70+ Đề thi Toán 10 Giữa kì 2 năm 2026 (cấu trúc mới, có đáp án)
Để ôn luyện và làm tốt các bài thi Toán 10, dưới đây là 70+ Đề thi Toán 10 Giữa kì 2 năm 2026 theo cấu trúc mới sách mới Kết nối tri thức, Cánh diều, Chân trời sáng tạo có đáp án, cực sát đề thi chính thức. Hi vọng bộ đề thi này sẽ giúp bạn ôn tập & đạt điểm cao trong các bài thi Toán 10.
70+ Đề thi Toán 10 Giữa kì 2 năm 2026 (cấu trúc mới, có đáp án)
Xem thử Đề Toán 10 GK2 KNTT Xem thử Đề Toán 10 GK2 Cánh diều Xem thử Đề Toán 10 GK2 CTST
Chỉ từ 150k mua trọn bộ Đề thi Toán 10 Giữa kì 2 (mỗi bộ sách) theo cấu trúc mới bản word có lời giải chi tiết:
- B1: gửi phí vào tk:
1133836868- CT TNHH DAU TU VA DV GD VIETJACK - Ngân hàng MB (QR) - B2: Nhắn tin tới Zalo VietJack Official - nhấn vào đây để thông báo và nhận đề thi
Đề thi Toán 10 Giữa kì 2 (Giáo viên VietJack)
Đề thi Giữa kì 2 Toán 10 (cả nước)
Đề thi Giữa kì 2 Toán 10 Chân trời sáng tạo có đáp án (4 đề)
Đề thi Giữa kì 2 Toán 10 (cả nước)
Đề thi Giữa kì 2 Toán 10 trường THPT Vĩnh Linh (Quảng Trị) năm 2025-2026
Đề thi Giữa kì 2 Toán 10 trường THPT Quảng Trị (Quảng Trị) năm 2025-2026
Đề thi Giữa kì 2 Toán 10 trường THPT Trần Cao Vân (Khánh Hòa) năm 2025-2026
Đề thi Giữa kì 2 Toán 10 trường THPT Quế Sơn (Đà Nẵng) năm 2025-2026
Đề thi Giữa kì 2 Toán 10 trường THPT Gia Bình Số 1 (Bắc Ninh) năm 2025-2026
Đề thi Giữa kì 2 Toán 10 trường THPT Duy Tân (Quảng Ngãi) năm 2025-2026
Đề thi Giữa kì 2 Toán 10 trường THPT Việt Đức (Hà Nội) năm 2025-2026
Đề thi Giữa kì 2 Toán 10 trường THPT Phan Bội Châu (Khánh Hòa) năm 2025-2026
Đề thi Giữa kì 2 Toán 10 trường THPT Lê Quý Đôn (Quảng Ngãi) năm 2025-2026
Đề thi Giữa kì 2 Toán 10 trường THPT Trần Hưng Đạo (Hà Nội) năm 2025-2026
Đề thi Giữa kì 2 Toán 10 trường THPT Xuân Phương (Hà Nội) năm 2025-2026
Đề thi Giữa kì 2 Toán 10 trường THPT Hướng Hóa (Quảng Trị) năm 2025-2026
Đề thi Giữa kì 2 Toán 10 trường THPT chuyên Hà Nội – Amsterdam năm 2025-2026
Đề thi Giữa kì 2 Toán 10 trường THPT Số 1 Lê Hồng Phong (Đắk Lắk) năm 2025-2026
Đề thi Giữa kì 2 Toán 10 trường THPT Bình Thủy (Cần Thơ) năm 2025-2026
Đề thi Giữa kì 2 Toán 10 trường THPT Chuyên Lương Thế Vinh (Đồng Nai) năm 2025-2026
Đề thi Giữa kì 2 Toán 10 trường THPT Mạc Đĩnh Chi (Hải Phòng) năm 2025-2026
Đề thi Giữa kì 2 Toán 10 trường THPT Châu Văn Liêm (Cần Thơ) năm 2025-2026
Đề thi Giữa kì 2 Toán 10 trường PTTHSP Tràng An (Ninh Bình) năm 2025-2026
Đề thi Giữa kì 2 Toán 10 trường THPT Trần Phú (Hà Nội) năm 2025-2026
Đề thi Giữa kì 2 Toán 10 trường THPT Thuận Thành Số 2 (Bắc Ninh) năm 2025-2026
Đề thi Giữa kì 2 Toán 10 trường THPT Trần Nhân Tông (Hà Nội) năm 2025-2026
Đề thi Giữa kì 2 Toán 10 trường THPT Phan Đình Phùng (Hà Nội) năm 2025-2026
Đề thi Giữa kì 2 Toán 10 trường THPT Tây Thạnh (TP HCM) năm 2025-2026
Đề thi Giữa kì 2 Toán 10 trường THPT Phan Đình Phùng (Hà Nội) năm 2024-2025
Đề thi Giữa kì 2 Toán 10 trường THPT Việt Nam - Ba Lan (Hà Nội) năm 2024-2025
Đề thi Giữa kì 2 Toán 10 trường THPT Minh Hà (Hà Nội) năm 2024-2025
Đề thi Giữa kì 2 Toán 10 trường THPT Nguyễn Quốc Trinh (Hà Nội) năm 2024-2025
Đề thi Giữa kì 2 Toán 10 trường THPT Việt Đức (Hà Nội) năm 2024-2025
Đề thi Giữa kì 2 Toán 10 trường THPT Ten Lơ Man (Tp.HCM) năm 2024-2025
Đề thi Giữa kì 2 Toán 10 trường THPT Trần Khai Nguyên (Tp.HCM) năm 2024-2025
Đề thi Giữa kì 2 Toán 10 trường THPT Nguyễn Tất Thành (Tp.HCM) năm 2024-2025
Đề thi Giữa kì 2 Toán 10 trường THPT Hùng Vương (Tp.HCM) năm 2024-2025
Đề thi Giữa kì 2 Toán 10 trường THPT Nguyễn Hữu Huân (Tp.HCM) năm 2024-2025
Đề thi Giữa kì 2 Toán 10 trường THPT Thủ Đức (Tp.HCM) năm 2024-2025
Đề thi Giữa kì 2 Toán 10 trường THPT Thuận Thành 1-2-3 (Bắc Ninh) năm 2024-2025
Đề thi Giữa kì 2 Toán 10 trường THPT Lục Nam (Bắc Giang) năm 2024-2025
Đề thi Giữa kì 2 Toán 10 trường THPT Lạng Giang 1 (Bắc Giang) năm 2024-2025
Đề thi Giữa kì 2 Toán 10 trường THPT Nguyễn Du (Nam Định) năm 2024-2025
Đề thi Giữa kì 2 Toán 10 trường THPT C Hải Hậu (Nam Định) năm 2024-2025
Đề thi Giữa kì 2 Toán 10 trường THPT Âu Cơ (Quảng Nam) năm 2024-2025
