20+ Đề thi Giữa kì 2 Toán 10 Kết nối tri thức (có đáp án)
Với bộ 20+ Đề thi Giữa kì 2 Toán 10 Kết nối tri thức năm 2026 có đáp án theo cấu trúc mới được biên soạn và chọn lọc từ đề thi Toán 10 của các trường THPT trên cả nước. Hi vọng bộ đề thi này sẽ giúp học sinh ôn tập và đạt kết quả cao trong các bài thi Giữa kì 2 Toán 10.
20+ Đề thi Giữa kì 2 Toán 10 Kết nối tri thức (có đáp án)
Chỉ từ 150k mua trọn bộ Đề thi Toán 10 Giữa kì 2 Kết nối tri thức theo cấu trúc mới bản word có lời giải chi tiết:
- B1: gửi phí vào tk:
1133836868- CT TNHH DAU TU VA DV GD VIETJACK - Ngân hàng MB (QR) - B2: Nhắn tin tới Zalo VietJack Official - nhấn vào đây để thông báo và nhận đề thi
Đề thi Giữa kì 2 Toán 10 Kết nối tri thức (Giáo viên VietJack)
50+ Đề thi Giữa kì 2 Toán 10
Đề thi Giữa kì 2 Toán 10 trường THPT Vĩnh Linh (Quảng Trị) năm 2025-2026
Đề thi Giữa kì 2 Toán 10 trường THPT Quảng Trị (Quảng Trị) năm 2025-2026
Đề thi Giữa kì 2 Toán 10 trường THPT Trần Cao Vân (Khánh Hòa) năm 2025-2026
Đề thi Giữa kì 2 Toán 10 trường THPT Quế Sơn (Đà Nẵng) năm 2025-2026
Đề thi Giữa kì 2 Toán 10 trường THPT Gia Bình Số 1 (Bắc Ninh) năm 2025-2026
Đề thi Giữa kì 2 Toán 10 trường THPT Duy Tân (Quảng Ngãi) năm 2025-2026
Đề thi Giữa kì 2 Toán 10 trường THPT Việt Đức (Hà Nội) năm 2025-2026
Đề thi Giữa kì 2 Toán 10 trường THPT Phan Bội Châu (Khánh Hòa) năm 2025-2026
Đề thi Giữa kì 2 Toán 10 trường THPT Lê Quý Đôn (Quảng Ngãi) năm 2025-2026
Đề thi Giữa kì 2 Toán 10 trường THPT Trần Hưng Đạo (Hà Nội) năm 2025-2026
Đề thi Giữa kì 2 Toán 10 trường THPT Xuân Phương (Hà Nội) năm 2025-2026
Đề thi Giữa kì 2 Toán 10 trường THPT Hướng Hóa (Quảng Trị) năm 2025-2026
Đề thi Giữa kì 2 Toán 10 trường THPT chuyên Hà Nội – Amsterdam năm 2025-2026
Đề thi Giữa kì 2 Toán 10 trường THPT Số 1 Lê Hồng Phong (Đắk Lắk) năm 2025-2026
Đề thi Giữa kì 2 Toán 10 trường THPT Bình Thủy (Cần Thơ) năm 2025-2026
Đề thi Giữa kì 2 Toán 10 trường THPT Chuyên Lương Thế Vinh (Đồng Nai) năm 2025-2026
Đề thi Giữa kì 2 Toán 10 trường THPT Mạc Đĩnh Chi (Hải Phòng) năm 2025-2026
Đề thi Giữa kì 2 Toán 10 trường THPT Châu Văn Liêm (Cần Thơ) năm 2025-2026
Đề thi Giữa kì 2 Toán 10 trường PTTHSP Tràng An (Ninh Bình) năm 2025-2026
Đề thi Giữa kì 2 Toán 10 trường THPT Trần Phú (Hà Nội) năm 2025-2026
Đề thi Giữa kì 2 Toán 10 trường THPT Thuận Thành Số 2 (Bắc Ninh) năm 2025-2026
Đề thi Giữa kì 2 Toán 10 trường THPT Trần Nhân Tông (Hà Nội) năm 2025-2026
Đề thi Giữa kì 2 Toán 10 trường THPT Phan Đình Phùng (Hà Nội) năm 2025-2026
Đề thi Giữa kì 2 Toán 10 trường THPT Tây Thạnh (TP HCM) năm 2025-2026
Đề thi Giữa kì 2 Toán 10 trường THPT Phan Đình Phùng (Hà Nội) năm 2024-2025
Đề thi Giữa kì 2 Toán 10 trường THPT Minh Hà (Hà Nội) năm 2024-2025
Đề thi Giữa kì 2 Toán 10 trường THPT Nguyễn Quốc Trinh (Hà Nội) năm 2024-2025
Đề thi Giữa kì 2 Toán 10 trường THPT Việt Đức (Hà Nội) năm 2024-2025
Đề thi Giữa kì 2 Toán 10 trường THPT Trần Khai Nguyên (Tp.HCM) năm 2024-2025
Đề thi Giữa kì 2 Toán 10 trường THPT Nguyễn Tất Thành (Tp.HCM) năm 2024-2025
Đề thi Giữa kì 2 Toán 10 trường THPT Hùng Vương (Tp.HCM) năm 2024-2025
Sở Giáo dục và Đào tạo ...
Đề thi Giữa kì 2 - Kết nối tri thức
Năm học ...
Môn: Toán 10
Thời gian làm bài: 90 phút
(không kể thời gian phát đề)
(Đề số 1)
PHẦN I. TRẮC NGHIỆM KHÁCH QUAN
A. TRẮC NGHIỆM NHIỀU PHƯƠNG ÁN LỰA CHỌN. Thí sinh trả lời từ câu 1 đến câu 12. Mỗi câu hỏi thí sinh chỉ chọn một phương án.
Câu 1. Cho hàm số y = f(x) có tập xác định [-3; 3] và đồ thị của nó được biểu diễn như hình dưới đây
A. Hàm số đồng biến trên (1; 3).
B. Hàm số đồng biến trên (-3; 1).
C. Hàm số đồng biến trên (-1; 1).
D. Hàm số đồng biến trên (1; 4).
Câu 2. Cho f(x) = ax2 + bx + c, (a ≠ 0) và ∆ = b2 - 4ac . Cho biết dấu của ∆ khi f(x) luôn cùng dấu với hệ số a với mọi x ∈ ℝ.
A. ∆ > 0.
B. ∆ < 0.
C. ∆ ≥ 0.
D. ∆ = 0.
Câu 3. Cho phương trình = x - 3. Chọn câu đúng.
A. x = 6 là nghiệm của phương trình.
B. x = 2 là nghiệm của phương trình.
C. x = 1 là nghiệm của phương trình.
D. x = 3 là nghiệm của phương trình.
Câu 4. Trong mặt phẳng tọa độ Oxy, cho đường thẳng d: -x + 2y + 7 = 0. Một vectơ pháp tuyến của đường thẳng d là
A. .
B. .
C. .
D. .
Câu 5. Trong mặt phẳng Oxy, đường thẳng d: x - 2y - 1 = 0 song song với đường thẳng có phương trình nào sau đây?
A. x + 2y + 1 = 0.
B. -x + 2y + 1 = 0.
C. 2x - y = 0.
D. -2x + 4y - 1 = 0.
Câu 6. Phương trình đường tròn có tâm I(a, b) và bán kính R là
A. (x - a)2 + (y - b)2 = R2.
B. (x - a)2 + (y - b)2 = R.
C. (x + a)2 + (y + b)2 = R2.
D. (x + a)2 + (y + b)2 = R.
Câu 7. Phương trình nào sau đây là phương trình chính tắc của một elip?
