Đề thi Giữa kì 2 Toán lớp 10 năm 2026 có đáp án (40 đề)
Đề thi Giữa kì 2 Toán lớp 10 năm 2026 có đáp án (10 đề)
Phần dưới là danh sách Đề thi Giữa kì 2 Toán lớp 10 năm 2026 có đáp án (40 đề). Hi vọng bộ đề thi này sẽ giúp bạn ôn luyện & đạt điểm cao trong các bài thi Toán lớp 10.
Sở Giáo dục và Đào tạo .....
Đề thi Giữa học kì 2
Môn: Toán 10
Thời gian làm bài: 90 phút
(Đề 1)
I. Trắc nghiệm (2 điểm)
Hãy chọn phương án trả lời đúng cho mỗi câu sau:
Câu 1: Cho 2 đường thẳng
lần lượt có phương trình là x + 2y - 1 = 0 và 3x + y + 6 = 0. Góc giữa 2 đường thẳng
là:

Câu 2: Điều kiện xác định của hàm số
là

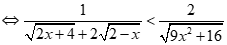
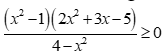
Câu 3: Tập nghiệm của bất phương trình
là

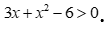
Câu 4: Giá trị của m để bất phương trình
luôn đúng với mọi
là

II. Tự luận (8 điểm)
Câu 5: (4 điểm)
Giải các bất phương trình sau:

Câu 6: (1 điểm)
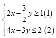
Tìm tất cả các giá trị của tham số m để bất phương trình
với
.
Câu 7: (2 điểm)
Cho 2 điểm A(-1;1), B(3;7) và đường thẳng d có phương trình: 
1) Xác định tọa độ điểm C thuộc đường thẳng d sao cho tam giác ABC vuông tại A.
2) Xác định tọa độ điểm D thuộc đường thẳng d sao cho diện tích tam giác ABD bằng 50.
Câu 8: (1điểm)
Cho
. Chứng minh rằng
.
Đáp án và thang điểm
I. Phần trắc nghiệm khách quan: (2 điểm - Mỗi câu 0,5 điểm)
Câu 1: Chọn B
Ta có: 
Suy ra góc giữa hai đường thẳng
.
Câu 2: Chọn A

Câu 3: Chọn C

Kết hợp điều kiện, Vậy tập nghiệm của BPT đã cho là
.
Câu 4: Chọn C
Bất phương trình
luôn đúng với mọi
khi và chỉ khi

Vậy
thì thỏa mãn yêu cầu bài toán.
II. Phần tự luận
Câu 5.
1) Giải bất phươmg trình 


Kết hợp với điều kiện (**) thì (1) vô nghiệm (0,75 điểm)
Vậy nghiệm của bất phương trình đã cho là
. (0,5 điểm)
2) Giải bất phương trình 
Ta có: 

Vậy tập nghiệm của bất phương trình đã cho là
. (0,5 điểm)
Câu 6.
Bất phương trình đã cho
với mọi x >1
Gọi
và g(x) = m thì g(x) có đồ thị là đường thẳng
còn
có bảng biến thiên

(0,5 điểm)
Dựa vào bảng biến thiên nhận thấy (*) đúng khi
(0,25 điểm)
Vậy với
thì BPT đã cho có nghiệm. (0,25 điểm)
Câu 7.
1) Cho 2 điểm A(-1;1), B(3;7) và đường thẳng d có phương trình:
. Xác định tọa độ điểm C thuộc đường thẳng d sao cho tam giác ABC vuông tại A.
*Do
vuông tại A(-1; 1) nên điểm C thuộc đường thẳng đi qua A và nhận
làm véc tơ pháp tuyến và có phương trình 
(0,5 điểm)
*Mặt khác: Do điểm nên toạ độ của C là nghiệm của hệ phương trình

Vậy C(5;-3). (0,25 điểm)
2) Cho 2 điểm A(-1; 1), B(3; 7) và đường thẳng d có phương trình:
. Xác định tọa độ điểm D thuộc đường thẳng d sao cho diện tích tam giác ABD bằng 50.
Do 
Trong đó 
Đường thẳng AB có véc tơ chỉ phương
và đi qua A(-1;1)
phương trình của đường thẳng AB là
(0,25 điểm)
;

Câu 8. Cho
. Chứng minh rằng
.
Giải:



Sở Giáo dục và Đào tạo .....
Đề thi Giữa học kì 2
Môn: Toán 10
Thời gian làm bài: 90 phút
(Đề 2)
I. Trắc nghiệm (2 điểm)
Câu 1: Hai đường thẳng
lần lượt có phương trình là
và
. Góc giữa hai đường thẳng
là:
A. 30o B. 60o
C. 120o D. 150o
Câu 2: Điều kiện xác định của hàm số
là

