệu suất tổng hợp NH3 lớp 11 (hay, chi tiết)
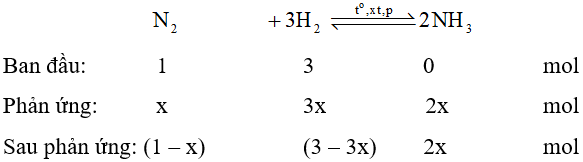
I. Lý thuyết và phương pháp giải
Phản ứng tổng hợp ammonia:
Gọi số mol N2 phản ứng là x mol ⇒ số mol H2 phản ứng là 3x mol.
Ta có: nsau = ntrước – 2x (mol)
Bảo toàn khối lượng:
Từ đó ta tính được x và hiệu suất phản ứng: (tính theo chất hết trước).
Chú ý:
- Nếu đề bài chỉ cho tỉ lệ mol của N2 và H2 thì ta có thể chọn số mol của N2 và H2 đúng như tỉ lệ đã cho để tính toán.
- Nếu đề không cho mà cho Ptrước, Psau thì áp dụng công thức
- Trường hợp đặc biệt nếu thì có thể tính nhanh hiệu suất phản ứng
+ Nếu H2 dư (so với lượng cần thiết), hiệu suất phản ứng tính theo N2.
+ Nếu N2 dư (so với lượng cần thiết), hiệu suất phản ứng tính theo H2.
+ Nếu hiệu suất tính theo N2 hoặc H2 đều được.
II. Ví dụ minh hoạ
Ví dụ 1. Cho vào bình kín 0,2mol N2 và 0,8mol H2 với xúc tác thích hợp. Sau một thời gian thấy tạo ra 0,3mol NH3. Hiệu suất phản ứng được tổng hợp là
A. 75%.
B. 56,25%.
C. 75,8%.
D. kết quả khác.
Hướng dẫn giải
Đáp án đúng là: A
Giả sử H = 100% thì N2 hết → Hiệu suất phản ứng tính theo N2;
Theo bài ra: nnitrogen phản ứng = 0,15 mol
H =
Ví dụ 2: Hỗn hợp khí X gồm N2 và H2 có tỉ khối đối với H2 bằng 3,6. Nung nóng X trong bình kín có bột Fe xúc tác, thu được hỗn hợp khí Y có số mol giảm 8% so với ban đầu. Hiệu suất của phản ứng tổng hợp NH3 là
A. 25%.
B. 23%.
C. 16%.
D. 20%.
Hướng dẫn giải
Đáp án đúng là: D
Giả sử ban đầu có x mol N2 và y mol H2.
Ta có:
Giả sử có 1 mol N2 và 4 mol H2. Vậy số mol ban đầu là 5 mol.
Tổng số mol khí sau phản ứng: nsau = (1 – x) + (4 – 3x) + 2x = 5 – 2x (mol).
Số mol Y giảm 8% so với ban đầu
Giả sử H = 100% thì N2 hết, do đó hiệu xuất phản ứng tính theo N2.
Ta có: H = = 20%.
III. Bài tập vận dụng
Câu 1. Hỗn hợp khí A gồm N2 và H2 (có tỉ lệ mol 1 : 3). Đun nóng A một thời gian trong bình kín, thu được hỗn hợp B có tỉ khối dA/B = 0,925. Hiệu suất của phản ứng tổng hợp NH3 là
A. 25%.
B. 15%.
C. 10%.
D. 5%.
Hướng dẫn giải
Đáp án đúng là: B
Gọi số mol của N2 và H2 lần lượt là 1 và 3 mol
Bảo toàn khối lượng:
So sánh: hiệu suất tính theo N2 hoặc H2
Gọi số mol N2 phản ứng là x mol
Phương trình hóa học:
Ta có: (1 – x) + (3 – 3x) + 2x = 3,7 Þ x = 0,15
Câu 2.Trong một bình kín chứa 10 lít nitrogen và 10 lít hydrogen ở nhiệt độ 0oC và 10 atm. Sau phản ứng tổng hợp NH3, lại đưa bình về 0oC. Biết rằng có 60% hydrogen tham gia phản ứng, áp suất trong bình sau phản ứng là