Đề thi Giữa kì 2 Toán 10 trường THPT Thanh Hòa (Bình Phước) năm 2024-2025
Đề thi Giữa kì 2 Toán 10 trường THPT chuyên Vị Thanh (Hậu Giang) năm 2024-2025
Đề thi Giữa kì 2 Toán 10 trường THPT Lê Lợi (Kon Tum) năm 2024-2025
Đề thi Giữa kì 2 Toán 10 trường THPT Ea H’Leo (Đắk Lắk) năm 2024-2025
Đề thi Giữa kì 2 Toán 10 trường THPT Nguyễn Văn Trỗi (Khánh Hòa) năm 2024-2025
Đề thi Giữa kì 2 Toán 10 trường THPT Trần Cao Vân (Khánh Hòa) năm 2024-2025
Đề thi Giữa kì 2 Toán 10 trường THPT Mường Than (Lai Châu) năm 2024-2025
Đề thi Giữa kì 2 Toán 10 trường THPT Ninh Bình - Bạc Liêu (Ninh Bình) năm 2024-2025
Đề thi Giữa kì 2 Toán 10 trường THPT Sầm Sơn (Thanh Hóa) năm 2024-2025
Đề thi Giữa kì 2 Toán 10 trường THPT Thị xã Quảng Trị năm 2024-2025
Đề thi Giữa kì 2 Toán 10 trường THPT Vĩnh Linh (Quảng Trị) năm 2024-2025
Đề thi Giữa kì 2 Toán 10 trường THPT Hướng Hóa (Quảng Trị) năm 2024-2025
Đề thi Giữa kì 2 Toán 10 trường THPT An Lương Đông (Huế) năm 2024-2025
Đề thi Giữa kì 2 Toán 10 trường THPT Nguyễn Huệ (Huế) năm 2024-2025
Đề thi Giữa kì 2 Toán 10 trường THPT Nguyễn Chí Thanh (Tây Ninh) năm 2024-2025
Đề thi Giữa kì 2 Toán 10 trường chuyên Nguyễn Đình Chiểu (Đồng Tháp) năm 2024-2025
Đề thi Giữa kì 2 Toán 10 trường THPT Thanh Bình 1 (Đồng Tháp) năm 2024-2025
Đề thi Giữa kì 2 Toán 10 trường THPT Thanh Miện (Hải Dương) năm 2024-2025
Đề thi Giữa kì 2 Toán 10 trường THPT Thanh Miện 2 (Hải Dương) năm 2024-2025
Đề thi Giữa kì 2 Toán 10 trường THPT Ngô Gia Tự (Phú Yên) năm 2024-2025
Đề thi Giữa kì 2 Toán 10 trường chuyên Lương Thế Vinh (Đồng Nai) năm 2024-2025
Đề thi Giữa kì 2 Toán 10 trường THPT Nguyễn Trung Thiên (Hà Tĩnh) năm 2024-2025
Đề thi Giữa kì 2 Toán 10 trường THPT số 1 TX Sa Pa (Lào Cai) năm 2024-2025
Đề thi Giữa kì 2 Toán 10 trường Hà Long (Long An) năm 2024-2025
Đề thi Giữa kì 2 Toán 10 trường THPT Trương Vĩnh Ký (Bến Tre) năm 2024-2025
Xem thử Đề Toán 10 GK2 KNTT Xem thử Đề Toán 10 GK2 Cánh diều Xem thử Đề Toán 10 GK2 CTST
Sở Giáo dục và Đào tạo ...
Đề thi Giữa kì 2 - Kết nối tri thức
Năm học ...
Môn: Toán 10
Thời gian làm bài: 90 phút
(không kể thời gian phát đề)
PHẦN I. TRẮC NGHIỆM KHÁCH QUAN
A. TRẮC NGHIỆM NHIỀU PHƯƠNG ÁN LỰA CHỌN. Thí sinh trả lời từ câu 1 đến câu 12. Mỗi câu hỏi thí sinh chỉ chọn một phương án.
Câu 1. Cho hàm số y = f(x) có tập xác định [-3; 3] và đồ thị của nó được biểu diễn như hình dưới đây
A. Hàm số đồng biến trên (1; 3).
B. Hàm số đồng biến trên (-3; 1).
C. Hàm số đồng biến trên (-1; 1).
D. Hàm số đồng biến trên (1; 4).
Câu 2. Cho f(x) = ax2 + bx + c, (a ≠ 0) và ∆ = b2 - 4ac . Cho biết dấu của ∆ khi f(x) luôn cùng dấu với hệ số a với mọi x ∈ ℝ.
A. ∆ > 0.
B. ∆ < 0.
C. ∆ ≥ 0.
D. ∆ = 0.
Câu 3. Cho phương trình = x - 3. Chọn câu đúng.
A. x = 6 là nghiệm của phương trình.
B. x = 2 là nghiệm của phương trình.
C. x = 1 là nghiệm của phương trình.
D. x = 3 là nghiệm của phương trình.
Câu 4. Trong mặt phẳng tọa độ Oxy, cho đường thẳng d: -x + 2y + 7 = 0. Một vectơ pháp tuyến của đường thẳng d là
A. .
B. .
C. .
D. .
Câu 5. Trong mặt phẳng Oxy, đường thẳng d: x - 2y - 1 = 0 song song với đường thẳng có phương trình nào sau đây?
A. x + 2y + 1 = 0.
B. -x + 2y + 1 = 0.
C. 2x - y = 0.
D. -2x + 4y - 1 = 0.
Câu 6. Phương trình đường tròn có tâm I(a, b) và bán kính R là
A. (x - a)2 + (y - b)2 = R2.
B. (x - a)2 + (y - b)2 = R.
C. (x + a)2 + (y + b)2 = R2.
D. (x + a)2 + (y + b)2 = R.
Câu 7. Phương trình nào sau đây là phương trình chính tắc của một elip?
A. .
B. .
C. .
D. .
Câu 8. Tập xác định của hàm số là
A. [-1; 3].
B. (1; 3).
C. .
D. .
Câu 9. Tập nghiệm của phương trình là
A. S = {1; 9}.
B. S = {1}.
C. S = {9}.
D. S = {-1; -9}.
Câu 10. Phương trình đường thẳng đi qua hai điểm M(-1; 0); N(3; 1) là
A. 4x + y + 4 = 0.
B. x - 4y - 1 = 0.
C. 4x + y - 4 = 0.
D. x - 4y + 1 = 0.
Câu 11. Cho đường tròn (C): (x - 1)2 + (y - 3)2 = 13. Phương trình tiếp tuyến của (C) tại M(-2; 5) là:
A. -2x + 5y + 16 = 0.
B. -2x + 5y - 16 = 0.
C. -3x + 2y - 16 = 0.
D. 3x - 2y - 16 = 0.
Câu 12. Viết phương trình chính tắc của parabol đi qua điểm A(1; 4).
