Top 50 Đề thi Toán 10 Học kì 1 năm 2026 (cấu trúc mới, có đáp án)
Để ôn luyện và làm tốt các bài thi Toán 10, dưới đây là Top 50 Đề thi Toán 10 Học kì 1 năm 2026 theo cấu trúc mới sách mới Kết nối tri thức, Cánh diều, Chân trời sáng tạo có đáp án, cực sát đề thi chính thức. Hi vọng bộ đề thi này sẽ giúp bạn ôn tập & đạt điểm cao trong các bài thi Toán 10.
Top 50 Đề thi Toán 10 Học kì 1 năm 2026 (cấu trúc mới, có đáp án)
Xem thử Đề thi CK1 Toán 10 KNTT Xem thử Đề thi CK1 Toán 10 CTST Xem thử Đề thi CK1 Toán 10 CD
Chỉ từ 200k mua trọn bộ Đề thi Toán 10 (mỗi bộ sách) theo cấu trúc mới bản word có lời giải chi tiết:
- B1: gửi phí vào tk:
1133836868- CT TNHH DAU TU VA DV GD VIETJACK - Ngân hàng MB (QR) - B2: Nhắn tin tới Zalo VietJack Official - nhấn vào đây để thông báo và nhận đề thi
Đề thi Toán 10 Cuối Học kì 1 (Giáo viên VietJack)
Đề thi Học kì 1 Toán 10 cấu trúc mới (theo bộ sách)
Đề thi Học kì 1 Toán 10 Chân trời sáng tạo có đáp án (23 đề)
Đề thi Cuối kì 1 Toán 10 năm 2025-2026 (trên cả nước)
Đề thi Học kì 1 Toán 10 trường THPT Nguyễn Công Trứ (Tp.HCM) năm 2025-2026
Đề thi Học kì 1 Toán 10 trường THPT Hướng Hóa (Quảng Trị) năm 2025-2026
Đề thi Học kì 1 Toán 10 trường THPT Duy Tân (Quảng Ngãi) năm 2025-2026
Đề thi Học kì 1 Toán 10 trường THPT Nguyễn Du (Đồng Nai) năm 2025-2026
Đề thi Học kì 1 Toán 10 trường THPT Nguyễn Khuyến A (Đồng Nai) năm 2025-2026
Đề thi Học kì 1 Toán 10 trường THPT Vạn Xuân (Hà Nội) năm 2025-2026
Đề thi Học kì 1 Toán 10 trường chuyên Lê Quý Đôn (Đà Nẵng) năm 2025-2026
Đề thi Học kì 1 Toán 10 trường THPT Phan Châu Trinh (Đà Nẵng) năm 2025-2026
Đề thi Học kì 1 Toán 10 trường THPT Nguyễn Thị Minh Khai (Tp.HCM) năm 2025-2026
Đề thi Học kì 1 Toán 10 trường THPT Nguyễn Văn Chất (Phú Thọ) năm 2025-2026
Đề thi Học kì 1 Toán 10 trường THPT Nguyễn Du (Tp. HCM) năm 2025-2026
Đề thi Học kì 1 Toán 10 trường THPT chuyên Hà Nội – Amsterdam năm 2025-2026
Đề thi Học kì 1 Toán 10 trường THPT Bình Hưng Hòa (Tp. HCM) năm 2025-2026
Đề thi Học kì 1 Toán 10 trường THPT chuyên Thái Nguyên năm 2025-2026
Đề thi Học kì 1 Toán 10 trường THPT Trần Phú (Hà Nội) năm 2025-2026
Đề thi Học kì 1 Toán 10 trường THPT Marie Curie (Tp. HCM) năm 2025-2026
Đề thi Học kì 1 Toán 10 trường THPT Thủ Đức (Tp. HCM) năm 2025-2026
Đề thi Học kì 1 Toán 10 trường THPT Đô Lương 1 (Nghệ An) năm 2025-2026
Đề thi Học kì 1 Toán 10 trường Lương Thế Vinh (Hà Nội) năm 2025-2026
Đề thi Học kì 1 Toán 10 trường TH Thực hành Sài Gòn (Tp. HCM) năm 2025-2026
Đề thi Học kì 1 Toán 10 trường THPT Tây Thạnh (Tp. HCM) năm 2025-2026
Đề thi Học kì 1 Toán 10 trường THPT Bình Thủy (Cần Thơ) năm 2025-2026
Đề thi Học kì 1 Toán 10 trường THPT Nhữ Văn Lan (Hải Phòng) năm 2025-2026
Đề thi Học kì 1 Toán 10 trường THPT Phùng Khắc Khoan (Hà Nội) năm 2025-2026
Đề thi Học kì 1 Toán 10 trường chuyên Lương Văn Chánh (Đắk Lắk) năm 2025-2026
Đề thi Học kì 1 Toán 10 trường THPT Bến Tre (Phú Thọ) năm 2025-2026
Đề thi Học kì 1 Toán 10 trường THPT Trần Phú (Tp. HCM) năm 2025-2026
Đề thi Học kì 1 Toán 10 trường THPT Nguyễn An Ninh (Tp. HCM) năm 2025-2026
Đề thi Học kì 1 Toán 10 trường THPT Việt Đức (Hà Nội) năm 2025-2026
Đề thi Toán 10 Học kì 1 theo Tỉnh/ Thành phố:
Xem thử Đề thi CK1 Toán 10 KNTT Xem thử Đề thi CK1 Toán 10 CTST Xem thử Đề thi CK1 Toán 10 CD
Sở Giáo dục và Đào tạo ...