A. .
B. .
C. .
D. .
Câu 8. Tập xác định của hàm số là
A. [-1; 3].
B. (1; 3).
C. .
D. .
Câu 9. Tập nghiệm của phương trình là
A. S = {1; 9}.
B. S = {1}.
C. S = {9}.
D. S = {-1; -9}.
Câu 10. Phương trình đường thẳng đi qua hai điểm M(-1; 0); N(3; 1) là
A. 4x + y + 4 = 0.
B. x - 4y - 1 = 0.
C. 4x + y - 4 = 0.
D. x - 4y + 1 = 0.
Câu 11. Cho đường tròn (C): (x - 1)2 + (y - 3)2 = 13. Phương trình tiếp tuyến của (C) tại M(-2; 5) là:
A. -2x + 5y + 16 = 0.
B. -2x + 5y - 16 = 0.
C. -3x + 2y - 16 = 0.
D. 3x - 2y - 16 = 0.
Câu 12. Viết phương trình chính tắc của parabol đi qua điểm A(1; 4).
A. y2 = 8x.
B. y = 4x2.
C. y2 = 16x.
D. y2 = 32x.
B. TRẮC NGHIỆM ĐÚNG - SAI. Thí sinh trả lời từ câu 1 đến câu 2. Trong mỗi ý a), b), c), d) ở mỗi câu, thí sinh chọn đúng hoặc sai.
Câu 1. Cho hàm số bậc hai có đồ thị hàm số như hình vẽ
a) Tại x= -1 thì y = 0.
b) Hàm số đồng biến trên khoảng (-1; 0).
c) Cho I(a, b) là đỉnh của đồ thị hàm số trên. Khi đó a - 2b = 1.
d) Đồ thị biểu diễn trên là của hàm số y = -x2 + 2x - 1.
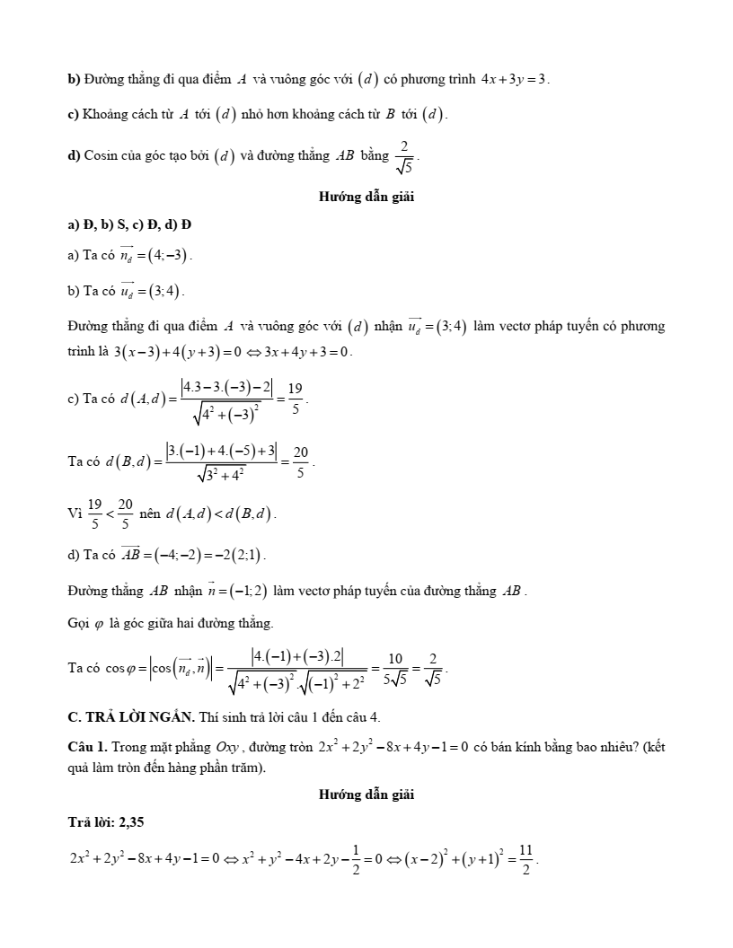
Câu 2. Cho hai điểm A(3; -3), B(-1; -5) và đường thẳng (d): 4x - 3y - 2 = 0.
a) Một vectơ pháp tuyến của đường thẳng d là .
b) Đường thẳng đi qua điểm A và vuông góc với (d) có phương trình 4x + 3y = 3.
c) Khoảng cách từ A tới (d) nhỏ hơn khoảng cách từ B tới (d).
d) Cosin của góc tạo bởi (d) và đường thẳng AB bằng .
C. TRẢ LỜI NGẮN. Thí sinh trả lời câu 1 đến câu 4.
Câu 1. Trong mặt phẳng Oxy, đường tròn 2x2 + 2y2 - 8x + 4y = 1 có bán kính bằng bao nhiêu? (kết quả làm tròn đến hàng phần trăm).
Câu 2. Tập nghiệm của bất phương trình -x2 + 5x - 6 ≥ 0 ó bao nhiêu giá trị nguyên?
Câu 3. Bảng giá cước gọi quốc tế của công ty viễn thông A được cho bởi bảng sau
Ông An thực hiện 1 cuộc gọi quốc tế 31 phút, sau đó ông gặp sự cố bị ngắt kết nối nên ông phải thực hiện lại thêm 1 cuộc gọi quốc tế 12 phút nữa. Tổng số tiền cước ông An phải trả là bao nhiêu nghìn đồng?
Câu 4. Trong mặt phẳng tọa độ (Oxy), cho điểm M(1; -2) và đường thẳng d: 2x - 4y + 3 = 0. Đường thẳng ∆ đi qua M và song song d có phương trình ax + by - 5 = 0 (a, b ∈ ℝ). Tính giá trị biểu thức a2 + b2.
PHẦN II. TỰ LUẬN
Câu 1. Tìm tọa độ đỉnh của parabol y = x2 - 4x + 5.
Câu 2. Một đài quan sát O cách ba vị trí A, B, C như hình vẽ dưới đây thỏa mãn OB = x km, OC = x + 1 km và OA = 2 km.
Tìm x biết khoảng cách từ vị trí A đến vị trí C gấp đôi khoảng cách từ vị trí A đến vị trí B và khoảng cách từ O đến B ngắn hơn khoảng cách từ O đến A.
Câu 3. Hình vẽ bên mô phỏng một trạm thu phát sóng điện thoại di động đặt ở vị trí I có tọa độ (-2; 1) trong mặt phẳng tọa độ (đơn vị trên hai trục là kilômét).
Tính theo đường chim bay, xác định khoảng cách ngắn nhất để một người ở vị trí có tọa độ (-3; 4) di chuyển được tới vùng phủ sóng theo đơn vị kilômét (làm tròn kết quả đến hàng phần trăm). Biết rằng trạm thu phát sóng đó được thiết kế với bán kính phủ sóng 3 (km).
Sở Giáo dục và Đào tạo ...
Đề thi Giữa kì 2 - Kết nối tri thức
Năm học ...
Môn: Toán 10
Thời gian làm bài: 90 phút
(không kể thời gian phát đề)
(Đề số 2)
I. Trắc nghiệm (7 điểm)
Câu 1. Trong các công thức sau, công thức nào không biểu diễn y là hàm số của x?
A. x + 3y = 7;
B. x2 + y2 = 5;
C. ;
D. .
Câu 2. Cho hàm số dưới dạng bảng như sau:
|
x |
1 |
2 |
3 |
4 |
5 |
|
y |
1 |
3 |
5 |
7 |
9 |
Giá trị của hàm số y tại x = 3 là
A. 2;
B. 3;
C. 5;
D. 7.
Câu 3. Cho hàm số y = f(x) có đồ thị như hình dưới.