A. y2 = 8x.
B. y = 4x2.
C. y2 = 16x.
D. y2 = 32x.
B. TRẮC NGHIỆM ĐÚNG - SAI. Thí sinh trả lời từ câu 1 đến câu 2. Trong mỗi ý a), b), c), d) ở mỗi câu, thí sinh chọn đúng hoặc sai.
Câu 1. Cho hàm số bậc hai có đồ thị hàm số như hình vẽ
a) Tại x= -1 thì y = 0.
b) Hàm số đồng biến trên khoảng (-1; 0).
c) Cho I(a, b) là đỉnh của đồ thị hàm số trên. Khi đó a - 2b = 1.
d) Đồ thị biểu diễn trên là của hàm số y = -x2 + 2x - 1.
Câu 2. Cho hai điểm A(3; -3), B(-1; -5) và đường thẳng (d): 4x - 3y - 2 = 0.
a) Một vectơ pháp tuyến của đường thẳng d là .
b) Đường thẳng đi qua điểm A và vuông góc với (d) có phương trình 4x + 3y = 3.
c) Khoảng cách từ A tới (d) nhỏ hơn khoảng cách từ B tới (d).
d) Cosin của góc tạo bởi (d) và đường thẳng AB bằng .
C. TRẢ LỜI NGẮN. Thí sinh trả lời câu 1 đến câu 4.
Câu 1. Trong mặt phẳng Oxy, đường tròn 2x2 + 2y2 - 8x + 4y = 1 có bán kính bằng bao nhiêu? (kết quả làm tròn đến hàng phần trăm).
Câu 2. Tập nghiệm của bất phương trình -x2 + 5x - 6 ≥ 0 ó bao nhiêu giá trị nguyên?
Câu 3. Bảng giá cước gọi quốc tế của công ty viễn thông A được cho bởi bảng sau
Ông An thực hiện 1 cuộc gọi quốc tế 31 phút, sau đó ông gặp sự cố bị ngắt kết nối nên ông phải thực hiện lại thêm 1 cuộc gọi quốc tế 12 phút nữa. Tổng số tiền cước ông An phải trả là bao nhiêu nghìn đồng?
Câu 4. Trong mặt phẳng tọa độ (Oxy), cho điểm M(1; -2) và đường thẳng d: 2x - 4y + 3 = 0. Đường thẳng ∆ đi qua M và song song d có phương trình ax + by - 5 = 0 (a, b ∈ ℝ). Tính giá trị biểu thức a2 + b2.
PHẦN II. TỰ LUẬN
Câu 1. Tìm tọa độ đỉnh của parabol y = x2 - 4x + 5.
Câu 2. Một đài quan sát O cách ba vị trí A, B, C như hình vẽ dưới đây thỏa mãn OB = x km, OC = x + 1 km và OA = 2 km.
Tìm x biết khoảng cách từ vị trí A đến vị trí C gấp đôi khoảng cách từ vị trí A đến vị trí B và khoảng cách từ O đến B ngắn hơn khoảng cách từ O đến A.
Câu 3. Hình vẽ bên mô phỏng một trạm thu phát sóng điện thoại di động đặt ở vị trí I có tọa độ (-2; 1) trong mặt phẳng tọa độ (đơn vị trên hai trục là kilômét).
Tính theo đường chim bay, xác định khoảng cách ngắn nhất để một người ở vị trí có tọa độ (-3; 4) di chuyển được tới vùng phủ sóng theo đơn vị kilômét (làm tròn kết quả đến hàng phần trăm). Biết rằng trạm thu phát sóng đó được thiết kế với bán kính phủ sóng 3 (km).
Sở Giáo dục và Đào tạo ...
Đề thi Giữa kì 2 - Kết nối tri thức
Năm học ...
Môn: Toán 10
Thời gian làm bài: 90 phút
(không kể thời gian phát đề)
I. Trắc nghiệm (7 điểm)
Câu 1. Trong các công thức sau, công thức nào không biểu diễn y là hàm số của x?
A. 2x + y = 5;
B. + y = 5;
C. y = ;
D. 2x2 – 3y2 = 0.
Câu 2. Cho hàm số dưới dạng bảng như sau:
x |
0 |
1 |
2 |
3 |
4 |
y |
0 |
1 |
4 |
9 |
16 |
Giá trị của hàm số y tại x = 1 là
A. 1;
B. 4;
C. 9;
D. 16.
Câu 3. Cho hàm số y = f(x) có đồ thị như hình dưới.
là giao điểm của (C), (C').
Hàm số trên nghịch biến trên khoảng
A. (– ∞; 2);
B. (2; + ∞);
C. (0; 2);
D. (– ∞; 0).
Câu 4. Hàm số có tập xác định là
A. (– 2; 5);
B. [– 2; 5];
C. (– ∞; – 2] ∪ [5; + ∞);
D. ℝ \ {– 2; 5}.
Câu 5. Cho hàm số . Giá trị của hàm số tại x = 5 là
A. – 1998;
B. 0;
C. 1;
D. Không tồn tại.
Câu 6. Trong các hàm số sau, hàm số nào không phải là hàm số bậc hai?
A. y = x2 – 2x + 1;
B. y = (x2)2 – 3x2 + 6;
C. y = x2 + 5x + 9;
D. y = 10 – 4x – x2.
Câu 7. Cho đồ thị hàm số bậc hai y = ax2 + bx + c (a ≠ 0) như hình vẽ sau.
Điều kiện của hệ số a của hàm số bậc hai này là
A. a = 1;
B. a > 1;
C. a > 0;
D. a < 0.
Câu 8. Đồ thị của hàm số bậc hai y = – x2 + 5 + 3x có trục đối xứng là
A. ;
B. ;
C. x = 3;
D. x = 5.
Câu 9. Cho hàm số bậc hai f(x) = – 2x2 – x + 1. Giá trị lớn nhất của hàm số là
A. ;
B. ;
C. ;
D. Không tồn tại.
Câu 10. Cho hàm số bậc hai có bảng biến thiên như sau:
Công thức hàm số bậc hai trên là
A. y = – x2 + 4x;
B. y = x2 + 4x;
C. y = x2 – 4x;
D. y = – x2 – 4x.
Câu 11. Biểu thức nào dưới đây không phải là tam thức bậc hai?