Đề thi Học kì 1 - Kết nối tri thức
năm 2025
Môn: Toán 10
Thời gian làm bài: 90 phút
(không kể thời gian phát đề)
I. Trắc nghiệm (7 điểm)
Câu 1. Trong các câu dưới đây, câu nào là mệnh đề?
A. Có ai ở trong đó không?;
B. Bạn có thấy đói không?;
C. Đừng lại gần tôi!;
D. Số 25 không phải là số nguyên tố.
Câu 2. Cho tập hợp A = {2; 4; 6; 8}. Số tập con của tập hợp A là?
A. 15;
B. 16;
C. 17;
D. 18.
Câu 3. Cho tập hợp K = [1 ; 7) \ (– 3 ; 5). Khẳng định nào sau đây đúng ?
A. K = [1; 7);
B. K = (– 3; 7);
C. K = [1; 5);
D. K = [5; 7).
Câu 4. Miền nghiệm của bất phương trình x – y + 5 ≥ 0 được biểu diễn là miền màu xanh trong hình ảnh nào sau đây ?
A.
B.
C.
D.
Câu 5. Cặp số nào sau đây là nghiệm của hệ bất phương trình bậc nhất hai ẩn ?
A. (3; 5);
B. (1; –1);
C. (2; 5);
D. (3; 4).
Câu 6. Chọn phương án SAI trong các phương án dưới đây?
A. sin 0° = 0;
B. cos 90° = 0;
C. cos 0° = 1;
D. sin 90° = 0.
Câu 7. Cho β là góc tù. Tìm khẳng định đúng trong các khẳng định dưới đây?
A. cos β > 0;
B. sin β > 0;
C. tan β > 0;
D. cot β > 0.
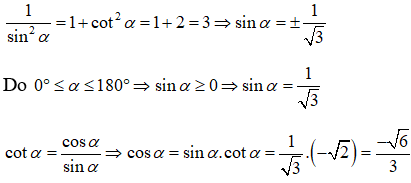
Câu 8. Cho góc α thỏa mãn và 90° < α < 180°. Tính cosα.
Câu 9. Cho tam giác ABC biết và . Tính AC.
Câu 10. Cho hình bình hành ABCD có K là giao điểm hai đường chéo như hình vẽ.
Khẳng định nào sau đây là đúng ?
Câu 11. Cho hình bình hành ABCD có AB = 4 cm. Tính độ dài vectơ .
A. 1 cm;
B. 3 cm;
C. 4 cm;
D. 2 cm
Câu 12. Cho các điểm A, B, C phân biệt. Đẳng thức nào sau đây đúng ?
Câu 13. Cho hình bình hành ABCD với giao điểm hai đường chéo là I. Khi đó:
Câu 14. Cho hình vuông ABCD cạnh 2a. Tính .
A. ;
B. a;
C. ;
D. 2a.
Câu 15. Cho tứ giác ABCD. Gọi E, F lần lượt là trung điểm của AB, CD, O là trung điểm của EF. Khẳng định nào sau đây là đúng ?
Câu 16. Cho tam giác ABC. Đặt , . M thuộc cạnh AB sao cho AB = 3AM, N thuộc tia BC và CN = 2BC. Phân tích qua các vectơ và ta được biểu thức là:
Câu 17. Cho các vectơ và không cùng phương và , và . Khẳng định nào sau đây là đúng ?