A. 10 atm.
B. 8 atm.
C. 9 atm.
D. 8,5 atm.
Hướng dẫn giải
Đáp án đúng là: B
So sánh: hiệu suất tính theo H2
lít
Phương trình hóa học:
Vì trước và sau phản ứng nhiệt độ không thay đổi nên:
Câu 3. Cho hỗn hợp khí (X) gồm N2, H2, NH3, có tỉ khối so với khí hydrogen là 8. Dẫn hỗn hợp khí (X) đi qua dung dịch H2SO4 đặc, dư thì thể tích khí còn lại một nửa. Thành phần % theo thể tích mỗi khí trong hỗn hợp (X) lần lượt là
A. 25% N2, 25% H2 và 50% NH3.
B. 25% N2, 50% H2 và 25% NH3.
C. 50% N2, 25% H2 và 25% NH3.
D. 20% N2, 30% H2 và 50% NH3.
Hướng dẫn giải
Đáp án đúng là: A
Dung dịch H2SO4 đặc hấp thụ NH3, lượng khí giảm là lượng NH3 bị hấp thụ.
2NH3 + H2SO4 → (NH4)2SO4
⇒ %NH3 = 50%
Giả sử số mol hỗn hợp = 1 mol ⇒ (1)
Tỉ khối của hỗn hợp so với H2 = 8
⇒
⇒
⇒ (2)
Từ (1) và (2) ⇒
⇒ %N2 = %H2 = 25%.
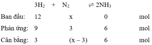
Câu 4. Cho x mol N2 và 12 mol H2 vào bình kín dung tích 10 lít, tại thời điểm cân bằng thấy có 6 mol NH3 tạo thành. Biết hiệu suất của phản ứng là 60%. Giá trị của x là
A. 5.
B. 9.
C. 3.
D. 12.
Hướng dẫn giải
Đáp án đúng là: A
Ta có: → x = 5 mol.
Câu 5. Dùng 11,15 lít khí hydrogen (đkc) với hiệu suất chuyển hoá thành ammonia là 33,33% thì có thể thu được m gam NH3 là
A. 17 gam.
B. 8,5 gam.
C. 5,1 gam.
D. 1,7 gam.
Hướng dẫn giải
Đáp án đúng là: D
Do H = 33,33% → m = 0,3.17.33,33% = 1,7 gam.
Câu 6. Để điều chế ra 2 lít NH3 từ N2 và H2 với hiệu suất 25% thì cần thể tích N2 ở cùng điều kiện là
A. 8 lít.
B. 4 lít.
C. 2 lít.
D. 1 lít.
Hướng dẫn giải
Đáp án đúng là: B
Do H = 25% nên lít.
Câu 7. Điều chế NH3 từ hỗn hợp hồm N2 và H2 (tỉ lệ 1 : 3). Tỉ khối hỗn hợp trước so với hỗn hợp sau phản ứng là 0,9. Hiệu suất phản ứng là
A. 25%.
B. 40%.
C. 10%.
D. 20%.
Hướng dẫn giải
Đáp án đúng là: D
Ta có = 0,9
Áp dụng định luật bảo toàn khối lượng: msau = m trước
⇒
Giả sử ban đầu có 10 mol khí ⇒
(Do ban đầu số mol N2 : H2 = 1 : 3 → hiệu suất tính theo H2 hoặc N2)
Sau phản ứng
⇒ x = 0,5 ⇒
Câu 8. Cho cân bằng hoá học sau:
Tổng số mol của hỗn hợp khí khi hệ đạt cân bằng ở nhiệt độ 400 °C và 500 °C lần lượt bằng x và y. Mối quan hệ giữa x và y là
A. x > y.
B. x = y.
C. x <y.
D. 5x = 4y.
Hướng dẫn giải
Đáp án đúng là: A
Phản ứng tỏa nhiệt do nên khi tăng nhiệt độ cân bằng chuyển dịch theo chiều nghịch.
Vậy tổng số mol khí ở 400oC > tổng số mol khí ở 500oC
⇒ x > y.