Câu 3: Tập nghiệm của bất phương trình
là

Câu 4: Giá trị của m để bất phương trình
luôn đúng với mọi
là

II. Tự luận (8 điểm)
Câu 5: (4 điểm)
Giải các bất phương trình sau:

Câu 6: (1 điểm)
Tìm tất cả các giá trị của tham số a để bất phương trình
với 
Câu 7: (2 điểm)
Cho 2 điểm M(1;1), N(-2;3) và đường thẳng
có phương trình: 
1) Xác định tọa độ điểm I thuộc đường thẳng
sao cho tam giác MNI vuông tại M.
2) Xác định tọa độ điểm K thuộc đường thẳng
sao cho diện tích tam giác MNK bằng
đvdt.
Câu 8: (1điểm) Cho
.Chứng minh rằng
.
Đáp án và thang điểm
I. Phần trắc nghiệm khách quan: (2 điểm - Mỗi câu 0,5 điểm)
Câu 1: Chọn A.
+) Đường thẳng ∆: √3x - y + 1 - √3 = 0. Khi đó VTPT của Δ là: n∆→(√3;-1).
+) Đường thẳng ∆': x - √3y - 1 + √3 = 0. Khi đó VTPT của Δ' là: n∆'→(1;-√3).
Ta có: 
Suy ra góc giữa đường thẳng Δ và đường thẳng Δ’ là: 30o.
Câu 2: Chọn C
Hàm số
có nghĩa khi và chỉ khi

Câu 3: Chọn B

Kết hợp điều kiện, Vậy tập nghiệm của BPT đã cho là
.
Câu 4: Chọn A
Bất phương trình
luôn đúng với mọi 

Vậy
thì thỏa mãn yêu cầu bài toán.
II. Phần tự luận
Câu 5.
1) Giải bất phương trình

Kết hợp với điều kiện (*) ta có nghiệm của (1) là
(0,75 điểm)

Kết hợp với điều kiện (**) thì (1) có nghiệm là
(0,75 điểm)
Vậy nghiệm của bất phương trình đã cho là
. (0,5 điểm)
2) Giải bất phương trình 

Vậy tập nghiệm của bất phương trình đã cho là
. (0,5 điểm)
Câu 6.
Bất phương trình đã cho
với mọi 
Gọi
và g(x) = a thì f(x) có bảng biến thiên

(0,5 điểm)
Dựa vào bảng biến thiên nhận thấy (*) nghiệm đúng khi
(0,25 điểm)
Vậy với a > 8 thì BPT đã cho có nghiệm. (0,25 điểm)
Câu 7.
1)
vuông tại M(1; 1) nên điểm I thuộc đường thẳng đi qua M và nhận
làm véc tơ pháp tuyến và có phương trình
(0,5 điểm)
* Mặt khác: Do điểm
nên toạ độ của I là nghiệm của hệ phương trình

2) Do
: Trong đó 
Đường thẳng MNcó véc tơ chỉ phương
và đi qua
phương trình của đường thẳng MN là
(0,25 điểm)

Vậy có 2 điểm K thỏa mãn bài ra là K(-1;12) và
. (0,25 điểm)
Câu 8.

Sở Giáo dục và Đào tạo .....
Đề thi Giữa học kì 2
Môn: Toán 10
Thời gian làm bài: 90 phút
(Đề 3)
I. Trắc nghiệm (7 điểm)
Câu 1: Tam thức bậc hai
. Với giá trị nào của m thì f(x) có hai nghiệm phân biệt?
A.
.
B.
.
C. 
.D.
.
Câu 2: Tìm tất cả các giá trị thỏa mãn điều kiện của bất phương trình
.
A.
B.
C.
D. 
Câu 3: Cặp bất phương trình nào sau đây là tương đương?
A.
và 
B.
và 
C.
và
D.
và 
Câu 4: Bất phương trình nào sau đây là bất phương trình bậc nhất một ẩn?
A.
. B.
.
C.
. D.
.
Câu 5: Hệ bất phương trình sau
có tập nghiệm là
A.
. B.
.
C.
D.
.
Câu 6: Bảng xét dấu sau là của biểu thức nào?


Câu 7: Tập nghiệm của phương trình -3x -6 > 0 là:

Câu 8:
khi và chỉ khi

Câu 9: Tìm số các giá trị nguyên của m để mọi x thuộc đoạn
đều là nghiệm của bất phương trình 
A. 6. B. 4.
C. 5. D. 3
Câu 10: Miền nghiệm của bất phương trình
không chứa điểm nào trong các điểm sau?