Câu 18. Cho tam giác ABC có điểm I nằm trên cạnh AC sao cho , J là điểm thỏa mãn . Ba điểm nào sau đây thẳng hàng ?
A. I, J, C;
B. I, J, B;
C. I, A, B;
D. I, G, B.
Câu 19. Cho tam giác ABC vuông tại A có: AB = 4, BC = 8. Tính .
A. 90°;
B. 60°;
C. 30°;
D. 45°.
Câu 20. Cho hai vectơ và đều khác . Biết: , và . Tính độ dài của vectơ .
A. 1;
B. 2;
C. ;
D. .
Câu 21. Cho tam giác ABC đều cạnh a. Tính .
A. a;
B. 0;
C. a2;
D. .
Câu 22. Cho hình thang ABCD với hai đáy là AB, CD có: . Khẳng định nào sau đây là đúng ?
A. BD vuông góc với AC;
B. AB vuông góc với AC;
C. AB vuông góc với DC;
D. BD vuông góc với DC.
Câu 23. Cho giá trị gần đúng của là 0,35. Sai số tuyệt đối của số gần đúng 0,35 là:
A. 0,003;
B. 0,03;
C. 0,0029;
D. 0,02.
Câu 24. Hãy viết số quy tròn của số gần đúng a = 15,318 biết = 15,318 ± 0,05.
A. 15,3;
B. 15,31;
C. 15,32;
D. 15,4.
Câu 25. Số lượng khách từ ngày thứ nhất đến ngày thứ 10 của một nhà hàng mới mở được thống kê ở bảng sau:
|
Ngày |
1 |
2 |
3 |
4 |
5 |
6 |
7 |
8 |
9 |
10 |
|
Số khách |
11 |
9 |
7 |
5 |
15 |
20 |
9 |
6 |
17 |
13 |
Tính số khách trung bình từ bảng số liệu trên.
A. 9,2;
B. 10,2;
C. 11,2;
D. 12,2.
Câu 26. Tìm trung vị của mẫu số liệu sau:
1; 0; 5; 10; 2; 3; 9.
A. 3;
B. 5;
C. 0;
D. 2.
Câu 27. Cho mẫu số liệu sau:
1; 9; 12; 10; 2; 9; 15; 11; 20; 17.
Tứ phân vị Q1, Q2, Q3 của mẫu số liệu trên lần lượt là:
A. 9; 11; 15;
B. 2; 10,5; 15;
C. 10; 12,5; 15;
D. 9; 10,5; 15.
Câu 28. Cho mẫu số liệu sau:
2; 5; 9; 12; 15; 5; 20.
Tìm mốt của mẫu số liệu trên.
A. 5;
B. 9;
C. 12;
D. 20.
Câu 29. Cho mẫu số liệu sau:
15; 26; 5; 2; 9; 5; 28; 30; 2; 26.
Tính khoảng biến thiên của mẫu số liệu trên.
A.26;
B. 28;
C. 30;
D. 32.
Câu 30. Cho mẫu số liệu sau:
2; 9; 12; 16; 3; 5; 12; 33; 24; 27.
Tính khoảng tứ phân vị của mẫu số liệu trên.
A. 17;
B. 18;
C. 19;
D. 20.
Câu 31. Cho mẫu số liệu sau:
12; 2; 6; 13; 9; 21.
Tìm phương sai của mẫu số liệu trên (làm tròn đến hàng phần trăm).
A. 35,85;
B. 34,85;
C. 34,58;
D. 35,58.
Câu 32. Cho mẫu số liệu sau:
24; 16; 12; 5; 9; 3.
Tìm độ lệch chuẩn của mẫu số liệu trên (làm tròn đến hàng phần trăm).
A. 7,04;
B. 8,04;
C. 7,55;
D. 8,55.
Câu 33. Trong mặt phẳng tọa độ Oxy, cho điểm A(1; 2) và B(3; – 1). Độ dài vectơ là:
A. 5;
B. 3;
C. ;
D. .
Câu 34. Trong mặt phẳng tọa độ, cho . Khi đó tọa độ của vectơ là
Câu 35. Góc giữa vectơ và vectơ có số đo bằng:
A. 90°;
B. 0°;
C. 135°;
D. 45°.
II. Tự luận (3 điểm)
Bài 1. Để làm đường điện dây cao thế ở Hà Giang từ vị trí bản A đến bản B, người ta phải tránh một ngọn núi nên người ta phải nối thẳng đường dây từ bản A đến bản C dài 12 km rồi nối từ bản C đến bản B dài 8 km. Qua đo đạc người ta xác định được . Hỏi so với việc nối thẳng từ bản A đến bản B, người ta tốn thêm bao nhiêu tiền, biết mỗi km dây có giá 150 000 đồng.