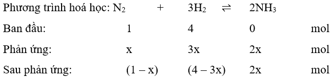
Câu 9. Hỗn hợp X gồm N2 và H2 có tỉ lệ mol tương ứng là 1 : 4. Nung nóng X trong bình kín ở nhiệt độ khoảng 450oC có bột Fe xúc tác, thu được hỗn hợp khí Y có tỉ khối so với H2 bằng 4. Hiệu suất của phản ứng tổng hợp NH3 là
A. 20%.
B. 25%.
C. 30%.
D. 10%.
Hướng dẫn giải
Đáp án đúng là: B
Giả sử có 1 mol N2 và 4 mol H2.
Tổng số mol khí sau phản ứng: nsau = (1 – x) + (4 – 3x) + 2x = 5 – 2x (mol).
Áp dụng định luật bảo toàn khối lượng có:
mtrước = msau ⇔ 28.1 + 2.4 = (5 – 2x).4.2 Þ x = 0,25.
Giả sử H = 100% thì N2 hết, do đó hiệu suất phản ứng tính theo N2.
Ta có: H = = 25%.
Câu 10. Cho 4 lít N2 và 14 lít H2 vào bình kín rồi nung nóng với xúc tác thích hợp để phản ứng xảy ra, sau phản ứng thu được 16,4 lít hỗn hợp khí (các khí đo ở cùng điều kiện nhiệt độ và áp suất). Thể tích khí amoniac thu được là
A. 1,60 lít.
B. 16,40 lít.
C. 8,00 lít.
D. 9,33 lít.
Hướng dẫn giải
Đáp án đúng là: A
Trong cùng điều kiện nhiệt độ và áp suất thì tỉ lệ thể tích bằng tỉ lệ số mol.
Gọi thể tích khí N2 đã phản ứng là x lít
Phương trình hóa học:
Tổng thể tích sau phản ứng là 16,4 lít nên (4 – x) + (14 - 3x) + 2x = 16,4
⇒ x = 0,8 lít.
lít.
Xem thêm các bài viết về công thức Hóa học 11 hay, chi tiết khác:
Tủ sách VIETJACK shopee lớp 6-8 (2025):
Đã có app VietJack trên điện thoại, giải bài tập SGK, SBT Soạn văn, Văn mẫu, Thi online, Bài giảng....miễn phí. Tải ngay ứng dụng trên Android và iOS.
Theo dõi chúng tôi miễn phí trên mạng xã hội facebook và youtube:Loạt bài 500 Công thức, Định Lí, Định nghĩa Toán, Vật Lí, Hóa học, Sinh học được biên soạn bám sát nội dung chương trình học các cấp.
Nếu thấy hay, hãy động viên và chia sẻ nhé! Các bình luận không phù hợp với nội quy bình luận trang web sẽ bị cấm bình luận vĩnh viễn.
- Đề thi lớp 1 (các môn học)
- Đề thi lớp 2 (các môn học)
- Đề thi lớp 3 (các môn học)
- Đề thi lớp 4 (các môn học)
- Đề thi lớp 5 (các môn học)
- Đề thi lớp 6 (các môn học)
- Đề thi lớp 7 (các môn học)
- Đề thi lớp 8 (các môn học)
- Đề thi lớp 9 (các môn học)
- Đề thi lớp 10 (các môn học)
- Đề thi lớp 11 (các môn học)
- Đề thi lớp 12 (các môn học)
- Giáo án lớp 1 (các môn học)
- Giáo án lớp 2 (các môn học)
- Giáo án lớp 3 (các môn học)
- Giáo án lớp 4 (các môn học)
- Giáo án lớp 5 (các môn học)
- Giáo án lớp 6 (các môn học)
- Giáo án lớp 7 (các môn học)
- Giáo án lớp 8 (các môn học)
- Giáo án lớp 9 (các môn học)
- Giáo án lớp 10 (các môn học)
- Giáo án lớp 11 (các môn học)
- Giáo án lớp 12 (các môn học)


Giải bài tập SGK & SBT
Tài liệu giáo viên
Sách
Khóa học
Thi online
Hỏi đáp