Câu 11: Cho hệ bất phương trình
có tập nghiệm là s. Mệnh đề nào sau đây là đúng?
A. Biểu diễn hình học của s là nửa mặt phẳng chứa gốc tọa độ kể cả bờ d, với d là đường thẳng
.
B. Biểu diễn hình học của s là nửa mặt phẳng không chứa gốc tọa độ kể cả bờ d, với d là đường thẳng
.

Câu 12: Phần không gạch chéo ở hình sau đây là biểu diễn miền nghiệm của hệ bất phương trình nào trong bốn hệ sau?


Câu 13: Một người nông dân dự định trồng mía và ngô trên diện tích 8 sào đất (1 sào bằng 360m2). Nếu trồng mía thì trên mỗi sào cần 10công và thu lãi 1500000 đồng, nếu trồng ngô thì trên mỗi sào cần công và thu lãi 2000000 đồng. Biết tổng số công cần dùng không vượt quá 90công. Tính tổng số tiền lãi cao nhất mà người nông dân có thể thu được.
A. 14 (triệu đồng) B. 12 (triệu đồng)
C. 16 (triệu đồng) D. 13 (triệu đồng)
Câu 14: Tập nghiệm của bất phương trình
là:

Câu 15: Tam thức bậc hai
nhận giá trị dương khi và chỉ khi

Câu 16: Tập nghiệm của bất phương trình:
là:

Câu 17: Gọi M,m lần lượt là nghiệm nguyên lớn nhất và nhỏ nhất của bất phương trình
. Tính M+m.

Câu 18: Hệ bất phương trình
có tất cả bao nhiêu nghiệm nguyên?
A. 5. B. 1.
C. 2. D. 0.
Câu 19: Cho hệ bất phương trình
. Hệ đã cho có nghiệm khi và chỉ khi

Câu 20: Bất phương trình
có tập nghiệm là:

Câu 21: Cho tam thức bậc hai
. Điều kiện cần và đủ để
là:

Câu 22: Cho tam thức bậc hai
. Tìm m để f(x) luôn âm với mọi
.

Câu 23: Bất phương trình
có nghiệm khi và chỉ khi
. Tính
.
A. 5. B. 1.
C. 2. D. 0.
Câu 24: Tập nghiệm của bất phương trình
là :

Câu 25: Tam giác ABC có
, góc
. Mệnh đề nào sau đây là đúng ?

Câu 26: Cho
có
, trên cạnh BC lấy điểm M sao cho
.
Tính độ dài đoạn .

Câu 27: Cho tam giác ABC có
. Gọi R là bán kính đường tròn ngoại tiếp tam giác ABC. Mệnh đề nào sau đây đúng?
A.
. B.
.
C.
. D.
.
Câu 28: Muốn đo khoảng cách từ người A trên bờ đến chiếc thuyền C neo đậu trên sông, người ta chọn một điểm B trên bờ và đo đượCab=160m, .Tính độ dài đoạn (xấp xỉ đến hàng phần trăm)
A. 74,87 (m) B. 74,88 (m)
C. 165,93 (m) D. 165,89 (m)
Câu 29: Cho tam giác ABC có
. Gọi M là trung điểm của BC. Mệnh đề nào sau đây đúng?
A.
.
B.
.
C.
.
D.
.
Câu 30: Cho một tam giác có độ dài ba cạnh lần lượt là 13,14,15. Tính bán kính đường tròn nội tiếp tam giác đó.
A. 2. B. 4.
C.
. D. 3.
Câu 31: Cho tam giác ABC có BC=a, góc A bằng
và hai đường trung tuyến BM,CN vuông góc với nhau. Diện tích tam giác ABC là

Câu 32: Cho tam giác ABC có
. Nhận dạng tam giác ABC biết
.
A. Tam giác cân. B. Tam giác vuông.
C. Tam giác đều. D. Tam giác có góc 60 độ.
Câu 33: Tam giác ABC có
. Mệnh đề nào sau đây đúng?
A.
. B.
.
C.
. D.
.
Câu 34: Trong các cặp bất phương trình dưới đây, cặp bất phương trình nào tương đương?