A. f(x) = 2x2 + 5x – 3;
B. f(x) = x2 – 9;
C. f(x) = 32x2 + 3x + 4;
D. f(x) = x4 – 2x2 + 5.
Câu 12. Cho tam thức bậc hai f(x) = ax2 + bx + c, (a ≠ 0) và ∆ = b2 – 4ac. Mệnh đề nào sau đây đúng?
A. Nếu ∆ > 0 thì f(x) luôn cùng dấu với hệ số a, với mọi x ∈ ℝ;
B. Nếu ∆ < 0 thì f(x) luôn trái dấu với hệ số a, với mọi x ∈ ℝ;
C. Nếu ∆ = 0 thì f(x) luôn cùng dấu với hệ số a, với mọi x ∈ ℝ \ ;
D. Nếu ∆ < 0 thì f(x) luôn cùng dấu với hệ số b, với mọi x ∈ ℝ.
Câu 13. Cho hàm số y = f(x) có đồ thị như hình dưới đây.
Trong các phát biểu sau, phát biểu nào sai?
A. f(x) < 0 khi và chỉ khi x ∈ (1; 3);
B. f(x) ≤ 0 khi và chỉ khi x ∈ (– ∞; 1] ∪ [3; + ∞);
C. f(x) > 0 khi và chỉ khi x ∈ (1; 3);
D. f(x) ≥ 0 khi và chỉ khi x ∈ [1; 3].
Câu 14. Tam thức nào sau đây luôn dương với mọi giá trị của x?
A. x2 – 10x + 2;
B. x2 – 2x – 10;
C. x2 – 2x + 10;
D. – x2 + 2x + 10.
Câu 15. Gọi S là tập nghiệm của bất phương trình x2 – 8x + 7 ≥ 0. Tromg các tập hợp sau, tập nào không là tập con của S?
A. (– ∞; 0];
B. [6; + ∞);
C. [8; + ∞];
D. (– ∞; – 1].
Câu 16. Trong các phát biểu sau, phát biểu nào là đúng?
A. Tập nghiệm của phương trình là tập nghiệm của phương trình ax2 + bx + c = (dx + e)2;
B. Tập nghiệm của phương trình là tập hợp các nghiệm của phương trình ax2 + bx + c = (dx + e)2 thỏa mãn bất phương trình dx + e ≥ 0;
C. Mọi nghiệm của phương trình ax2 + bx + c = (dx + e)2 đều là nghiệm của phương trình ;
D. Tập nghiệm của phương trình là tập hợp các nghiệm của phương trình ax2 + bx + c = (dx + e)2 thỏa mãn bất phương trình ax2 + bx + c ≥ 0.
Câu 17. Trong các phát biểu sau, phát biểu nào là đúng?
A. Tập nghiệm của phương trình là tập nghiệm của phương trình ax2 + bx + c = dx2 + ex + f;
B. Tập nghiệm của phương trình là tập nghiệm của phương trình (ax2 + bx + c)2 = (dx2 + ex + f)2;
C. Mọi nghiệm của phương trình ax2 + bx + c = dx2 + ex + f đều là nghiệm của phương trình ;
D. Tập nghiệm của phương trình là tập hợp các nghiệm của phương trình ax2 + bx + c = dx2 + ex + f thỏa mãn bất phương trình ax2 + bx + c ≥ 0 (hoặc dx2 + ex + f ≥ 0).
Câu 18. Phương trình có số nghiệm là
A. 0;
B. 1;
C. 2;
D. 3.
Câu 19. Cho phương trình (1). Để phương trình (1) có nghiệm thì m ∈ [a; b]. Giá trị a2 + b2 bằng
A. 2;
B. 4;
C. 1;
D. 3.
Câu 20. Trong mặt phẳng tọa độ Oxy, cho đường thẳng d: – x + 2y + 7 = 0. Vectơ pháp tuyến của đường thẳng d là
A. ;
B. ;
C. ;
D. .
Câu 21. Điểm nào dưới đây không thuộc đường thẳng d: 2x – 5y + 3 = 0?
A. A(1; 1);
B. B;
C. C;
D. D(2; 3).
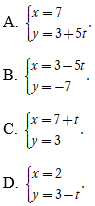
Câu 22. Phương trình tham số của đường thẳng ∆ đi qua điểm A(– 4; 2) và nhận làm vectơ chỉ phương là
Câu 23. Phương trình tổng quát của đường thẳng d đi qua điểm A(1; – 3) và nhận làm vectơ pháp tuyến là
A. 2x – 7y + 23 = 0;
B. – 2x + 7y – 23 = 0;
C. 2x – 7y – 23 = 0;
D. – 2x – 7y + 23 = 0.
Câu 24. Cho đường thẳng d có phương trình tổng quát: x + 2y – 3 = 0. Phương trình tham số của đường thẳng d là
Câu 25. Trong mặt phẳng tọa độ Oxy, cho hai điểm A(3; – 1) và B(– 6; 2). Phương trình nào sau đây không phải là phương trình tham số của đường thẳng AB?
Câu 26. Trong mặt phẳng tọa độ, xét hai đường thẳng
∆1: a1x + b1y + c1 = 0; ∆2: a2x + b2y + c2 = 0.
và hệ phương trình: (*).
Khi đó, ∆1 trùng với ∆2 khi và chỉ khi
A. hệ (*) có vô số nghiệm;
B. hệ (*) vô nghiệm;
C. hệ (*) có nghiệm duy nhất;
D. hệ (*) có hai nghiệm.
Câu 27. Cho điểm M(x0; y0) và đường thẳng ∆: ax + by + c = 0. Khoảng cách từ điểm M đến đường thẳng ∆, kí hiệu là d(M, ∆), được tính bởi công thức
A. ;
B. ;
C. ;
D. .
Câu 28. Trong mặt phẳng tọa độ, cho hai đường thẳng
∆1: a1x + b1y + c1 = 0; ∆2: a2x + b2y + c2 = 0,
với các vectơ pháp tuyến và tương ứng. Khi đó góc φ giữa hai đường thẳng đó được xác định bởi công thức
A. ;
B. ;
C. ;
D. .
Câu 29. Khoảng cách từ điểm M(5; – 1) đến đường thẳng d: 3x + 2y + 13 = 0 là
A. ;
B. ;
C. 26;
D. .
Câu 30. Góc giữa hai đường thẳng a: 6x – 5y + 15 = 0 và b: bằng
A. 30°;
B. 90°;
C. 60°;
D. 45°.
Câu 31. Phương trình nào sau đây là phương trình đường tròn?