Bài 2. Cho tam giác ABC vuông tại A có AB = a, AC = 2a. Gọi M là trung điểm của BC, điểm D thuộc AC sao cho . Chứng minh rằng BD vuông góc với AM.
Bài 3. Cho mẫu số liệu sau đây:
2; 5; 1; 2; 8; 5; 45; 3.
Tìm giá trị ngoại lệ của mẫu số liệu trên?
Sở Giáo dục và Đào tạo ...
Đề thi Học kì 1 - Cánh diều
năm 2025
Môn: Toán 10
Thời gian làm bài: phút
(không kể thời gian phát đề)
A. TRẮC NGHIỆM (5,0 điểm)
Câu 1. Trục đối xứng của parabol y = x2 + 3x – 1 là đường thẳng:
A. ;
B. ;
C. ;
D. .
Câu 2. Cho α là góc nhọn. Khẳng định nào sau đây đúng?
A. ;
B. ;
C. ;
D. .
Câu 3. Cho hình bình hành ABCD. Khẳng định nào sau đây đúng?
Câu 4. Cho tam giác ABC vuông tại A, AB = 2, . Độ dài của vectơ gần với giá trị nào nhất sau đây:
A. 2,1;
B. 6,5;
C. 2,5;
D. 6,0.
Câu 5. Mệnh đề phủ định của mệnh đề “∃x ∈ ℝ, x3 – 2x + 1 < 0” là:
A. ∀x ∈ ℝ, x3 – 2x + 1 ≥ 0;
B. ∀x ∈ ℝ, x3 – 2x + 1 < 0”;
C. ∃x ∈ ℝ, x3 – 2x + 1 ≥ 0”;
D. ∀x ∈ ℝ, x3 – 2x + 1 > 0”.
Câu 6. Cho hai vectơ đều khác vectơ > Tích vô hướng của và được xác định bởi công thức
Câu 7. Cho hình bình hành ABCD, có M là trung điểm của BC, G là trọng tâm của tam giác ABC (tham khảo hình vẽ bên). Khi đó . Vậy k bằng:
A. ;
B. ;
C. ;
D. k = 3.
Câu 8. Cho hai tập hợp A = {– 3; – 1; 1; 2; 4; 5} và B = {– 2; – 1; 0; 2; 3; 5}. Tập hợp A\B:
A. A \ B = {– 3; 1; 4};
B. A \ B = { – 2; 0; 3};
C. A \ B = {– 1; 2; 5};
D.
Câu 9. Tập hợp A = {x ∈ ℝ| – 2 ≤ x < 0} viết lại dưới dạng khác là:
A. A = (– 2; 0];
B. A = [– 2; 0];
C. A = [– 2; 0);
D. A = {– 2; – 1}.
Câu 10. Khẳng định nào sau đây đúng?
A. Đồ thị của một hàm số chẵn nhận trục hoành làm trục đối xứng.
B. Đồ thị của một hàm số chẵn nhận trục tung làm trục đối xứng.
C. Đồ thị của một hàm số chẵn nhận gốc tọa độ làm tâm đối xứng.
D. Đồ thị của một số chẵn đi qua gốc tọa độ.
Câu 11. Hai điểm A, B nằm trên đồ thị hàm số y = |x| và đối xứng với nhau qua trục tung. Biết >, diện tích S của tam giác OAB là (biết O là gốc tọa độ, tham khảo đồ thị hàm số y = |x| ở hình vẽ bên).
A. ;
B. ;
C. ;
D. .
Câu 12. Cho Tọa độ của vectơ là:
A. (1; – 1);
B. (– 2; 1);
C. (4; – 2);
D. (– 3; 5).
Câu 13. Cho hình vuông ABCD. Có bao nhiêu vectơ cùng phương với vectơ :
A. 1;
B. 2;
C. 3;
D. 0.
Câu 14. Giá trị nào dưới đây là nghiệm của phương trình ?