Hàm số trên đồng biến trên khoảng
A. (0; 1);
B. (1; + ∞);
C. (0; + ∞);
D. (– ∞; 0).
Câu 4. Hàm số có tập xác định là
A. (1; 2);
B. [1; 2];
C. {1; 2};
D. ℝ \ {1; 2}.
Câu 5. Cho hàm số . Giá trị của hàm số tại x = 10 là
A. 20;
B. ;
C. ;
D. Không tồn tại.
Câu 6. Trong các hàm số sau, hàm số nào không phải là hàm số bậc hai?
A. y = x2 – 5x + 3;
B. y = 1 – 2x2 + 4x;
C. y = x(x2 + x + 1);
D. y = 7 – x2.
Câu 7. Cho hàm số bậc hai y = 2x2 + 3x – 8. Hoành độ đỉnh của đồ thị hàm số bậc hai này là
A. ;
B. ;
C. ;
D. .
Câu 8. Hàm số bậc hai y = 2 – 3x2 + 4x có hệ số tự do là
A. 2;
B. – 3;
C. 4;
D. – 2.
Câu 9. Cho hàm số bậc hai f(x) = 2x2 – 8x + 7. Phát biểu nào sau đây là đúng?
A. Hàm số đồng biến trên khoảng (– ∞; 2), nghịch biến trên khoảng (2; + ∞);
B. Hàm số đồng biến trên khoảng (– ∞; 4), nghịch biến trên khoảng (4; + ∞);
C. Hàm số đồng biến trên khoảng (4; + ∞), nghịch biến trên khoảng (– ∞; 4);
D. Hàm số đồng biến trên khoảng (2; + ∞), nghịch biến trên khoảng (– ∞; 2).
Câu 10. Xác định parabol y = ax2 + c, biết rằng parabol này đi qua hai điểm A(1; 1) và B(2; – 2).
A. y = – x2 + 2;
B. y = x2 + 2;
C. y = 2x2 – 1;
D. y = 2x2 + 1.
Câu 11. Tìm khẳng định đúng trong các khẳng định sau.
A. f(x) = 3x2 + x – 4 là tam thức bậc hai;
B. f(x) = 3x – 5 là tam thức bậc hai;
C. f(x) = 2x3 + 3x – 2 là tam thức bậc hai;
D. f(x) = (x2)2 – x2 + 3 là tam thức bậc hai.
Câu 12. Cho hàm số f(x) = ax2 + bx + c, (a ≠ 0) và ∆ = b2 – 4ac. Cho biết dấu của ∆ khi f(x) luôn cùng dấu với hệ số a với mọi x ∈ ℝ.
A. ∆ ≤ 0;
B. ∆ = 0;
C. ∆ > 0;
D. ∆ < 0.
Câu 13. Cho tam thức f(x) = x2 – 8x + 16. Khẳng định nào sau đây là đúng?
A. Phương trình f(x) = 0 vô nghiệm;
B. f(x) > 0 với mọi x ∈ ℝ;
C. f(x) ≥ 0 với mọi x ∈ ℝ;
D. f(x) < 0 khi x < 4.
Câu 14. Trong các phát biểu sau, phát biểu nào sai?
A. x2 – 3x + 2 > 0 khi x ∈ (– ∞; 1) ∪ (2; + ∞);
B. x2 – 3x + 2 ≤ 0 khi x ∈ [1; 2];
C. x2 – 3x + 2 < 0 khi x ∈ [1; 2);
D. x2 – 3x + 2 ≥ 0 khi x ∈ (– ∞; 1] ∪ [2; + ∞).
Câu 15. Tập nghiệm của bất phương trình x2 – 7x + 10 < 0 là
A. S = (– ∞; 2] ∪ [5; + ∞);
B. S = (– ∞; 2) ∪ (5; + ∞);
C. S = [2; 5];
D. S = (2; 5).
Câu 16. Trong các phát biểu sau, phát biểu nào là đúng?
A. Tập nghiệm của phương trình là tập nghiệm của phương trình ax2 + bx + c = (dx + e)2;
B. Tập nghiệm của phương trình là tập hợp các nghiệm của phương trình ax2 + bx + c = (dx + e)2 thỏa mãn bất phương trình dx + e ≥ 0;
C. Mọi nghiệm của phương trình ax2 + bx + c = (dx + e)2 đều là nghiệm của phương trình ;
D. Tập nghiệm của phương trình là tập hợp các nghiệm của phương trình ax2 + bx + c = (dx + e)2 thỏa mãn bất phương trình ax2 + bx + c ≥ 0.
Câu 17. Trong các phát biểu sau, phát biểu nào là đúng?
A. Tập nghiệm của phương trình là tập nghiệm của phương trình ax2 + bx + c = dx2 + ex + f;
B. Tập nghiệm của phương trình là tập nghiệm của phương trình (ax2 + bx + c)2 = (dx2 + ex + f)2;
C. Mọi nghiệm của phương trình ax2 + bx + c = dx2 + ex + f đều là nghiệm của phương trình ;
D. Tập nghiệm của phương trình là tập hợp các nghiệm của phương trình ax2 + bx + c = dx2 + ex + f thỏa mãn bất phương trình ax2 + bx + c ≥ 0 (hoặc dx2 + ex + f ≥ 0).
Câu 18. Số nghiệm của phương trình là
A. 0;
B. 1;
C. 2;
D. 3.
Câu 19. Giá trị nào sau đây là một nghiệm của phương trình ?
A. 2;
B. 4;
C. 12;
D. 20.
Câu 20. Trong mặt phẳng tọa độ Oxy, cho đường thẳng d: 2x – y + 3 = 0. Vectơ pháp tuyến của đường thẳng d là
A. ;
B. ;
C. ;
D. .
Câu 21. Điểm nào dưới đây thuộc đường thẳng d: 3x – 2y + 4 = 0?
A. A(1; 2);
B. B(0; 2);
C. C(2; 0);
D. D(2; 1).
Câu 22. Phương trình tham số của đường thẳng ∆ đi qua điểm A(3; 1) và nhận làm vectơ chỉ phương là
Câu 23. Phương trình tổng quát của đường thẳng d đi qua điểm A(2; – 2) và nhận làm vectơ pháp tuyến là
A. x – y + 2 = 0;
B. – 3x + y + 4 = 0;
C. x – 3y + 4 = 0;
D. x + 3y + 4 = 0.
Câu 24. Cho đường thẳng d có phương trình tham số . Phương trình tổng quát của đường thẳng d là
A. 2x + y – 1 = 0;
B. – 2x + y – 1 = 0;
C. x + 2y + 1 = 0;
D. 2x + 3y – 1 = 0.
Câu 25. Trong mặt phẳng tọa độ Oxy, cho hai điểm A(– 2; 3) và B(4; – 1). Phương trình nào sau đây là phương trình đường thẳng AB?
A. x + y – 3 = 0;
B. y = 2x + 2;
C. ;
D. .
Câu 26. Trong mặt phẳng tọa độ, xét hai đường thẳng
∆1: a1x + b1y + c1 = 0; ∆2: a2x + b2y + c2 = 0.
và hệ phương trình: (*).