B.
và
.
C.
và
.

Câu 35: Bất phương trình
có bao nhiêu nghiệm?
A. Hai nghiệm. B. Vô số nghiệm.
C. Vô nghiệm. D. Có một nghiệm.
II. Tự luận (3 điểm)
Câu 36. Giải bất phương trình
.
Câu 37. Tìm m để
.
Câu 38. Cho tam giác ABC có
. Tính độ dài BC và .
Đáp án và thang điểm
I. Trắc nghiệm
A. Bảng đáp án: 0,2 x 35 = 7 điểm
1 |
2 |
3 |
4 |
5 |
6 |
7 |
A |
D |
B |
C |
C |
C |
D |
8 |
9 |
10 |
11 |
12 |
13 |
14 |
C |
C |
D |
C |
B |
D |
A |
15 |
16 |
17 |
18 |
19 |
20 |
21 |
C |
A |
A |
C |
D |
A |
A |
22 |
23 |
24 |
25 |
26 |
27 |
28 |
B |
B |
D |
A |
D |
A |
D |
29 |
30 |
31 |
32 |
33 |
34 |
35 |
D |
B |
D |
A |
D |
C |
B |
B. Lời giải chi tiết
Câu 1: Tam thức bậc hai
. Với giá trị nào của m thì f(x) có hai nghiệm phân biệt?
A.
.
B.
.
C. 
.D.
.
Lời giải
Chọn A
Để f(x) có hai nghiệm phân biệt thì 
Lời giải
Chọn A
Để f(x) có hai nghiệm phân biệt thì 
Câu 3: Cặp bất phương trình nào sau đây là tương đương?
A.
và 
B.
và 
C.
và
D.
và 
Lời giải
Chọn B
Bất phương trình 
Bất phương trình
Đáp án A sai.
Bất phương trình
Đáp án B đúng.
Bất phương trình
Đáp án C sai.
Bất phương trình
Đáp án D sai.
Ghi nhớ: Hai bất phương trình (cùng ẩn) được gọi là tương đương nếu chúng có cùng tập nghiệm.
Câu 4: Bất phương trình nào sau đây là bất phương trình bậc nhất một ẩn?
A.
. B.
.
C.
. D.
.
Lời giải
Chọn C
Ghi nhớ:Bất phương trình bậc nhất một ẩn x có dạng tổng quát là:
. Trong đó, a,b là các hằng số,
và x là ẩn số.
Câu 5: Hệ bất phương trình sau
có tập nghiệm là
A.
. B.
.
C.
D.
.
Lời giải
Chọn C
Ta có

Vậy tập nghiệm của hệ bất phương trình .
Câu 6: Bảng xét dấu sau là của biểu thức nào?


Lời giải
Chọn C
* Ta có:

* Hoặc nhận dạng bảng xét dấu của nhị thức bậc nhất “phải cùng trái khác với a”.
Câu 7: Tập nghiệm của phương trình -3x -6 > 0 là:

Lời giải
Chọn D

Vậy tập nghiệm của bất phương trình là
.
Câu 8:
khi và chỉ khi

Lời giải
Chọn C
* Với a>0 ta có:
(không thỏa mãn yêu cầu bài toán là
)
* Với a<0 ta có:
(không thỏa mãn yêu cầu bài toán là
)
* Với a=0 ta có
khi đó 
Vậy 
Câu 9:
Tìm số các giá trị nguyên của m để mọi x thuộc đoạn
đều là nghiệm của bất phương trình 
A. 6. B. 4.
C. 5. D. 3
Lời giải
Chọn C.
*) Nếu
ta được bất phương trình (1) trở thành
, bất phương trình này đúng với mọi x thuộc ![]()
*) Nếu
ta được bất phương trình (1) có tập nghiệm
khi đó yêu cầu bài toán xảy ra khi 
. Kết hợp với
nên 
*) Nếu
ta được bất phương trình (1)có tập nghiệm 
khi đó yêu cầu bài toán xảy ra khi

. Kết hợp với
nên 
Kết hợp cả 3 trường hợp ta có: m thuộc đoạn
sẽ thỏa mãn. Do m nguyên nên 
Có 5 giá rị nguyên của m thỏa mãn.
Câu 10:
Miền nghiệm của bất phương trình
không chứa điểm nào trong các điểm sau?

Lời giải
Chọn D

Vậy miền nghiệm của bất phương trình
không chứa điểm
.
Câu 11:
Cho hệ bất phương trình
có tập nghiệm là s. Mệnh đề nào sau đây là đúng?
A. Biểu diễn hình học của s là nửa mặt phẳng chứa gốc tọa độ kể cả bờ d, với d là đường thẳng
.
B. Biểu diễn hình học của s là nửa mặt phẳng không chứa gốc tọa độ kể cả bờ d, với d là đường thẳng
.

Lời giải
Lời giải
Chọn C
Ta có:
.
Vậy tập nghiệm của hệ bất phương trình là
.
Câu 12:
Phần không gạch chéo ở hình sau đây là biểu diễn miền nghiệm của hệ bất phương trình nào trong bốn hệ sau?