A. x = 0;
B. x = – 1;
C. x = 0 và x = – 1;
D. Không tồn tại x là nghiệm của phương trình.
Câu 15. Cho tam giác ABC vuông tại A, AB = 2, AC = 5, .Tính :
A. 7,4;
B. – 7,4;
C. 4,4;
D. – 4,4.
Câu 16. Cho parabol (P):
Hình vẽ trên là đồ thị của hàm số bậc hai nào dưới đây:
A. y = 3x2 – 6x – 1;
B. y = x2 – 2x – 1;
C. y = – x2 + 2x + 1;
D. y = – 3x2 + 6x – 1.
Câu 17. Hàm số nào sau đây là hàm số lẻ?
A. f(x) = x3 + 1;
B. f(x) = 2x4 + 3;
C. f(x) = |x|;
D. f(x) = x3.
Câu 18. Trong các phát biểu sau, phát biểu nào đúng?
A. Tập nghiệm phương trình là tập nghiệm của phương trình f(x) = g(x);
B. Tập nghiệm phương trình là tập nghiệm của phương trình [f(x)]2 = [g(x)]2;
C. Mọi nghiệm của phương trình f(x) = g(x) đều là nghiệm của phương trình ;
D. Tập nghiệm của phương trình là tập hợp các nghiệm của phương trình f(x) = g(x) thỏa mãn bất phương trình f(x) ≥ 0 (hoặc g(x) ≥ 0).
Câu 19. Cho tứ giác ABCD. Xác định điểm M thỏa mãn:
A. M là điểm thỏa mãn MA = MG;
B. M là trung điểm của AG;
C. M thuộc đoạn AG thỏa mãn MA = 3 MG;
D. M thuộc trung trực của đoạn thẳng AG.
Câu 20. Cho tứ giác ABC có AB = 5, AC = 4, . Khi đó độ dài BC khoảng:
A. 42,4;
B. 6,5;
C. 3;
D. 3,2.
Câu 21. Gọi S là tập nghiệm của bất phương trình – x2 + 2x – 4 ≤ 0. Khi đó S bằng:
A. ℝ;
B. ℝ\{2; 4};
C. ∅;
D. {2; 4}.
Câu 22. Cho hệ bất phương trình . Điểm nào thuộc miền nghiệm của hệ bất phương trình đã cho?
A. M(– 5; 1);
B. N(4; 1);
C. P(0; 1);
D. Q(1; 2).
Câu 23. Với giá trị nào của tham số m thì tam thức f(x) = – x2 – 3x + m – 5 không dương với mọi x:
A. m = 2;
B. m = 4;
C. m = 3;
D. m = 6.
Câu 24. Dựa vào đồ thị hàm số bậc hai y = f(x) (như hình vẽ) hãy tìm tập nghiệm của bất phương trình f(x) > 0:
A. [1; 3];
B. (1; 3];
C. (1; 3);
D. {1; 2; 3}.
Câu 25. Nếu hai điểm M và N thỏa mãn: thì độ dài đoạn MN bằng:
A. 8;
B. 4;
C. 2;
D. 64.
B. TỰ LUẬN (3,0 điểm)
Bài 1. (1,0 điểm)
a) Lập bảng biến thiên và vẽ đồ thị của hàm số y = x2 – 5x.
b) Tìm các giá trị của tham số m để phương trình có một nghiệm duy nhất.
Bài 2. (1,0 điểm)
a) Trong mặt phẳng tọa độ Oxy cho hai vectơ và có , và . Tính
b) Cho tam giác ABC , M là trung điểm của cạnh BC điểm N nằm trên cạnh AC sao cho NA = 2NC , D là trung điểm của AN. Chứng minh và
Bài 3. (1,0 điểm) Bác Nam muốn uốn tấm tôn phẳng có dạng hình chữ nhật với bề ngang 40 cm thành một rãnh dẫn nước bằng cách chia tấm tôn đó thành ba phần rồi gấp hai bên lại theo một góc vuông sao cho độ cao hai thành rãnh bằng nhau. Để đảm bảo kĩ thuật, diện tích mặt cắt ngang của rãnh dẫn nước phải lớn hơn hoặc bằng 160 cm2. Bác Nam cần làm rãnh nước có độ cao ít nhất là bao nhiêu xăng – ti – mét để đảm bảo kĩ thuật?
Sở Giáo dục và Đào tạo ...