Khi đó, ∆1 song song với ∆2 khi và chỉ khi
A. hệ (*) có vô số nghiệm;
B. hệ (*) vô nghiệm;
C. hệ (*) có nghiệm duy nhất;
D. hệ (*) có hai nghiệm.
Câu 27. Cho điểm M(x0; y0) và đường thẳng ∆: ax + by + c = 0. Khoảng cách từ điểm M đến đường thẳng ∆, kí hiệu là d(M, ∆), được tính bởi công thức
A. ;
B. ;
C. ;
D. .
Câu 28. Trong mặt phẳng tọa độ, cho hai đường thẳng
∆1: a1x + b1y + c1 = 0; ∆2: a2x + b2y + c2 = 0,
với các vectơ pháp tuyến và tương ứng. Khi đó góc φ giữa hai đường thẳng đó được xác định bởi công thức
A. ;
B. ;
C. ;
D. .
Câu 29. Khoảng cách từ điểm A(1; 1) đến đường thẳng d: 5x – 12y – 6 = 0 là
A. 13;
B. – 13;
C. – 1;
D. 1.
Câu 30. Góc giữa hai đường thẳng a: x – y + 7 = 0 và b: x – y – 2 = 0 là
A. 30°;
B. 90°;
C. 60°;
D. 45°.
Câu 31. Phương trình nào sau đây là phương trình đường tròn?
A. 2x2 + y2 – 6x – 6y – 8 = 0;
B. x2 + 2y2 – 4x – 8y – 12 = 0;
C. x2 + y2 – 2x – 8y + 18 = 0;
D. 2x2 + 2y2 – 4x + 6y – 12 = 0.
Câu 32. Đường tròn (x + 1)2 + (y – 2)2 = 16 có bán kính bằng bao nhiêu?
A. 16;
B. 4;
C. 256;
D. 8.
Câu 33. Phương trình nào sau đây là phương trình của đường tròn tâm I(– 1; 2), có bán kính bằng 5?
A. (x – 1)2 + (y + 2)2 = 25;
B. (x + 1)2 + (y + 2)2 = 25;
C. (x + 1)2 + (y – 2)2 = 25;
D. (x – 1)2 + (y – 2)2 = 25.
Câu 34. Phương trình đường tròn có tâm I(3; 4) tiếp xúc với đường thẳng ∆: 3x + 4y – 10 = 0 là
A. (x – 3)2 + (y – 4)2 = 9;
B. (x + 3)2 + (y – 4)2 = 9;
C. (x – 3)2 + (y – 4)2 = 3;
D. (x + 3)2 + (y + 4)2 = 3.
Câu 35. Trong mặt phẳng tọa độ, cho đường tròn (C): (x – 2)2 + (y + 2)2 = 5. Tiếp tuyến tại điểm M(1; 0) thuộc đường tròn (C) có phương trình là
A. y = – 2;
B. x = 1;
C. x + 2y – 1 = 0;
D. x – 2y – 1 = 0.
II. Tự luận (3 điểm)
Bài 1. (1 điểm) Giả sử độ cao h (đơn vị: mét) của một quả bóng golf tính theo thời gian t (đơn vị: giây) trong một lần đánh của vận động viên được xác định bằng một hàm số bậc hai và giá trị tương ứng tại một số thời điểm được cho bởi bảng dưới đây:
Thời gian (s) |
0 |
0,5 |
1 |
2 |
3 |
Độ cao (m) |
0 |
28 |
48 |
64 |
48 |
a) Xác định hàm số bậc hai biểu thị độ cao h(m) của quả bóng gofl tính theo thời gian t(s).
b) Sau bao lâu kể từ khi vận động viên đánh bóng thì bóng lại chạm đất?
Bài 2. (1 điểm) Cho đường thẳng d1: 2x – y – 2 = 0; d2: x + y + 3 = 0 và điểm M(3; 0). Viết phương trình đường thẳng ∆ đi qua điểm M, cắt d1 và d2 lần lượt tại A và B sao cho M là trung điểm của đoạn AB.
Bài 3. (1 điểm) Cho đường tròn (C): (x – 1)2 + (y – 2)2 = 4 và đường thẳng d: x – y – 1 = 0. Viết phương trình đường tròn (C') đối xứng của (C) qua d. Tìm tọa độ giao điểm của (C), (C').
-----HẾT-----
ĐÁP ÁN ĐỀ SỐ 1
I. Bảng đáp án trắc nghiệm
1. B |
2. C |
3. C |
4. D |
5. B |
6. C |
7. A |
8. A |
9. D |
10. A |
11. A |
12. D |
13. C |
14. C |
15. D |
16. B |
17. D |
18. B |
19. A |
20. C |
21. B |
22. A |
23. D |
24. A |
25. D |
26. B |
27. A |
28. C |
29. D |
30. A |
31. D |
32. B |
33. C |
34. A |
35. D |
II. Hướng dẫn giải một số câu trắc nghiệm
Câu 3.
Đáp án đúng là: C
Từ hình vẽ ta thấy đồ thị hàm số y = f(x) đi lên từ trái sang phải trên khoảng (0; + ∞). Vậy hàm số này đồng biến trên khoảng (0; + ∞).
Câu 4.
Đáp án đúng là: D
Biểu thức có nghĩa khi x2 – 3x + 2 ≠ 0 ⇔ x ≠ 1 và x ≠ 2.
Vậy tập xác định của hàm số là D = ℝ \ {1; 2}.
Câu 5.
Đáp án đúng là: B
Ta có: .
Câu 9.
Đáp án đúng là: D
Ta có: .
Vì hệ số a = 2 > 0 nên hàm số f(x) đồng biến trên khoảng (2; + ∞), nghịch biến trên khoảng (– ∞; 2).
Câu 10.
Đáp án đúng là: C
Vì parabol đi qua hai điểm A(1; 1) và B(2; – 2) nên suy ra .
Vậy parabol có phương trình là: y = – x2 + 2.
Câu 18.
Đáp án đúng là: B
Bình phương hai vế của phương trình ta được
4 – 3x2 = 4x2 – 4x + 1.
Sau khi thu gọn ta được 7x2 – 4x – 3 = 0. Từ đó tìm được x = 1 hoặc .
Thay lần lượt hai giá trị này của x vào phương trình đã cho, ta thấy chỉ có x = 1 thỏa mãn.
Vậy phương trình đã cho có 1 nghiệm là x = 1.
Câu 19.
Đáp án đúng là: A
Cách 1. Thay lần lượt các giá trị ở từng đáp án vào cho đến khi tìm được giá trị thỏa mãn.
Cách 2. Giải phương trình
Bình phương hai vế của phương trình ta được
3x2 – 6x + 1 = x2 – 3.
Rút gọn ta được x2 – 3x + 2 = 0. Từ đó ta tìm được x = 1 hoặc x = 2.
Thay lần lượt hai giá trị này của x vào phương trình đã cho, ta thấy chỉ có x = 2 thỏa mãn.
Vậy phương trình đã cho có 1 nghiệm là x = 2.
Câu 24.
Đáp án đúng là: A
Đường thẳng d: ⇒ y = – 9 – 2 . (x – 5) ⇔ 2x + y – 1 = 0.
Câu 25.
Đáp án đúng là: D
Bốn phương trình đã cho đều là dạng của phương trình đường thẳng.
Thay lần lượt toa độ của A, B vào từng phương trình ta thấy tọa độ của A và B đều thỏa mãn phương trình ở đáp án D.
Câu 29.
Đáp án đúng là: D
Khoảng cách từ điểm A(1; 1) đến d: 5x – 12y – 6 = 0 là
.
Câu 30.
Đáp án đúng là: A
Đường thẳng a có một vectơ pháp tuyến là ;
Đường thẳng b có một vectơ pháp tuyến là .
Áp dụng công thức tính góc giữa hai đường thẳng ta có:
Suy ra góc giữa hai đường thẳng bằng 30°.
Câu 34.
