Nồng độ dung dịch cho biết những gì
Nồng độ dung dịch cho biết những gì
Câu hỏi : Nồng độ dung dịch cho biết những gì?
Trả lời:
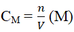
- Nồng độ mol (CM) của dung dịch cho biết số mol chất tan có trong 1 lít dung dịch.
Công thức tính nồng độ mol của dung dịch:
Ví dụ: Dung dịch HCl 0,1 M cho biết trong một lít dung dịch có 0,1 mol H2SO4.
- Nồng độ phần trăm (C%) của một dung dịch cho ta biết số gam chất tan có trong 100 g dung dịch.
Công thức tính nồng độ phần trăm của dung dịch:
Ví dụ: Dung dịch muối NaCl 10% cho biết trong 100 g dung dịch có hòa tan 10 g muối NaCl.
Xem thêm các câu hỏi thường gặp môn Hóa học lớp 8 hay và chi tiết khác:
Trình bày cách pha loãng một dung dịch theo nồng độ cho trước
Ý nghĩa của bảng tính tan trong nước của các axit – bazơ – muối
Tủ sách VIETJACK shopee lớp 6-8 (2025):
Đã có app VietJack trên điện thoại, giải bài tập SGK, SBT Soạn văn, Văn mẫu, Thi online, Bài giảng....miễn phí. Tải ngay ứng dụng trên Android và iOS.
Theo dõi chúng tôi miễn phí trên mạng xã hội facebook và youtube:Loạt bài 500 Công thức, Định Lí, Định nghĩa Toán, Vật Lí, Hóa học, Sinh học được biên soạn bám sát nội dung chương trình học các cấp.
Nếu thấy hay, hãy động viên và chia sẻ nhé! Các bình luận không phù hợp với nội quy bình luận trang web sẽ bị cấm bình luận vĩnh viễn.
- Đề thi lớp 1 (các môn học)
- Đề thi lớp 2 (các môn học)
- Đề thi lớp 3 (các môn học)
- Đề thi lớp 4 (các môn học)
- Đề thi lớp 5 (các môn học)
- Đề thi lớp 6 (các môn học)
- Đề thi lớp 7 (các môn học)
- Đề thi lớp 8 (các môn học)
- Đề thi lớp 9 (các môn học)
- Đề thi lớp 10 (các môn học)
- Đề thi lớp 11 (các môn học)
- Đề thi lớp 12 (các môn học)
- Giáo án lớp 1 (các môn học)
- Giáo án lớp 2 (các môn học)
- Giáo án lớp 3 (các môn học)
- Giáo án lớp 4 (các môn học)
- Giáo án lớp 5 (các môn học)
- Giáo án lớp 6 (các môn học)
- Giáo án lớp 7 (các môn học)
- Giáo án lớp 8 (các môn học)
- Giáo án lớp 9 (các môn học)
- Giáo án lớp 10 (các môn học)
- Giáo án lớp 11 (các môn học)
- Giáo án lớp 12 (các môn học)


Giải bài tập SGK & SBT
Tài liệu giáo viên
Sách
Khóa học
Thi online
Hỏi đáp