Đề thi Học kì 1 - Chân trời sáng tạo
năm 2025
Môn: Toán 10
Thời gian làm bài: phút
(không kể thời gian phát đề)
I. PHẦN TRẮC NGHIỆM (7 ĐIỂM)
Câu 1. Câu nào sau đây không là mệnh đề?
A. Bạn học giỏi quá!;
B. Tam giác đều là tam giác có ba cạnh bằng nhau;
C. 3 < 1;
D. 4 – 5 = 1.
Câu 2. Tập xác định D của hàm số là
A. D = [– 2; 2] \ {0};
B. D = [– 2; 2];
C. D = (– 2; 2);
D. D = ℝ.
Câu 3. Cho A = (– 1; 5] và B = (2; 7). Tập hợp A ∩ B bằng:
A. (2; 5];
B. [2; 5];
C. (2; 5);
D. [2; 5).
Câu 4. Cho tập hợp , . Tất cả giá trị của m để là
A. m ≤ 2;
B. m ≥ – 1;
C. m > 2;
D. m > – 2.
Câu 5. Miền nghiệm của hệ bất phương trình là
A. Miền tam giác;
B. Một nửa mặt phẳng;
C. Miền ngũ giác;
D. Miền tứ giác.
Câu 6. Giá trị cos113° + cos45° + cos67° bằng
A. ;
B. 1;
C. ;
D. 0.
Câu 7. Cho tam giác ABC có AC = 2, BC = 5 và . Số đo của góc A là:
A. 50°35’;
B. 51°34’;
C. 77°25’;
D. 7°6’.
Câu 8. Trong tam giác ABC, khẳng định nào sau đây đúng?
Câu 9. Cho hai vectơ và thỏa mãn và . Góc giữa hai vectơ và bằng
A. 30°;
B. 90° ;
C. 60° ;
D. 45°.
Câu 10. Cho hình vuông ABCD tâm O cạnh a. Tính ta được :
Câu 11. Cho = 12,096384. Số gần đúng của với độ chính xác d = 0,0004 là:
A. 12,096;
B. 12,09638;
C. 12,0964;
D. 12,10.
Câu 12. Cho hình vuông ABCD. Vectơ bằng vectơ nào sau đây?
Câu 13. Cho hình thang ABCD . Mệnh đề nào dưới đây đúng?
A. Hai vectơ cùng phương;
B. Hai vectơ cùng hướng;
C. Hai vectơ cùng phương;
D. Hai vectơ ngược hướng.
Câu 14. Trong các hàm số sau, đồ thị của hàm số nhận đường thẳng x = 1 làm trục đối xứng là
A. y = – 2x2 + 4x + 1;
B. y = 2x2 + 4x + 3;
C. y = 2x2 – 2x + 1;
D. y = x2 – x + 5.
Câu 15. Cho hình bình hành ABCD . Đẳng thức vectơ nào sau đây đúng:
Câu 16. Cho tam giác ABC vuông tại A, , M là trung điểm của BC và có . Tính cạnh AB, AC:
A. AB = a, AC = ;
B. AB = , AC = ;
C. AB = a, AC = a;
D. AB = , AC = a.
Câu 17. Cho số gần đúng là a = 1,2357 với độ chính xác là d = 0,01. Số quy tròn của số a là:
A. 1,24;
B. 1,2;
C. 1,236;
D. 1.
Câu 18. Hàm số nào dưới đây là hàm nghịch biến với mọi x ∈ ℝ?
A. y = 2x + 1;
B. y = – |x|;
C. y = x2 + 2x;
D. y = x – 1.
Câu 19. Cho các hàm số: f(x) = , g(x) = và h(x) = x2 – x. Trong các hàm số đã cho, số hàm chẵn là:
A. 0;
B. 1;
C. 2;
D. 3.
Câu 20. Cho hàm số y = (m – 2021)x + m – 2. Điều kiện để hàm số đồng biến trên ℝ là
A. m < 2021;
B. m > 2021;
C. 2 < m < 2021;
D. m ≥ 2021.
Câu 21. Cho bảng biến thiên sau:
Đồ thị hàm số bậc hai tương ứng với bảng biến thiên trên là :