Lời giải
Chọn B
Dựa vào hình vẽ ta thấy đồ thị gồm hai đường thẳng
và đường thẳng 
Miền nghiệm gồm phần phía trên trục hoành nên y nhận giá trị dương.
Lại có (0,0) thỏa mãn bất phương trình 
Câu 13:
Một người nông dân dự định trồng mía và ngô trên diện tích 8 sào đất (1 sào bằng 360m2). Nếu trồng mía thì trên mỗi sào cần 10công và thu lãi 1500000 đồng, nếu trồng ngô thì trên mỗi sào cần công và thu lãi 2000000 đồng. Biết tổng số công cần dùng không vượt quá 90công. Tính tổng số tiền lãi cao nhất mà người nông dân có thể thu được.
A. 14 (triệu đồng) B. 12 (triệu đồng)
C. 16 (triệu đồng) D. 13 (triệu đồng)
Lời giải
Chọn D
Gọi diện tích trồng mía là x,(đơn vị: sào, đk:
)
Gọi diện tích trồng ngô là y, (đơn vị: sào, đk:
)
Diện tích trồng mía và ngô dự định là 8 sào nên ta có bpt: 
Tổng số công cần dùng cho cả hai loại không vượt quá 90 nên ta có bpt: 
Tổng số tiền lãi thu được là:
(đơn vị: triệu đồng)

Khi đó, ta đưa về bài toán tìm (x,y) thỏa mãn hbpt:
để
đạt giá trị lớn nhất.
Biểu diễn hình học tập nghiệm hbpt ta được miền nghiệm cuả hbpt là tứ giác OABC kể cả biên,
với 

Câu 14 Tập nghiệm của bất phương trình
là:

Lời giải
Chọn A
Ta có:
.
Bảng xét dấu:

Dựa vào bảng xét dấu ta có:
.
Câu 15:
Tam thức bậc hai
nhận giá trị dương khi và chỉ khi

Lời giải
Chọn C
.
Vậy x<-1 hoặc x>3.
Câu 16:
Tập nghiệm của bất phương trình:
là:

Lời giải
Chọn A
ĐKXĐ:
khi đó
nên bất phương trình đã cho tương đương với BPT:
. Kết hợp đk ta được tập nghiệm: 
Câu 17:
Gọi M,m lần lượt là nghiệm nguyên lớn nhất và nhỏ nhất của bất phương trình
. Tính M+m.

Lời giải
Chọn A

BXD:

Tập nghiệm của bất phương trình: 
Nghiệm nguyên nhỏ nhất: m=-4 ; nghiệm nguyên lớn nhất: M=0

Câu 18:
Hệ bất phương trình
có tất cả bao nhiêu nghiệm nguyên?
A. 5. B. 1.
C. 2. D. 0.
Lời giải
Chọn C
Ta có

Vậy hệ bất phương trình có hai nghiệm nguyên thoả mãn.
Ghi nhớ: nắm kĩ qui tắc xét dấu nhị thức bậc nhất và tam thức bậc hai đồng thời nhớ cách tìm giao- hợp- hiệu của các tập hợp số.
Câu 19:
Cho hệ bất phương trình
. Hệ đã cho có nghiệm khi và chỉ khi

Lời giải
Chọn D
Hệ tương đương:
. Hệ có nghiệm
.
Câu 20:
Bất phương trình
có tập nghiệm là:

Lời giải
Chọn A
Ta có

Câu 21:
Cho tam thức bậc hai
. Điều kiện cần và đủ để
là:

Lời giải
Chọn A
Câu 22:
Cho tam thức bậc hai
. Tìm m để f(x) luôn âm với mọi
.

Lời giải
Chọn B

Câu 23:
Bất phương trình
có nghiệm khi và chỉ khi
. Tính
.
A. 5. B. 1.
C. 2. D. 0.
Lời giải
Chọn B

Câu 24:
Tập nghiệm của bất phương trình
là :
Lời giải
Chọn D
Ta có :

Ghi nhớ: Công thức được sử dụng:

Câu 25:
Tam giác ABC có
, góc
. Mệnh đề nào sau đây là đúng ?

Lời giải
Chọn A
Áp dụng định lý cosin trong tam giác, ta có
.
Câu 26:
Cho
có
, trên cạnh BC lấy điểm M sao cho
.
Tính độ dài đoạn .