Đáp án đúng là: A
Đường tròn có tâm I(3; 4) tiếp xúc với đường thẳng ∆: 3x + 4y – 10 = 0 nên bán kính đường tròn chính là khoảng cách từ tâm I đến đường thẳng ∆.
Ta có: R = d(I, ∆) = .
Vậy phương trình đường tròn cần tìm là: (x – 3)2 + (y – 4)2 = 9.
Câu 35.
Đáp án đúng là: D
Đường tròn (C) có tâm là I(2; – 2). Tiếp tuyến của (C) tại M(1; 0) có vectơ pháp tuyến , nên có phương trình
1(x – 1) – 2(y – 0) = 0 hay x – 2y – 1 = 0.
III. Hướng dẫn giải tự luận
Bài 1. (1 điểm)
a) Xét hàm số bậc hai biểu thị độ cao h phụ thuộc thời gian t có dạng h(t) = at2 + bt + c, trong đó a ≠ 0. Theo đề bài:
Với t = 0, h = 0, ta có: c = 0 nên h(t) = at2 + bt. Khi đó:
+ Với t = 1, h = 48, ta có: a . 12 + b . 1 = 48 ⇔ a + b = 48.
+ Với t 2, h = 64, ta có: a . 22 + b . 2 = 64 ⇔ 4a + 2b = 64.
Giải hệ phương trình . Suy ra h(t) = – 16t2 + 64t.
Thay các giá trị tương ứng còn lại của bảng vào công thức trên, ta thấy phù hợp.
Vậy hàm số bậc hai cần tìm là h(t) = – 16t2 + 64t.
b) Bóng chạm đất khi h(t) = 0 ⇔ – 16t2 + 64t = 0.
Suy ra t = 0 hoặc t = 4.
Vậy sau 4 giây kể từ khi vận động viên đánh bóng thì bóng lại chạm đất.
Bài 2. (1 điểm)
Gọi tọa độ các điểm A, B và M là A(xA; yA); B(xB; yB) và M(xM; yM).
Vì A thuộc d1 nên 2xA – yA – 2 = 0. Suy ra yA = 2xA – 2.
Vì B thuộc d2 nên xB + yB + 3 = 0. Suy ra yB = – xB – 3.
Do M là trung điểm của đoạn AB nên
Suy ra .
Đường thẳng ∆ đi qua điểm A và điểm M.
Ta có: .
Đường thẳng ∆ đi qua M(3; 0) và có một vectơ pháp tuyến là nên có phương trình là
8(x – 3) – (y – 0) = 0 hay 8x – y – 24 = 0.
Bài 3. (1 điểm)
(C) có tâm I(1; 2), bán kính R = 2.
Phương trình đường thẳng ∆ đi qua I, vuông góc với d có dạng x + y + m = 0.
I (1; 2) ∈ ∆, suy ra 1 + 2 + m = 0 ⇒ m = – 3.
Do đó, phương trình đường thẳng ∆: x + y – 3 = 0.
Gọi H là giao điểm của ∆ và d. Tọa độ của H là nghiệm của hệ phương trình
Từ đó tìm được H(2; 1).
Chứng minh được H là trung điểm của II' với I' là tâm của (C'). Suy ra I'(3; 0)
Vì (C), (C') đối xứng nhau qua d nên R = R'.
Vậy phương trình (C'): (x – 3)2 + y2 = 4.
Tọa độ giao điểm của (C), (C') là nghiệm của hệ phương trình:
là giao điểm của (C), (C').
Sở Giáo dục và Đào tạo ...
Đề thi Giữa kì 2 - Kết nối tri thức
Năm học ...
Môn: Toán 10
Thời gian làm bài: 90 phút
(không kể thời gian phát đề)
(Đề số 3)
I. Trắc nghiệm (7 điểm)
Câu 1. Trong các công thức sau, công thức nào không biểu diễn y là hàm số của x?
A. 2x + y = 5;
B. + y = 5;
C. y = ;
D. 2x2 – 3y2 = 0.
Câu 2. Cho hàm số dưới dạng bảng như sau:
x |
0 |
1 |
2 |
3 |
4 |
y |
0 |
1 |
4 |
9 |
16 |
Giá trị của hàm số y tại x = 1 là
A. 1;
B. 4;
C. 9;
D. 16.
Câu 3. Cho hàm số y = f(x) có đồ thị như hình dưới.
là giao điểm của (C), (C').
Hàm số trên nghịch biến trên khoảng
A. (– ∞; 2);
B. (2; + ∞);
C. (0; 2);
D. (– ∞; 0).
Câu 4. Hàm số có tập xác định là
A. (– 2; 5);
B. [– 2; 5];
C. (– ∞; – 2] ∪ [5; + ∞);
D. ℝ \ {– 2; 5}.
Câu 5. Cho hàm số . Giá trị của hàm số tại x = 5 là
A. – 1998;
B. 0;
C. 1;
D. Không tồn tại.
Câu 6. Trong các hàm số sau, hàm số nào không phải là hàm số bậc hai?
A. y = x2 – 2x + 1;
B. y = (x2)2 – 3x2 + 6;
C. y = x2 + 5x + 9;
D. y = 10 – 4x – x2.
Câu 7. Cho đồ thị hàm số bậc hai y = ax2 + bx + c (a ≠ 0) như hình vẽ sau.
Điều kiện của hệ số a của hàm số bậc hai này là
A. a = 1;
B. a > 1;
C. a > 0;
D. a < 0.
Câu 8. Đồ thị của hàm số bậc hai y = – x2 + 5 + 3x có trục đối xứng là
A. ;
B. ;
C. x = 3;
D. x = 5.
Câu 9. Cho hàm số bậc hai f(x) = – 2x2 – x + 1. Giá trị lớn nhất của hàm số là
A. ;
B. ;
C. ;
D. Không tồn tại.
Câu 10. Cho hàm số bậc hai có bảng biến thiên như sau:
Công thức hàm số bậc hai trên là
A. y = – x2 + 4x;
B. y = x2 + 4x;
C. y = x2 – 4x;
D. y = – x2 – 4x.
Câu 11. Biểu thức nào dưới đây không phải là tam thức bậc hai?
A. f(x) = 2x2 + 5x – 3;
B. f(x) = x2 – 9;
C. f(x) = 32x2 + 3x + 4;
D. f(x) = x4 – 2x2 + 5.
Câu 12. Cho tam thức bậc hai f(x) = ax2 + bx + c, (a ≠ 0) và ∆ = b2 – 4ac. Mệnh đề nào sau đây đúng?
A. Nếu ∆ > 0 thì f(x) luôn cùng dấu với hệ số a, với mọi x ∈ ℝ;
B. Nếu ∆ < 0 thì f(x) luôn trái dấu với hệ số a, với mọi x ∈ ℝ;
C. Nếu ∆ = 0 thì f(x) luôn cùng dấu với hệ số a, với mọi x ∈ ℝ \ ;
D. Nếu ∆ < 0 thì f(x) luôn cùng dấu với hệ số b, với mọi x ∈ ℝ.
Câu 13. Cho hàm số y = f(x) có đồ thị như hình dưới đây.
Trong các phát biểu sau, phát biểu nào sai?
A. f(x) < 0 khi và chỉ khi x ∈ (1; 3);
B. f(x) ≤ 0 khi và chỉ khi x ∈ (– ∞; 1] ∪ [3; + ∞);
C. f(x) > 0 khi và chỉ khi x ∈ (1; 3);
D. f(x) ≥ 0 khi và chỉ khi x ∈ [1; 3].
Câu 14. Tam thức nào sau đây luôn dương với mọi giá trị của x?