A. y = x2 + 2x – 1;
B. y = x2 – 2x + 2;
C. y = 2x2 – 4x + 4;
D. y = – 3x2 + 6x – 1.
Câu 22. Cho hình chữ nhật ABCD tâm O. Gọi E, F lần lượt là trung điểm của OA và CD. Biết . Tính giá trị biểu thức a + b:
A. ;
B. ;
C. ;
D. 1.
Câu 23. Giá trị ngoại lệ trong mẫu là
A. giá trị ở chính giữa trong dãy không giảm của mẫu số liệu;
B. giá trị xuất hiện nhiều nhất trong các giá trị của mẫu số liệu;
C. giá trị quá nhỏ hay quá lớn với đa số các giá trị của mẫu số liệu;
D. giá trị trung bình cộng của các giá trị của mẫu số liệu.
Câu 24. Số liệu xuất hiện nhiều nhất trong mẫu số liệu được gọi là:
A. Số trung bình cộng;
B. Trung vị;
C. Tứ phân vị;
D. Mốt.
Câu 25. Hàm số bậc hai có bảng biến thiên như hình vẽ có tọa độ điểm đỉnh là
A. I(– 3; 3);
B. I(0; – 3);
C. I(– 3; 0);
D. I(0; 0).
Câu 26. Cho điểm I là trung điểm của đoạn thẳng AB. Hỏi đẳng thức nào sau đây đúng?
Câu 27. Tìm m để hàm số y = (2m – 3)x + m + 1 đồng biến trên .
Câu 28. Cho hình thoi ABCD có cạnh bằng a và . Độ dài bằng
Câu 29. Cho hình vuông ABCD tâm O. Hỏi mệnh đề nào sau đây sai?
Câu 30. Cho hàm số y = f(x) có bảng biến thiên như sau. Hàm số đã cho đồng biến trên khoảng:
Câu 31. Chu vi của hình chữ nhật có chiều rộng là x = 3,456 ± 0,01 và chiều dài là y = 12,732 ± 0,015 và ước lượng sai số tuyệt đối mắc phải là
A. C = 32,376 ± 0,025; ∆C ≤ 0,05;
B. C = 32,376 ± 0,05; ∆C ≤ 0,025;
C. C = 32,376 ± 0,5; ∆C ≤ 0,5;
D. C = 32,376 ± 0,05; ∆C ≤ 0,05.
Câu 32. Một người đi dọc bờ biển từ vị trí A đến vị trí B và quan sát một ngọn hải đăng ở vị trí C. Góc nghiêng của phương quan sát từ các vị trí A, B tới ngọn hải đăng với đường đi của người quan sát là 25° và 42°. Biết khoảng cách giữa hai vị trí A và B là 80 m. Ngọn hải đăng cách bờ biển bao nhiêu mét (làm tròn kết quả đến hàng đơn vị)?
A. 116 m;
B. 78 m;
C. 104 m;
D. 86 m.
Câu 33. Kết quả điều tra số con của 30 hộ gia đình thuộc một thôn được ghi lại trong bảng sau:
Số trung vị của dãy số liệu trên là
A. 3;
B. 2,5;
C. 2;
D. 4.
Câu 34. Biểu đồ dưới đây thể hiện diện tích lúa cả năm của hai tỉnh An Giang và Kiên Giang từ năm 2010 đến năm 2019 (đơn vị: nghìn hecta):
Trong khoảng từ năm 2010 đến 2013 năm mà diện tích lúa tỉnh Kiên Giang gần gấp 1,2 lần diện tích lúa của tỉnh An Giang nhất là
A. 2010;
B. 2011;
C. 2012;
D. 2013.
Câu 35. Cho tam giác ABC có các góc . Tỉ số bằng
II. PHẦN TỰ LUẬN (3 điểm)
Bài 1 (1,0 điểm). Một doanh nghiệp tư nhân A chuyên kinh doanh xe gắn máy các loại. Hiện nay doanh nghiệp đang tập trung chiến lược vào kinh doanh xe hon đa Future Fi với chi phí mua một chiếc là 27 triệu đồng và bán ra với giá là 31 triệu đồng. Với giá bán này thì số lượng xe mà khách hàng sẽ mua trong một năm là 600 chiếc. Nhằm mục tiêu đẩy mạnh hơn nữa lượng tiêu thụ dòng xe đang ăn khách này, doanh nghiệp dự định giảm giá bán và ước tính rằng nếu giảm 1 triệu đồng mỗi chiếc xe thì số lượng xe bán ra trong một năm sẽ tăng thêm 200 chiếc. Vậy doanh nghiệp phải bán với giá bao nhiêu sau khi giảm giá để lợi nhuận thu được là cao nhất.