.
Lời giải
Chọn D
Chọn D
.
Áp dụng định lí cô sin cho tam giác ABM ta có:
.
.
Câu 27:
Cho tam giác ABC có
. Gọi R là bán kính đường tròn ngoại tiếp tam giác ABC. Mệnh đề nào sau đây đúng?
A.
. B.
.
C.
. D.
.
Lời giải
Chọn A
Theo định lí hàm số sin ta có
.
Câu 28:
Muốn đo khoảng cách từ người A trên bờ đến chiếc thuyền C neo đậu trên sông, người ta chọn một điểm B trên bờ và đo đượCab=160m, .Tính độ dài đoạn (xấp xỉ đến hàng phần trăm)
A. 74,87 (m) B. 74,88 (m)
C. 165,93 (m) D. 165,89 (m)
Lời giải
Chọn D
Ta có:

Áp dụng định lí hàm sin trong tam giác ABC ta có:
.
Ghi nhớ: Cho tam giác ABC có
và R là bán kính đường tròn ngoại tiếp.
Ta có
.
Câu 29:
Cho tam giác ABC có
. Gọi M là trung điểm của BC. Mệnh đề nào sau đây đúng?
A.
.
B.
.
C.
.
D.
.
Lời giải
Theo công thức tính độ dài đường trung tuyến ta có:

Câu 30:
Cho một tam giác có độ dài ba cạnh lần lượt là 13,14,15. Tính bán kính đường tròn nội tiếp tam giác đó.
A. 2. B. 4.
C.
. D. 3.
Lời giải
Chọn B
Ta có:
.
.
Lại có:
.
Vậy bán kính đường tròn nội tiếp tam giác r=4.
Vậy bán kính đường tròn nội tiếp tam giác .
Câu 31:
Cho tam giác ABC có BC=a, góc A bằng
và hai đường trung tuyến BM,CN vuông góc với nhau. Diện tích tam giác ABC là

Lời giải
Chọn D

Ta có
.
Do các đường trung tuyến BM,CN vuông góc với nhau nên

.
Diện tích tam giác ABC là
.
Câu 32:
Cho tam giác ABC có
. Nhận dạng tam giác ABC biết
.
A. Tam giác cân. B. Tam giác vuông.
C. Tam giác đều. D. Tam giác có góc 60 độ.
Lời giải
Chọn A

Mặt khác theo định lý cosin:
do vậy ta có:

Vậy tam giác ABC cân tại C.
Vậy tam giác cân tại .
Câu 33: Tam giác ABC có
. Mệnh đề nào sau đây đúng?
A.
. B.
.
C.
. D.
.
Lời giải
Chọn D
Áp dụng định lí sin:
. Suy ra
.
Thay vào biểu thức
ta được:
.
Do đó
(vì
).
Câu 34:
Trong các cặp bất phương trình dưới đây, cặp bất phương trình nào tương đương?

B.
và
.
C.
và
.

Lời giải
Chọn C

Nên cặp bất phương trình này tương đương.
Câu 35:
Bất phương trình
có bao nhiêu nghiệm?
A. Hai nghiệm. B. Vô số nghiệm.
C. Vô nghiệm. D. Có một nghiệm
Lời giải
Chọn B
Điều kiện

Vậy bất phương trình có vô số nghiệm.
II. Tự luận
Câu 36. Giải bất phương trình
.
Lời giải

Câu 37. Tìm m để
.
Lời giải
Với m=0 thì bất phương trình trở thành 3>0 luôn đúng với mọi
nên m=0 thỏa mãn.
Với
thì bất phương trình nghiệm đúng với
khi và chỉ khi
.
Kết luận:
là điều kiện cần tìm.
Câu 38. Cho tam giác ABC có
. Tính độ dài BC và .
Lời giải
Áp dụng định lý cosin ta có 
.
Áp dụng định lý sin ta có 
.
Sở Giáo dục và Đào tạo .....
Đề thi Giữa học kì 2
Môn: Toán 10
Thời gian làm bài: 90 phút
(Đề 4)
I. Đề bài
Câu 1: Tập xác định của hàm số
là

Câu 2: Phương trình
có nghiệm duy nhất khi:

Câu 3: Với giá trị nào của m thì phương trình
có hai nghiệm 

Câu 4: Phương trình
có bao nhiêu nghiệm?
A. 3. B. 2.
C. 1. D. 0.
Câu 5: Tập nghiệm của phương trình:
là

Câu 6: Phương trình
có bao nhiêu nghiệm?
A. 2. B. 1.
C. 0. D. Vô số.
Câu 7: Tính tổng các nghiệm của phương trình 
A. 4. B. 3.
C. 5. D. 2.
Câu 8: Tích các nghiệm của phương trình
là:
A. 2. B. 3.
C. 0. D. -1.
Câu 9: Chọn khẳng định sai trong các khẳng định sau

Câu 10: Tìm điều kiện của bất phương trình
.

Câu 11: Hệ bất phương trình
có nghiệm duy nhất khi và chỉ khi

Câu 12: Số -2 thuộc tập nghiệm của bất phương trình nào?

Câu 13: Cho nhị thức bậc nhất
. Trong các mệnh đề sau mệnh đề nào đúng?