A. x2 + 2y2 – 4x – 8y + 1 = 0;
B. x2 + y2 – 4x + 6y – 12 = 0;
C. x2 + y2 – 2x – 8y + 20 = 0;
D. 4x2 + y2 – 10x – 6y – 2 = 0.
Câu 32. Đường tròn (x + 3)2 + (y – 4)2 = 16 có tâm là
A. I(3; 4);
B. I(3; – 4);
C. I(– 3; 4);
D. I(– 3; – 4).
Câu 33. Phương trình nào sau đây là phương trình của đường tròn tâm I(1; 2), bán kính bằng 5?
A. x2 + y2 – 2x – 4y – 20 = 0;
B. x2 + y2 + 2x + 4 + 20 = 0;
C. x2 + y2 + 2x + 4y – 20 = 0;
D. x2 + y2 – 2x – 4y + 20 = 0.
Câu 34. Phương trình đường tròn đường kính AB với A(1; 3) và B(5; – 1) là
A. (x + 3)2 + (y – 1)2 = 8;
B. (x + 3)2 + (y + 1)2 = 8;
C. (x – 3)2 + (y + 1)2 = 8;
D. (x – 3)2 + (y – 1)2 = 8.
Câu 35. Trong mặt phẳng tọa độ, cho đường tròn (C): x2 + y2 – 2x – 4y – 4 = 0 và điểm A(1; 5). Tiếp tuyến của đường tròn (C) tại điểm A có phương trình là
A. y – 5 = 0;
B. y + 5 = 0;
C. x + y – 5 = 0;
D. x – y – 5 = 0.
II. Tự luận (3 điểm)
Bài 1. (1 điểm) Giải các phương trình sau:
a) ;
b) .
Bài 2. (1 điểm) Viết phương trình tổng quát của đường thẳng
a) đi qua M(– 1; – 4) và song song với đường thẳng 3x + 5y – 2 = 0;
b) đi qua N(1; 1) và vuông góc với đường thẳng 2x + 3y + 7 = 0.
Bài 3. (1 điểm) Hà dự định làm một khung ảnh hình chữ nhật sao cho phần trong của khung là hình chữ nhật có kích thước 7 cm × 13 cm, độ rộng viền xung quanh là x cm (như hình vẽ). Diện tích của viền khung ảnh không vượt quá 44 cm2. Hỏi độ rộng viền khung ảnh lớn nhất là bao nhiêu xen-ti-mét?
-----HẾT-----
Sở Giáo dục và Đào tạo ...
Đề thi Giữa kì 2 - Cánh diều
Năm học ...
Môn: Toán 10
Thời gian làm bài: 90 phút
(không kể thời gian phát đề)
I. Trắc nghiệm (7 điểm)
Câu 1. Nếu một công việc được hoàn thành bởi một trong ba hành động. Nếu hành động thứ nhất có m cách thực hiện, hành động thứ hai có n cách thực hiện, hành động thứ ba có k cách thực hiện (các cách thực hiện của ba hành động là khác nhau đôi một) thì số cách hoàn thành công việc đó là
A. mnk;
B. m + n + k;
C. 1;
D. mn + k.
Câu 2. Nếu một công việc được hoàn thành bởi ba hành động liên tiếp. Nếu hành động thứ nhất có m cách thực hiện, ứng với mỗi cách thực hiện hành động thứ nhất, có n cách thực hiện hành động thứ hai, ứng với mỗi cách thực hiện hành động thứ nhất và mỗi cách thực hiện hành động số hai, có k cách thực hiện hành động số ba thì số cách hoàn thành công việc đó là
A. mnk;
B. m + n + k;
C. 1;
D. mn + k.
Câu 3. Cho tập A = {0; 1; 3; 5; 7}. Có thể lập được bao nhiêu số tự nhiên có 4 chữ số sao cho các chữ số đó đôi một khác nhau và là số chẵn.
A. 32;
B. 12;
C. 24;
D. 96.
Câu 4. Phương tiện bạn Khoa có thể chọn đi từ Hải Dương xuống Hà Nội rồi từ Hà Nội vào Đà Lạt được thể hiện qua sơ đồ cây sau:
Hỏi bạn Khoa có mấy cách chọn phương tiện đi từ Hải Dương xuống Hà Nội rồi từ Hà Nội vào Đà Lạt?
A. 3;
B. 4;
C. 5;
D. 6.
Câu 5. Cho tập A có n phần tử (n ∈ ℕ, n ≥ 2), k là số nguyên thỏa mãn 1 ≤ k ≤ n. Mỗi chỉnh hợp chập k của n phần tử đã cho là
A. Một kết quả của sự sắp xếp thứ tự n phần tử của tập hợp A;
B. Tất cả các kết quả của việc lấy k phần tử từ n phần tử của tập hợp A và sắp xếp chúng theo một thứ tự nào đó;
C. Một kết quả của việc lấy k phần tử từ n phần tử của tập hợp A và sắp xếp chúng theo một thứ tự nào đó;
D. Một số được tính bằng n(n – 1) ... (n – k + 1).
Câu 6. Số các hoán vị của 5 phần tử là
A. 5;
B. ;
C. 10;
D. 5!.
Câu 7. Cho k, n là các số nguyên dương, k ≤ n. Trong các phát biểu sau, phát biểu nào sai?
A. ;
B. Pn = n(n – 1) ... 2 . 1;
C. Pn = n!;
D. .
Câu 8. Có bao nhiêu cách xếp 5 người ngồi vào một dãy ghế gồm có 6 chiếc ghế, biết mỗi người ngồi vào một ghế.
A. 30;
B. 11;
C. 38;
D. 720.
Câu 9. Sắp xếp năm bạn học sinh Anh, Chánh, Châu, Hằng, Loan vào một chiếc ghế dài có 5 chỗ ngồi. Số cách sắp xếp sao cho bạn Châu luôn ngồi chính giữa là
A. 24;
B. 120;
C. 60;
D. 16.
Câu 10. Cho tập hợp H = {1; 3; 5; 7; 9; 11}. Một tổ hợp chập 3 của 6 phần tử của H là
A. ;
B. {1; 5; 9};
C. 6!;
D. .
Câu 11. Với n là số nguyên dương tùy ý lớn hơn 1, mệnh đề nào dưới đây đúng?
A. ;
B. ;
C. ;
D. .
Câu 12. Một lớp có 40 học sinh gồm 25 nam và 15 nữ. Hỏi có bao nhiêu cách chọn ra một nhóm 3 học sinh trong đó có ít nhất một học sinh nữ?
A. 7580;
B. 7125;
C. 455;
D. 544.
Câu 13. Trong một hộp đựng 4 viên bi hồng và 3 viên bi tím. Lấy ngẫu nhiên ra 2 viên. Có bao nhiêu cách lấy được 2 viên bi cùng màu?