A. x2 – 10x + 2;
B. x2 – 2x – 10;
C. x2 – 2x + 10;
D. – x2 + 2x + 10.
Câu 15. Gọi S là tập nghiệm của bất phương trình x2 – 8x + 7 ≥ 0. Tromg các tập hợp sau, tập nào không là tập con của S?
A. (– ∞; 0];
B. [6; + ∞);
C. [8; + ∞];
D. (– ∞; – 1].
Câu 16. Trong các phát biểu sau, phát biểu nào là đúng?
A. Tập nghiệm của phương trình là tập nghiệm của phương trình ax2 + bx + c = (dx + e)2;
B. Tập nghiệm của phương trình là tập hợp các nghiệm của phương trình ax2 + bx + c = (dx + e)2 thỏa mãn bất phương trình dx + e ≥ 0;
C. Mọi nghiệm của phương trình ax2 + bx + c = (dx + e)2 đều là nghiệm của phương trình ;
D. Tập nghiệm của phương trình là tập hợp các nghiệm của phương trình ax2 + bx + c = (dx + e)2 thỏa mãn bất phương trình ax2 + bx + c ≥ 0.
Câu 17. Trong các phát biểu sau, phát biểu nào là đúng?
A. Tập nghiệm của phương trình là tập nghiệm của phương trình ax2 + bx + c = dx2 + ex + f;
B. Tập nghiệm của phương trình là tập nghiệm của phương trình (ax2 + bx + c)2 = (dx2 + ex + f)2;
C. Mọi nghiệm của phương trình ax2 + bx + c = dx2 + ex + f đều là nghiệm của phương trình ;
D. Tập nghiệm của phương trình là tập hợp các nghiệm của phương trình ax2 + bx + c = dx2 + ex + f thỏa mãn bất phương trình ax2 + bx + c ≥ 0 (hoặc dx2 + ex + f ≥ 0).
Câu 18. Phương trình có số nghiệm là
A. 0;
B. 1;
C. 2;
D. 3.
Câu 19. Cho phương trình (1). Để phương trình (1) có nghiệm thì m ∈ [a; b]. Giá trị a2 + b2 bằng
A. 2;
B. 4;
C. 1;
D. 3.
Câu 20. Trong mặt phẳng tọa độ Oxy, cho đường thẳng d: – x + 2y + 7 = 0. Vectơ pháp tuyến của đường thẳng d là
A. ;
B. ;
C. ;
D. .
Câu 21. Điểm nào dưới đây không thuộc đường thẳng d: 2x – 5y + 3 = 0?
A. A(1; 1);
B. B;
C. C;
D. D(2; 3).
Câu 22. Phương trình tham số của đường thẳng ∆ đi qua điểm A(– 4; 2) và nhận làm vectơ chỉ phương là
Câu 23. Phương trình tổng quát của đường thẳng d đi qua điểm A(1; – 3) và nhận làm vectơ pháp tuyến là
A. 2x – 7y + 23 = 0;
B. – 2x + 7y – 23 = 0;
C. 2x – 7y – 23 = 0;
D. – 2x – 7y + 23 = 0.
Câu 24. Cho đường thẳng d có phương trình tổng quát: x + 2y – 3 = 0. Phương trình tham số của đường thẳng d là
Câu 25. Trong mặt phẳng tọa độ Oxy, cho hai điểm A(3; – 1) và B(– 6; 2). Phương trình nào sau đây không phải là phương trình tham số của đường thẳng AB?
Câu 26. Trong mặt phẳng tọa độ, xét hai đường thẳng
∆1: a1x + b1y + c1 = 0; ∆2: a2x + b2y + c2 = 0.
và hệ phương trình: (*).
Khi đó, ∆1 trùng với ∆2 khi và chỉ khi
A. hệ (*) có vô số nghiệm;
B. hệ (*) vô nghiệm;
C. hệ (*) có nghiệm duy nhất;
D. hệ (*) có hai nghiệm.
Câu 27. Cho điểm M(x0; y0) và đường thẳng ∆: ax + by + c = 0. Khoảng cách từ điểm M đến đường thẳng ∆, kí hiệu là d(M, ∆), được tính bởi công thức
A. ;
B. ;
C. ;
D. .
Câu 28. Trong mặt phẳng tọa độ, cho hai đường thẳng
∆1: a1x + b1y + c1 = 0; ∆2: a2x + b2y + c2 = 0,
với các vectơ pháp tuyến và tương ứng. Khi đó góc φ giữa hai đường thẳng đó được xác định bởi công thức
A. ;
B. ;
C. ;
D. .
Câu 29. Khoảng cách từ điểm M(5; – 1) đến đường thẳng d: 3x + 2y + 13 = 0 là
A. ;
B. ;
C. 26;
D. .
Câu 30. Góc giữa hai đường thẳng a: 6x – 5y + 15 = 0 và b: bằng
A. 30°;
B. 90°;
C. 60°;
D. 45°.
Câu 31. Phương trình nào sau đây là phương trình đường tròn?
A. x2 + 2y2 – 4x – 8y + 1 = 0;
B. x2 + y2 – 4x + 6y – 12 = 0;
C. x2 + y2 – 2x – 8y + 20 = 0;
D. 4x2 + y2 – 10x – 6y – 2 = 0.
Câu 32. Đường tròn (x + 3)2 + (y – 4)2 = 16 có tâm là
A. I(3; 4);
B. I(3; – 4);
C. I(– 3; 4);
D. I(– 3; – 4).
Câu 33. Phương trình nào sau đây là phương trình của đường tròn tâm I(1; 2), bán kính bằng 5?
A. x2 + y2 – 2x – 4y – 20 = 0;
B. x2 + y2 + 2x + 4 + 20 = 0;
C. x2 + y2 + 2x + 4y – 20 = 0;
D. x2 + y2 – 2x – 4y + 20 = 0.
Câu 34. Phương trình đường tròn đường kính AB với A(1; 3) và B(5; – 1) là
A. (x + 3)2 + (y – 1)2 = 8;
B. (x + 3)2 + (y + 1)2 = 8;
C. (x – 3)2 + (y + 1)2 = 8;
D. (x – 3)2 + (y – 1)2 = 8.
Câu 35. Trong mặt phẳng tọa độ, cho đường tròn (C): x2 + y2 – 2x – 4y – 4 = 0 và điểm A(1; 5). Tiếp tuyến của đường tròn (C) tại điểm A có phương trình là
A. y – 5 = 0;
B. y + 5 = 0;
C. x + y – 5 = 0;
D. x – y – 5 = 0.
II. Tự luận (3 điểm)
Bài 1. (1 điểm) Giải các phương trình sau:
a) ;
b) .
Bài 2. (1 điểm) Viết phương trình tổng quát của đường thẳng
a) đi qua M(– 1; – 4) và song song với đường thẳng 3x + 5y – 2 = 0;
b) đi qua N(1; 1) và vuông góc với đường thẳng 2x + 3y + 7 = 0.
Bài 3. (1 điểm) Hà dự định làm một khung ảnh hình chữ nhật sao cho phần trong của khung là hình chữ nhật có kích thước 7 cm × 13 cm, độ rộng viền xung quanh là x cm (như hình vẽ). Diện tích của viền khung ảnh không vượt quá 44 cm2. Hỏi độ rộng viền khung ảnh lớn nhất là bao nhiêu xen-ti-mét?
-----HẾT-----
Sở Giáo dục và Đào tạo ...
Đề thi Giữa kì 2 - Kết nối tri thức
Năm học ...
Môn: Toán 10
Thời gian làm bài: 60 phút
(không kể thời gian phát đề)
(Đề số 4)
I. Trắc nghiệm (7 điểm)
Câu 1. Trong các công thức sau, công thức nào biểu diễn y là hàm số của x?