Câu 14: Tập nghiệm của bất phương trình
có dạng
. Tính tổng
.
A. 1. B. 2.
C. 3. D. 4.
Câu 15: Tập nghiệm của bất phương trình 

Câu 16: Bất phương trình
có tập nghiệm là khi và chỉ khi

Câu 17: Bất phương trình
có tập nghiệm là

Câu 18: Cho tam thức bậc hai
có
. Gọi
là hai nghiệm phân biệt của
. Chọn mệnh đề đúng trong các mệnh đề sau.
A.
luôn cùng dấu với hệ số a khi
.
B.
luôn cùng dấu với hệ số a khi 
C.
luôn âm với mọi ![]()
D.
luôn dương với mọi ![]()
Câu 19: Bảng xét dấu sau là của biểu thức nào?


Câu 20: Tìm khẳng định đúng trong các khẳng định sau.

Câu 21: Cho các mệnh đề
(I) với mọi
thì
.
(II) với mọi
thì
.
(III) với mọi
thì
.
A. Mệnh đề (I),(III) đúng.
B. Chỉ mệnh đề (I) đúng.
C. Chỉ mệnh đề (III) đúng.
D. Cả ba mệnh đề đều sai.
Câu 22: Bất phương trình có tập nghiệm
là

Câu 23: Gọi S là tập nghiệm của bất phương trình
. Trong các tập hợp sau, tập nào không là tập con của S?

Câu 24: Với x thuộc tập nào dưới đây thì
không dương

Câu 25: Tổng bình phương các nghiệm nguyên của bất phương trình
là
A. 5. B. 2.
C. 0 . D. 1.
Câu 26: Tập nghiệm của hệ 

Câu 27: Bất phương trình
có bao nhiêu nghiệm nguyên?
A. 0.
B. 1.
C. 2.
D. Nhiều hơn 2 nhưng hữu hạn
Câu 28: Tìm m để mọi
đều là nghiệm của bất phương trình 

Câu 29: Tìm m để
luôn dương với mọi x.

Câu 30: Tập nghiệm của bất phương trình
là

Câu 31: Tập nghiệm của bất phương trình
là:

Câu 32: Tính tổng các nghiệm nguyên thuộc
của bất phương trình 
A. 2. B. 12
C. 0. D. 5.
Câu 33: Tập nghiệm của bất phương trình
là

Câu 34: Cho tam giác ABC có
Cạnh BC bằng

Câu 35: Cho tam giác ABC có
. Tính độ dài đường cao hạ từ đỉnh A của tam giác ABC.

Câu 36: Cho tam giác ABC có
và hai đường trung tuyến
vuông góc với nhau. Diện tích tam giác ABC là:.

Câu 37: Cho
có , bán kính đường tròn ngoại tiếp là . Trong các mệnh đề sau, mệnh đề nào sai?

Câu 38: Cho tam giác ABC có
, M là trung điểm của BC. Độ dài trung tuyến AM bằng:

Câu 39: Cho tam giác ABC có
và diện tích bằng 64. Tính
?

Câu 40: Cho tam giác ABC có
. Bán kính đường tròn nội tiếp tam giác ABC bằng

Câu 41: Với các số đo trên hình vẽ sau, chiều cao h của tháp nghiêng Pisa gần với giá trị nào nhất?


Câu 42: Cho đường thẳng
có phương trình
. Trong các điểm sau đây điểm nào không thuộc ![]()

Câu 43: Trong mặt phẳng
, đường thẳng
có môt véc tơ chỉ phương là
A.
. B.
.
C.
. D.
.
Câu 44: Cho đường thẳng
. Vectơ nào sau đây không phải vectơ pháp tuyến của
?
A.
. B.
.
C.
. D.
.
Câu 45: Phương trình tham số của đường thẳng đi qua hai điểm
và
là

Câu 46: Đường thẳng đi qua M(2,0), song song với đường thẳng
có phương trình tổng quát là
A.
B.
.
C.
. D.
.
Câu 47: Cho tam giác ABC có
. Phương trình đường trung tuyến AM của tam giác là
A.
. B.
.
C.
. D.
.
Câu 48: Cho tam giác ABC có trực tâm H(1,1), phương trình cạnh
, phương trình cạnh
thì phương trình cạnh BC là