A. 4;
B. 18;
C. 9;
D. 22.
Câu 14. Cho biểu thức (a + b)n , với n = 4 thì khi khai triển ta được một biểu thức có số số hạng là
A. 4;
B. 5;
C. 6;
D. 8.
Câu 15. Trong các phát biểu sau, phát biểu nào đúng?
A. (a + b)5 = a5 + 5a4b + 10a3b2 + 10a2b3 + 5ab4 + b5;
B. (a – b)5 = a5 – 5a4b + 10a3b2 + 10a2b3 – 5ab4 + b5;
C. (a + b)5 = a5 + b5;
D. (a – b)5 = a5 – b5.
Câu 16. Số hạng không chứa x trong khai triển nhị thức Newton của (2x – 5)5 là
A. 1;
B. 32;
C. – 3125;
D. 6250.
Câu 17. Trong mặt phẳng tọa độ Oxy, cho vectơ . Tọa độ của vectơ là
A. (– 2; – 3);
B. (2; – 3);
C. (– 2; 3);
D. (2; 3).
Câu 18. Trong mặt phẳng tọa độ Oxy, cho M(3; – 6) và N(5; 2). Tọa độ trung điểm I của MN là
A. (4; – 2);
B. (1; 4);
C. (2; – 8);
D. (2; – 2).
Câu 19. Trong mặt phẳng tọa độ Oxy, cho điểm H(1; 6). Tọa độ của vectơ là
A. (6; 1);
B. (3; 2);
C. (1; 6);
D. (7; 0).
Câu 20. Tìm các số thực a và b để cặp vectơ sau bằng nhau và .
A. a = 2, b = 1;
B. a = 1, b = – 2;
C. a = – 1, b = 2;
D. a = – 2, b = 1.
Câu 21. Cho hình bình hành ABCD có A(– 1; – 2), B(3; 2), C(4; – 1). Tọa độ của đỉnh D là
A. (8; 3);
B. (3; 8);
C. (– 5; 0);
D. (0; – 5).
Câu 22. Trong mặt phẳng tọa độ Oxy, cho A(2; 7) và B(– 2; 8). Độ dài đoạn thẳng AB là
A. 5;
B. ;
C. ;
D. 25.
Câu 23. Cho hai vectơ , . Khẳng định nào sau đây là đúng?
A. Hai vectơ bằng nhau;
B. Hai vectơ cùng phương cùng hướng;
C. Hai vectơ cùng phương ngược hướng;
D. Hai vectơ đối nhau.
Câu 24. Trong mặt phẳng tọa độ Oxy, cho hai vectơ và . Tập giá trị của m để hai vectơ và cùng phương là
A. {– 1; 1};
B. {– 1; 2};
C. {– 2; – 1};
D. {– 2; 1}.
Câu 25. Cho tam giác ABC có A(1; 2), B(– 1; 1), C(5; – 1). Tính .
A. 7;
B. – 5;
C. 5;
D. – 7.
Câu 26. Trong mặt phẳng tọa độ Oxy, cho đường thẳng d: – x + 2y + 7 = 0. Vectơ pháp tuyến của đường thẳng d là
A. ;
B. ;
C. ;
D. .
Câu 27. Phương trình tham số của đường thẳng ∆ đi qua điểm A(– 4; 2) và nhận làm vectơ chỉ phương là
Câu 28. Phương trình tổng quát của đường thẳng d đi qua điểm A(1; – 3) và nhận làm vectơ pháp tuyến là
A. 2x – 7y + 23 = 0;
B. – 2x + 7y – 23 = 0;
C. 2x – 7y – 23 = 0;
D. – 2x – 7y + 23 = 0.
Câu 29. Trong mặt phẳng tọa độ Oxy, cho hai điểm A(3; – 1) và B(– 6; 2). Phương trình nào sau đây không phải là phương trình tham số của đường thẳng AB?
Câu 30. Cho đường thẳng ∆ đi qua điểm A(4; – 5) và có một vectơ pháp tuyến là . Phương trình tham số của đường thẳng ∆ là
Câu 31. Khoảng cách từ điểm M(5; – 1) đến đường thẳng d: 3x + 2y + 13 = 0 là
A. ;
B. ;
C. 26;
D. .
Câu 32. Góc giữa hai đường thẳng a: 6x – 5y + 15 = 0 và b: bằng
A. 30°;
B. 90°;
C. 60°;
D. 45°.
Câu 33. Trong mặt phẳng tọa độ Oxy, cho tam giác ABC có A(1; 2), B(3; 1) và C(5; 4). Phương trình nào sau đây là phương trình đường cao kẻ từ A của tam giác ABC?
A. 2x + 3y – 8 = 0;
B. 2x + 3y + 8 = 0;
C. 3x – 2y + 1 = 0;
D. 2x + 3y – 2 = 0.
Câu 34. Tọa độ giao điểm của hai đường thẳng x – 3y – 6 = 0 và 3x + 4y – 1 = 0 là
A. ;
B. (– 27; 17);
C. (27; – 17);
D. .
Câu 35. Cho hai đường thẳng và d2: mx + 2y – 14 = 0. Giá trị của m để hai đường thẳng trên song song với nhau là
A. m = 1;
B. m = – 2;
C. m ∈ {– 2; 1};
D. Không có giá trị nào của m thỏa mãn.
II. Tự luận (3 điểm)
Bài 1. (1 điểm) Một nhóm học sinh gồm 15 nam và 5 nữ. Người ta muốn chọn từ nhóm ra 5 người để lập thành một đội cờ đỏ sao cho phải có 1 đội trưởng nam, 1 đội phó nam và có ít nhất 1 nữ. Hỏi có bao nhiêu cách lập đội cờ đỏ?
Bài 2. (1 điểm) Cho đường thẳng d1: 2x – y – 2 = 0; d2: x + y + 3 = 0 và điểm M(3; 0). Viết phương trình đường thẳng ∆ đi qua điểm M, cắt d1 và d2 lần lượt tại A và B sao cho M là trung điểm của đoạn AB.
Bài 3. (1 điểm) Cho n là số tự nhiên. Hãy tính tổng sau:
S = .
-----HẾT-----
Sở Giáo dục và Đào tạo ...
Đề thi Giữa kì 2 - Chân trời sáng tạo
Năm học ...
Môn: Toán 10
Thời gian làm bài: 90 phút
(không kể thời gian phát đề)
I. Trắc nghiệm (7 điểm)
Câu 1. Biểu thức nào dưới đây không phải là tam thức bậc hai?
A. f(x) = 2x2 + 5x – 3;
B. f(x) = x2 – 9;
C. f(x) = 32x2 + 3x + 4;
D. f(x) = x4 – 2x2 + 5.
Câu 2. Cho tam thức bậc hai f(x) = ax2 + bx + c, (a ≠ 0) và ∆ = b2 – 4ac. Mệnh đề nào sau đây đúng?