Bài 2 (1,0 điểm). Cho tam giác ABC có G là trọng tâm. Gọi D và E lần lượt là các điểm thỏa mãn đẳng thức .
a) Phân tích vectơ theo hai vectơ và .
b) Tìm x để ba điểm D, G, E thẳng hàng. Với giá trị tìm được của x, hãy tính tỉ số .
Bài 3 (1,0 điểm). Người ta tiến hành phỏng vấn một số người về chất lượng của một sản phẩm mới, người điều tra yêu cầu cho điểm sản phẩm (thang điểm 100) kết quả như sau:
|
80 |
65 |
51 |
58 |
77 |
12 |
75 |
58 |
|
73 |
79 |
42 |
62 |
84 |
56 |
51 |
82 |
a) Tìm phương sai và độ lệch chuẩn. Nhận xét về các kết quả nhận được.
b) Tìm giá trị bất thường.
Xem thử Đề thi CK1 Toán 10 KNTT Xem thử Đề thi CK1 Toán 10 CTST Xem thử Đề thi CK1 Toán 10 CD
Lưu trữ: Đề thi Toán 10 Học kì 1 (sách cũ)
Xem thêm đề thi Toán 10 có đáp án hay khác:
Top 50 Đề thi Giữa kì 1 Toán 10 năm 2026 (cấu trúc mới, có đáp án)
Top 50 Đề thi Toán 10 Giữa kì 2 năm 2026 (cấu trúc mới, có đáp án)
Top 50 Đề thi Toán 10 Học kì 2 năm 2026 (cấu trúc mới, có đáp án)
Xem thêm đề thi lớp 10 các môn học có đáp án hay khác:
Tài liệu giáo án lớp 10 các môn học chuẩn khác:
Để học tốt lớp 10 các môn học sách mới:
- Giải bài tập Lớp 10 Kết nối tri thức
- Giải bài tập Lớp 10 Chân trời sáng tạo
- Giải bài tập Lớp 10 Cánh diều
Tủ sách VIETJACK shopee lớp 10-11 (cả 3 bộ sách):
Đã có app VietJack trên điện thoại, giải bài tập SGK, SBT Soạn văn, Văn mẫu, Thi online, Bài giảng....miễn phí. Tải ngay ứng dụng trên Android và iOS.
Theo dõi chúng tôi miễn phí trên mạng xã hội facebook và youtube:Nếu thấy hay, hãy động viên và chia sẻ nhé! Các bình luận không phù hợp với nội quy bình luận trang web sẽ bị cấm bình luận vĩnh viễn.
- Giáo án lớp 10 (các môn học)
- Giáo án điện tử lớp 10 (các môn học)
- Giáo án Ngữ văn 10
- Giáo án Toán 10
- Giáo án Tiếng Anh 10
- Giáo án Vật Lí 10
- Giáo án Hóa học 10
- Giáo án Sinh học 10
- Giáo án Lịch Sử 10
- Giáo án Địa Lí 10
- Giáo án Kinh tế Pháp luật 10
- Giáo án Tin học 10
- Giáo án Công nghệ 10
- Giáo án Giáo dục quốc phòng 10
- Giáo án Hoạt động trải nghiệm 10
- Đề thi lớp 10 (các môn học)
- Đề thi Ngữ Văn 10 (có đáp án)
- Chuyên đề Tiếng Việt lớp 10
- Đề cương ôn tập Văn 10
- Đề thi Toán 10 (có đáp án)
- Đề thi cương ôn tập Toán 10
- Đề thi Toán 10 cấu trúc mới (có đáp án)
- Đề thi Tiếng Anh 10 (có đáp án)
- Đề thi Vật Lí 10 (có đáp án)
- Đề thi Hóa học 10 (có đáp án)
- Đề thi Sinh học 10 (có đáp án)
- Đề thi Lịch Sử 10 (có đáp án)
- Đề thi Địa Lí 10 (có đáp án)
- Đề thi Kinh tế & Pháp luật 10 (có đáp án)
- Đề thi Tin học 10 (có đáp án)
- Đề thi Công nghệ 10 (có đáp án)
- Đề thi Giáo dục quốc phòng 10 (có đáp án)


Giải bài tập SGK & SBT
Tài liệu giáo viên
Sách
Khóa học
Thi online
Hỏi đáp