A. x2 + 2y2 = 4;
B. (x – 1)2 + y2 = 25;
C. ;
D. 3x – y = 2023.
Câu 2. Cho hàm số y = f(x) có đồ thị như hình dưới.
Hàm số trên đồng biến trên khoảng
A. (– ∞; 2);
B. (2; + ∞);
C. (1; 3);
D. (– ∞; 0).
Câu 3. Hàm số có tập xác định là
A. (3; + ∞);
B. [– 3; +∞);
C. (– ∞; 3);
D. ℝ \ {– 3}.
Câu 4. Trong các hàm số sau, hàm số nào là hàm số bậc hai?
A. y = 2x3 – 3x2 + x;
B. y = (2x2)2 – x + 8;
C. y = x3 + x2 + 4x – x3;
D. y = 15 – 4x4 – x2.
Câu 5. Đồ thị của hàm số bậc hai y = x2 + 2x + 8 có trục đối xứng là
A. x = 1;
B. x = – 1;
C. x = 4;
D. x = – 4.
Câu 6. Cho hàm số bậc hai f(x) = 2x2 + 5x + 9. Giá trị nhỏ nhất của hàm số là
A. ;
B. ;
C. ;
D. Không tồn tại.
Câu 7. Biểu thức nào dưới đây không phải là tam thức bậc hai?
A. f(x) = x2 + 8x + 9;
B. f(x) = 3x2 + 10;
C. f(x) = 3x – 1 + x2;
D. f(x) = (x2)2 – x2 + 4.
Câu 8. Cho tam thức bậc hai f(x) = – 2x2 + 8x – 8. Mệnh đề nào sau đây đúng?
A. f(x) < 0 với mọi x ∈ ℝ;
B. f(x) ≥ 0 với mọi x ∈ ℝ;
C. f(x) ≤ 0 với mọi x ∈ ℝ;
D. f(x) > 0 với mọi x ∈ ℝ.
Câu 9. Bất phương trình – x2 + 2x + 3 > 0 có tập nghiệm là
A. (– ∞; – 1) ∪ (3; + ∞);
B. (– 1; 3);
C. [– 1; 3];
D. (– 3; 1).
Câu 10. Phương trình có nghiệm là
A. x = 1;
B. x = 2;
C. x = 3;
D. x = 4.
Câu 11. Số nghiệm của phương trình là
A. 0;
B. 1;
C. 2;
D. 3.
Câu 12. Trong mặt phẳng tọa độ Oxy, cho đường thẳng d: – 2x + 3y + 10 = 0. Một vectơ chỉ phương của đường thẳng d là
A. ;
B. ;
C. ;
D. .
Câu 13. Phương trình tham số của đường thẳng đi qua hai điểm M(1; – 2) và N(4; 3) là
Câu 14. Cho đường thẳng d có phương trình tham số: . Phương trình tổng quát của đường thẳng d là
A. 4x – 5y – 7 = 0;
B. 4x + 5y – 17 = 0;
C. 4x – 5y – 17 = 0;
D. 4x + 5y + 17 = 0.
Câu 15. Tọa độ giao điểm của hai đường thẳng x – 3y – 6 = 0 và 3x + 4y – 1 = 0 là
A. ;
B. (– 27; 17);
C. ;
D. (27; – 17).
Câu 16. Với giá trị nào của m thì hai đường thẳng d1: 2x – 3y – 10 = 0 và d2: vuông góc?
A. ;
B. ;
C. ;
D. .
Câu 17. Khoảng cách từ điểm A(– 3; 2) đến đường thẳng ∆: 3x – y + 1 = 0 là
A. ;
B. ;
C. ;
D. .
Câu 18. Góc giữa hai đường thẳng a: 2x + 5y – 2 = 0 và b: 3x – 7y + 3 = 0 bằng
A. 30°;
B. 135°;
C. 60°;
D. 45°.
Câu 19. Phương trình nào sau đây là phương trình đường tròn?
A. x2 + y2 – 4xy + 2x + 8y – 3 = 0;
B. x2 + 2y2 – 4x + 5y – 1 = 0;
C. x2 + y2 – 14x + 2y + 2018 = 0;
D. x2 + y2 – 4x + 5y + 2 = 0.
Câu 20. Đường tròn x2 + y2 – 10y – 24 = 0 có bán kính bằng
A. 49;
B. 7;
C. 1;
D. .
Câu 21. Phương trình đường có tâm là gốc tọa độ O và tiếp xúc với đường thẳng ∆: x + y – 2 = 0 là
A. x2 + y2 = 2;
B. x2 + y2 = ;
C. (x – 1)2 + (y – 1)2 = ;
D. (x – 1)2 + (y – 1)2 = 2.
II. Tự luận (3 điểm)
Bài 1. (1 điểm) Một quả bóng được ném vào không trung có chiều cao tính từ lúc bắt đầu ném ra được cho bởi công thức h(t) = – t2 + 2t + 3 (tính bằng mét), t là thời gian (tính bằng giây, t ≥ 0).
a) Tính chiều cao lớn nhất quả bóng đạt được.
b) Hãy tính xem sau bao lâu quả bóng sẽ rơi xuống mặt đất?
Bài 2. (1 điểm) Tìm tất cả các giá trị của tham số m để bất phương trình x2 – 2x + 1 – m2 ≤ 0 nghiệm đúng với mọi x ∈ [1; 2].
Bài 3. (1 điểm) Cho đường tròn (C) có phương trình x2 + y2 – 6x + 2y + 6 = 0 và hai điểm A(1; – 1), B(1; 3).
a) Chứng minh rằng điểm A thuộc đường tròn và điểm B nằm ngoài đường tròn.
b) Viết phương trình tiếp tuyến của (C) tại điểm A.
-----HẾT-----
Sở Giáo dục và Đào tạo ...
Đề thi Giữa kì 2 - Kết nối tri thức
Năm học ...
Môn: Toán 10
Thời gian làm bài: 60 phút
(không kể thời gian phát đề)
(Đề số 5)
I. Trắc nghiệm (7 điểm)
Câu 1. Cho bảng giá trị sau:
x |
1 |
2 |
3 |
4 |
y |
6 |
9 |
15 |
21 |
Khẳng định nào sau đây là đúng?
A. y là hàm số của x, f(2) = 1;
B. y là hàm số của x, f(2) = 9;
C. x là hàm số của y, f(2) = 9;
D. x là hàm số của y, f(2) = 1.
Câu 2. Trong các hàm số sau, hàm số nào đồng biến trên ℝ?
A. y = 1 – 2x;
B. y = 3x + 2;
C. y = x2 + 2x – 1;
D. y = – 2(2x – 3).
Câu 3. Hàm số có tập xác định là
A. ;
B. (– 3; +∞);
C. \ {} ;
D. ℝ \ {-3; }.
Câu 4. Đồ thị trong hình vẽ dưới đây là đồ thị của hàm số nào trong các hàm số sau.
A. y = x2 + 2x – 1;
B. y = x2 + 2x– 2;
C. y = 2x2 – 4x – 2;
D. y = x2 – 2x – 1.
Câu 5. Cho parabol (P): y = 3x2 – 2x + 1. Điểm nào sau đây là đỉnh của (P)?
A. I(0; 1);
B. I;
C. I;
D. I.
Câu 6. Một quả bóng cầu thủ sút lên rồi rơi xuống theo quỹ đạo là parabol. Biết rằng ban đầu quả bóng được sút lên từ độ cao 1 m sau đó 1 giây nó đạt độ cao 10 m và 3,5 giây nó ở độ cao 6,25 m. Hỏi độ cao cao nhất mà quả bóng đạt được là bao nhiêu mét?