A. Nếu ∆ > 0 thì f(x) luôn cùng dấu với hệ số a, với mọi x ∈ ℝ;
B. Nếu ∆ < 0 thì f(x) luôn trái dấu với hệ số a, với mọi x ∈ ℝ;
C. Nếu ∆ = 0 thì f(x) luôn cùng dấu với hệ số a, với mọi x ∈ ℝ \ ;
D. Nếu ∆ < 0 thì f(x) luôn cùng dấu với hệ số b, với mọi x ∈ ℝ.
Câu 3. Tam thức bậc hai nào sau đây có biệt thức ∆ = 1 và có hai nghiệm là và ?
A. 8x2 – 26x + 21;
B. 4x2 – 13x + ;
C. 4x2 + 4x – 15;
D. 2x2 – 7x + 6.
Câu 4. Cho hàm số y = f(x) có đồ thị như hình dưới đây.
Trong các phát biểu sau, phát biểu nào sai?
A. f(x) < 0 khi và chỉ khi x ∈ (1; 3);
B. f(x) ≤ 0 khi và chỉ khi x ∈ (– ∞; 1] ∪ [3; + ∞);
C. f(x) > 0 khi và chỉ khi x ∈ (1; 3);
D. f(x) ≥ 0 khi và chỉ khi x ∈ [1; 3].
Câu 5. Tam thức nào sau đây luôn dương với mọi giá trị của x?
A. x2 – 10x + 2;
B. x2 – 2x – 10;
C. x2 – 2x + 10;
D. – x2 + 2x + 10.
Câu 6. Bất phương trình nào dưới đây là bất phương trình bậc hai một ẩn?
A. 3x2 – 5x + 5 > 3x2 + 4x;
B. (x2)2 + 2x – 7 ≤ 0;
C. x4 + 2x2 – 9 > 0;
D. x2 + 2x – 3 ≥ 2x2 + x.
Câu 7. x = 0 là một nghiệm của bất phương trình nào sau đây?
A. 2x2 + 3x + 1 < 0;
B. x2 + x – 3 > 0;
C. x2 + 2x + 4 < 0;
D. x2 – 3x – 1 < 0.
Câu 8. Giá trị nào dưới đây không là một nghiệm của bất phương trình – 2x2 + x + 1 ≥ 0?
A. x = 0;
B. x = – 1;
C. x = 1;
D. x = – 2.
Câu 9. Gọi S là tập nghiệm của bất phương trình x2 – 8x + 7 ≥ 0. Trong các tập hợp sau, tập nào không là tập con của S?
A. (– ∞; 0];
B. [6; + ∞);
C. [8; + ∞];
D. (– ∞; – 1].
Câu 10. Giá trị của m để phương trình – x2 + 2(m – 1)x + m – 3 = 0 có hai nghiệm phân biệt là
A. (– 1 ; 2);
B. (– ∞; – 1) ∪ (2; + ∞);
C. [– 1; 2];
D. (– ∞; – 1] ∪ [2; + ∞).
Câu 11. Phương trình có số nghiệm là
A. 0;
B. 1;
C. 2;
D. 3.
Câu 12. Giá trị nào sau đây là một nghiệm của phương trình ?
A. 2;
B. 4;
C. 12;
D. 20.
Câu 13. Cho phương trình (1). Để phương trình (1) có nghiệm thì m ∈ [a; b]. Giá trị a2 + b2 bằng
A. 2;
B. 4;
C. 1;
D. 3.
Câu 14. Trong mặt phẳng tọa độ Oxy, cho vectơ . Tọa độ của vectơ là
A. (– 2; – 3);
B. (2; – 3);
C. (– 2; 3);
D. (2; 3).
Câu 15. Trong mặt phẳng tọa độ Oxy, cho A(2; 7) và B(– 2; 8). Độ dài đoạn thẳng AB là
A. 5;
B. ;
C. ;
D. 25.
Câu 16. Cho hai vectơ , . Khẳng định nào sau đây là đúng?
A. Hai vectơ bằng nhau;
B. Hai vectơ cùng phương cùng hướng;
C. Hai vectơ cùng phương ngược hướng;
D. Hai vectơ đối nhau.
Câu 17. Trong mặt phẳng tọa độ Oxy, cho M(3; – 6) và N(5; 2). Tọa độ trung điểm I của MN là
A. (4; – 2);
B. (1; 4);
C. (2; – 8);
D. (2; – 2).
Câu 18. Trong mặt phẳng tọa độ Oxy, cho hai vectơ và . Tập giá trị của m để hai vectơ và cùng phương là
A. {– 1; 1};
B. {– 1; 2};
C. {– 2; – 1};
D. {– 2; 1}.
Câu 19. Cho tam giác ABC có A(1; 2), B(– 1; 1), C(5; – 1). Tính .
A. 7;
B. – 5;
C. 5;
D. – 7.
Câu 20. Trong mặt phẳng tọa độ Oxy, cho đường thẳng d: – x + 2y + 7 = 0. Vectơ pháp tuyến của đường thẳng d là
A. ;
B. ;
C. ;
D. .
Câu 21. Phương trình tham số của đường thẳng ∆ đi qua điểm A(– 4; 2) và nhận làm vectơ chỉ phương là
Câu 22. Phương trình tổng quát của đường thẳng d đi qua điểm A(1; – 3) và nhận làm vectơ pháp tuyến là
A. 2x – 7y + 23 = 0;
B. – 2x + 7y – 23 = 0;
C. 2x – 7y – 23 = 0;
D. – 2x – 7y + 23 = 0.
Câu 23. Trong mặt phẳng tọa độ Oxy, cho hai điểm A(3; – 1) và B(– 6; 2). Phương trình nào sau đây không phải là phương trình tham số của đường thẳng AB?
Câu 24. Khoảng cách từ điểm M(5; – 1) đến đường thẳng d: 3x + 2y + 13 = 0 là
A. ;
B. ;
C. 26;
D. .
Câu 25. Góc giữa hai đường thẳng a: 6x – 5y + 15 = 0 và b: bằng
A. 30°;
B. 90°;
C. 60°;
D. 45°.
Câu 26. Phương trình nào sau đây là phương trình đường tròn?
A. x2 + 2y2 – 4x – 8y + 1 = 0;
B. x2 + y2 – 4x + 6y – 12 = 0;
C. x2 + y2 – 2x – 8y + 20 = 0;
D. 4x2 + y2 – 10x – 6y – 2 = 0.
Câu 27. Đường tròn (x + 3)2 + (y – 4)2 = 16 có tâm là
A. I(3; 4);
B. I(3; – 4);
C. I(– 3; 4);
D. I(– 3; – 4).
Câu 28. Phương trình nào sau đây là phương trình của đường tròn tâm I(1; 2), bán kính bằng 5?
A. x2 + y2 – 2x – 4y – 20 = 0;
B. x2 + y2 + 2x + 4 + 20 = 0;
C. x2 + y2 + 2x + 4y – 20 = 0;
D. x2 + y2 – 2x – 4y + 20 = 0.
Câu 29. Phương trình đường tròn đường kính AB với A(1; 3) và B(5; – 1) là
A. (x + 3)2 + (y – 1)2 = 8;
B. (x + 3)2 + (y + 1)2 = 8;
C. (x – 3)2 + (y + 1)2 = 8;
D. (x – 3)2 + (y – 1)2 = 8.
Câu 30. Trong mặt phẳng tọa độ, cho đường tròn (C): x2 + y2 – 2x – 4y – 4 = 0 và điểm A(1; 5). Tiếp tuyến của đường tròn (C) tại điểm A có phương trình là
A. y – 5 = 0;
B. y + 5 = 0;
C. x + y – 5 = 0;
D. x – y – 5 = 0.
Câu 31. Trong mặt phẳng tọa độ Oxy, elip nào dưới đây có phương trình chính tắc dạng
?
A. ;
B. ;
C. ;
D. .
Câu 32. Trong mặt phẳng tọa độ Oxy, phương trình nào dưới đây là phương trình chính tắc của một hypebol?
A. ;
B. ;
C. ;
D. .
Câu 33. Trong mặt phẳng tọa độ Oxy, phương trình nào sau đây là phương trình chính tắc của parabol ?
A. y2 = 4x;
B. y2 = – 2x;
C. x2 = – 4y;
D. x2 = 2y.
Câu 34. Trong mặt phẳng tọa độ Oxy, cho elip (E): 16x2 + 25y2 = 400. Khẳng định nào sai trong các khẳng định sai?
A. (E) có trục nhỏ bằng 8;
B. (E) có tiêu cự bằng 3;
C. (E) có trục lớn bằng 10;
D. (E) có các tiêu điểm F1(– 3; 0) và F2(3; 0).
Câu 35. Đường hypebol có tiêu cự bằng
A. 1;
B. 2;
C. 3;
D. 6.
II. Tự luận (3 điểm)
Bài 1. (1 điểm) Viết phương trình tổng quát của đường thẳng
a) đi qua M(– 1; – 4) và song song với đường thẳng 3x + 5y – 2 = 0;
b) đi qua N(1; 1) và vuông góc với đường thẳng 2x + 3y + 7 = 0.
Bài 2. (1 điểm) Hình dưới đây mô tả mặt cắt ngang của một chiếc đèn có dạng parabol trong mặt phẳng tọa độ Oxy (x và y tính bằng xen-ti-mét). Hình parabol có chiều rộng giữa hai mép vành là AB = 40 cm và chiều sâu h = 30 cm (h bằng khoảng cách từ O đến AB). Bóng đèn nằm ở tiêu điểm S. Viết phương trình chính tắc của parabol đó.
Bài 3. (1 điểm) Hà dự định làm một khung ảnh hình chữ nhật sao cho phần trong của khung là hình chữ nhật có kích thước 7 cm × 13 cm, độ rộng viền xung quanh là x cm (như hình vẽ). Diện tích của viền khung ảnh không vượt quá 44 cm2. Hỏi độ rộng viền khung ảnh lớn nhất là bao nhiêu xen-ti-mét?
-----HẾT-----
Xem thử Đề Toán 10 GK2 KNTT Xem thử Đề Toán 10 GK2 Cánh diều Xem thử Đề Toán 10 GK2 CTST
Lưu trữ: Đề thi Toán 10 Giữa kì 2 (sách cũ)
Xem thêm đề thi Toán 10 có đáp án hay khác:
50+ Đề thi Giữa kì 1 Toán 10 năm 2026 (cấu trúc mới, có đáp án)
50+ Đề thi Học kì 1 Toán 10 năm 2026 (cấu trúc mới, có đáp án)
50+ Đề thi Toán 10 Học kì 2 năm 2026 (cấu trúc mới, có đáp án)
Xem thêm đề thi lớp 10 các môn học có đáp án hay khác:
Tài liệu giáo án lớp 10 các môn học chuẩn khác:
Để học tốt lớp 10 các môn học sách mới:
- Giải bài tập Lớp 10 Kết nối tri thức
- Giải bài tập Lớp 10 Chân trời sáng tạo
- Giải bài tập Lớp 10 Cánh diều
Đã có app VietJack trên điện thoại, giải bài tập SGK, SBT Soạn văn, Văn mẫu, Thi online, Bài giảng....miễn phí. Tải ngay ứng dụng trên Android và iOS.
Theo dõi chúng tôi miễn phí trên mạng xã hội facebook và youtube:Nếu thấy hay, hãy động viên và chia sẻ nhé! Các bình luận không phù hợp với nội quy bình luận trang web sẽ bị cấm bình luận vĩnh viễn.
- Giáo án lớp 10 (các môn học)
- Giáo án điện tử lớp 10 (các môn học)
- Giáo án Ngữ văn 10
- Giáo án Toán 10
- Giáo án Tiếng Anh 10
- Giáo án Vật Lí 10
- Giáo án Hóa học 10
- Giáo án Sinh học 10
- Giáo án Lịch Sử 10
- Giáo án Địa Lí 10
- Giáo án Kinh tế Pháp luật 10
- Giáo án Tin học 10
- Giáo án Công nghệ 10
- Giáo án Giáo dục quốc phòng 10
- Giáo án Hoạt động trải nghiệm 10
- Đề thi lớp 10 (các môn học)
- Đề thi Ngữ Văn 10 (có đáp án)
- Chuyên đề Tiếng Việt lớp 10
- Đề cương ôn tập Văn 10
- Đề thi Toán 10 (có đáp án)
- Đề thi cương ôn tập Toán 10
- Đề thi Toán 10 cấu trúc mới (có đáp án)
- Đề thi Tiếng Anh 10 (có đáp án)
- Đề thi Vật Lí 10 (có đáp án)
- Đề thi Hóa học 10 (có đáp án)
- Đề thi Sinh học 10 (có đáp án)
- Đề thi Lịch Sử 10 (có đáp án)
- Đề thi Địa Lí 10 (có đáp án)
- Đề thi Kinh tế & Pháp luật 10 (có đáp án)
- Đề thi Tin học 10 (có đáp án)
- Đề thi Công nghệ 10 (có đáp án)
- Đề thi Giáo dục quốc phòng 10 (có đáp án)


Giải bài tập SGK & SBT
Tài liệu giáo viên
Sách
Khóa học
Thi online
Hỏi đáp