A. 11 m;
B. 12 m;
C. 13 m;
D. 14 m.
Câu 7. Tam thức nào sau đây luôn dương với mọi giá trị của x?
A. x2 – 10x + 2;
B. x2 – 2x – 10;
C. x2 – 2x + 10;
D. – x2 + 2x + 10.
Câu 8. Cho tam thức bậc hai f(x) = ax2 + bx + c (a ≠ 0) và ∆ = b2 – 4ac. Cho biết dấu của ∆ khi f(x) luôn cùng dấu với hệ số a với mọi x ∈ ℝ.
A. ∆ < 0;
B. ∆ ≥ 0;
C. ∆ > 0;
D. ∆ = 0.
Câu 9. Số nghiệm nguyên của bất phương trình 2x2 – 3x – 15 ≤ 0 là
A. 5;
B. 6;
C. 7;
D. 8.
Câu 10. Phương trình có hai nghiệm là a và b. Khi đó giá trị của biểu thức T = a + b là
A. 32;
B. 38;
C. 35;
D. 3.
Câu 11. Số nghiệm của phương trình là
A. 0;
B. 1;
C. 2;
D. 3.
Câu 12. Trong mặt phẳng tọa độ Oxy, cho đường thẳng d: . Một vectơ pháp tuyến của đường thẳng d là
A. ;
B. ;
C. ;
D. .
Câu 13. Phương trình tham số của đường thẳng đi qua hai điểm A(2; – 1) và B(2; 5) là
Câu 14. Trong mặt phẳng tọa độ Oxy, cho điểm M(1; 2). Gọi A và B là hình chiếu của M lên Ox, Oy. Phương trình đường thẳng AB là
A. x + 2y – 1 = 0;
B. 2x + y + 2 = 0;
C. 2x + y – 2 = 0;
D. x + y – 3 = 0.
Câu 15. Đường thẳng d: 51x – 30y + 11 = 0 đi qua điểm nào sau đây?
A. ;
B. ;
C. ;
D. .
Câu 16. Cho hai đường thẳng d1: 2x + 3y + 15 = 0 và d2: x – 2y – 3 = 0. Khẳng định nào sau đây đúng?
A. d1 và d2 cắt nhau và không vuông góc với nhau;
B. d1 và d2 song song với nhau;
C. d1 và d2 trùng nhau;
D. d1 và d2 vuông góc với nhau.
Câu 17. Khoảng cách giữa hai đường thẳng song song ∆1: 6x – 8y + 3 = 0 và ∆2: 3x – 4y – 6 = 0 bằng
A. ;
B. ;
C. 2;
D. .
Câu 18. Xác định tất cả các giá trị của a để góc tạo bởi đường thẳng và đường thẳng 3x + 4y – 2 = 0 bằng 45°.
A. a = 1, a = – 14;
B. a = , a = – 14;
C. a = – 2, a = – 14;
D. a = , a = 14.
Câu 19. Phương trình nào sau đây không là phương trình đường tròn?
A. x2 + y2 = 4;
B. 2x2 + 3y2 + 2x + 3y = 9;
C. x2 + y2 + 2x – 1 = 0;
D. x2 + y2 + 4y + 3 = 0.
Câu 20. Tọa độ tâm I và bán kính R của đường tròn (C): x2 + y2 – 2x + 4y + 1 = 0 là
A. I(– 1; 2), R = 4;
B. I(1; – 2), R = 2;
C. I(– 1; 2), R = ;
D. I(1; – 2), R = 4.
Câu 21. Cho đường tròn (C): x2 + y2 – 2x – 4y – 4 = 0 và điểm A(1; 5). Đường thẳng nào trong các đường thẳng dưới đây là tiếp tuyến của đường tròn (C) tại điểm A?
A. y – 5 = 0;
B. y + 5 = 0;
C. x + y – 5 = 0;
D. x – y – 5 = 0.
II. Tự luận (3 điểm)
Bài 1. (1 điểm) Giải các bất phương trình sau:
a) – x2 + 2x + 5 > 2;
b) (1 – 2x)(x2 – x – 1) > 0.
Bài 2. (1 điểm) Một cửa hàng bán bưởi Phúc Trạch của Hà Tĩnh với giá bán mỗi quả là 50 000 đồng. Với giá bán này thì mỗi ngày cửa hàng chỉ bán được 40 quả. Cửa hàng dự định giảm giá bán, ước tính nếu cửa hàng cứ giảm mỗi quả 5 000 đồng thì số bưởi bán tăng thêm được 10 quả. Xác định giá bán để cửa hàng thu được lợi nhuận cao nhất, biết rằng giá nhập về ban đầu cho mỗi quả là 30 000 đồng.
Bài 3. (1 điểm) Cho P(3; 0) và hai đường thẳng d1: 2x – y – 2 = 0 và d2: x + y + 3 = 0. Gọi d là đường thẳng qua P và cắt d1, d2 sao cho PA = PB. Viết phương trình đường thẳng d.
-----HẾT-----
Đề thi Giữa kì 2 Toán 10 theo tỉnh (trên cả nước)
Xem thêm bộ đề thi Toán 10 Kết nối tri thức năm 2025 hay khác:
Để học tốt lớp 10 các môn học sách mới:
- Giải bài tập Lớp 10 Kết nối tri thức
- Giải bài tập Lớp 10 Chân trời sáng tạo
- Giải bài tập Lớp 10 Cánh diều
Đã có app VietJack trên điện thoại, giải bài tập SGK, SBT Soạn văn, Văn mẫu, Thi online, Bài giảng....miễn phí. Tải ngay ứng dụng trên Android và iOS.
Theo dõi chúng tôi miễn phí trên mạng xã hội facebook và youtube:Nếu thấy hay, hãy động viên và chia sẻ nhé! Các bình luận không phù hợp với nội quy bình luận trang web sẽ bị cấm bình luận vĩnh viễn.
- Giáo án lớp 10 (các môn học)
- Giáo án điện tử lớp 10 (các môn học)
- Giáo án Ngữ văn 10
- Giáo án Toán 10
- Giáo án Tiếng Anh 10
- Giáo án Vật Lí 10
- Giáo án Hóa học 10
- Giáo án Sinh học 10
- Giáo án Lịch Sử 10
- Giáo án Địa Lí 10
- Giáo án Kinh tế Pháp luật 10
- Giáo án Tin học 10
- Giáo án Công nghệ 10
- Giáo án Giáo dục quốc phòng 10
- Giáo án Hoạt động trải nghiệm 10
- Đề thi lớp 10 (các môn học)
- Đề thi Ngữ Văn 10 (có đáp án)
- Chuyên đề Tiếng Việt lớp 10
- Đề cương ôn tập Văn 10
- Đề thi Toán 10 (có đáp án)
- Đề thi cương ôn tập Toán 10
- Đề thi Toán 10 cấu trúc mới (có đáp án)
- Đề thi Tiếng Anh 10 (có đáp án)
- Đề thi Vật Lí 10 (có đáp án)
- Đề thi Hóa học 10 (có đáp án)
- Đề thi Sinh học 10 (có đáp án)
- Đề thi Lịch Sử 10 (có đáp án)
- Đề thi Địa Lí 10 (có đáp án)
- Đề thi Kinh tế & Pháp luật 10 (có đáp án)
- Đề thi Tin học 10 (có đáp án)
- Đề thi Công nghệ 10 (có đáp án)
- Đề thi Giáo dục quốc phòng 10 (có đáp án)


Giải bài tập SGK & SBT
Tài liệu giáo viên
Sách
Khóa học
Thi online
Hỏi đáp