Câu 49: Cho đường thẳng
có phương trình
có phương trình
. Biết
thì tọa độ điểm M là:
A. M(-1,-3). B. M(3,1).
C. M(3,-3). D. M(1,3).
Câu 50: Cho
và đường thẳng
, điểm
sao cho tam giác ABC cân ở C. Tọa độ của điểm C là
A. C(0,3). B. C(-2,5).
C. C(-2,-1) . D. C(1,1).
II. Đáp án và thang điểm
A. Bảng đáp án: 0,2 x 50 = 10 điểm
1 |
2 |
3 |
4 |
5 |
6 |
7 |
8 |
9 |
10 |
C |
A |
A |
C |
C |
C |
D |
D |
D |
B |
11 |
12 |
13 |
14 |
15 |
16 |
17 |
18 |
19 |
20 |
A |
C |
D |
D |
A |
B |
B |
B |
B |
A |
21 |
22 |
23 |
24 |
25 |
26 |
27 |
28 |
29 |
30 |
A |
D |
D |
C |
B |
D |
A |
C |
A |
B |
31 |
32 |
33 |
34 |
35 |
36 |
37 |
38 |
39 |
40 |
B |
C |
C |
B |
B |
D |
A |
A |
D |
C |
41 |
42 |
43 |
44 |
45 |
46 |
47 |
48 |
49 |
50 |
D |
B |
C |
D |
D |
A |
B |
A |
D |
C |
B. Lời giải chi tiết
Câu 1: Tập xác định của hàm số
là
A.
. B.
.
C.
. D.
.
Lời giải
Chọn C
Hàm số đã cho xác định khi và chỉ khi
.
Vậy tập xác định của hàm số đã cho là
.
Câu 2: Phương trình
có nghiệm duy nhất khi:

Lời giải
Chọn A
Phương trình xác định khi

Câu 3: Với giá trị nào của m thì phương trình
có hai nghiệm
?

Lời giải
Chọn A
Phương trình có hai nghiệm
khi

Câu 4: Phương trình
có bao nhiêu nghiệm?
A. 3. B. 2.
C. 1. D. 0.
Lời giải
Chọn C
Điều kiện xác định
.
Với điều kiện đó, phương trình đã cho tương đương

Đối chiếu điều kiện ta có
là nghiệm duy nhất của phương trình.
Vậy phương trình đã cho có 1 nghiệm.
Câu 5: Tập nghiệm của phương trình:
là

Lời giải
Chọn C
PT

Vậy tập nghiệm phương trình là
.
Câu 6: Phương trình
có bao nhiêu nghiệm?
A. 2. B. 1.
C. 0. D. Vô số.
Lời giải
Chọn C

Vậy phương trình (1) vô nghiệm.
Câu 7: Tính tổng các nghiệm của phương trình 
A. 4. B. 3.
C. 5. D. 1.
Lời giải
Chọn D

Vậy tổng các nghiệm của phương trình đã cho là: -1+3=2
Câu 8: Tích các nghiệm của phương trình
là:
A. 2. B. 3.
C. 0. D. 1.
Lời giải
Chọn D.
Xét phương trình:

nên phương trình này có hai nghiệm phân biệt thỏa mãn điều kiện và có tích là
.
Câu 9: Chọn khẳng định sai trong các khẳng định sau

Lời giải
Chọn D
Ta có
, suy ra khẳng định D sai.
Câu 10: Tìm điều kiện của bất phương trình
.

Lời giải
Chọn B
Điều kiện xác định của BPT:
.
Câu 11: Hệ bất phương trình
có nghiệm duy nhất khi và chỉ khi

Lời giải
Chọn A
Hệ có nghiệm duy nhất khi và chỉ khi
.
Câu 12: Số -2 thuộc tập nghiệm của bất phương trình nào?

Lời giải
Chọn C
Cách 1: Thay x=-2 lần lượt vào phương án A,B,C,D thì phương án C là đúng.
Cách 2:

Câu 13: Cho nhị thức bậc nhất
. Trong các mệnh đề sau mệnh đề nào đúng?

Lời giải
Chọn D
Nhị thức bậc nhất
có nghiệm
và hệ số
, suy ra
và
.
Câu 14: Tập nghiệm của bất phương trình
có dạng
. Tính tổng
.
A. 1. B. 2.
C. 3. D. 4.
Lời giải
Chọn D

Câu 15: Tập nghiệm của bất phương trình 

Lời giải
Chọn A
.
Vậy
.
Câu 16: Bất phương trình
có tập nghiệm là R khi và chỉ khi
A.
. B.
.
C.
. D.
.
Lời giải
Chọn B
+ Với
thì
có tập nghiệm
, đáp án A sai.
+ Với
thì
có tập nghiệm
, đáp án B đúng.
+ Với
thì
có tập nghiệm , đáp án C sai.
+ Với thì vô nghiệm, đáp án D sai.
Câu 17: Bất phương trình
có tập nghiệm là
A.
. B.
.
C.
. D.
.
Lời giải
Chọn B
Ta có dấu của bất phương trình cũng là dấu của bất phương trình 

Vậy tập nghiệm của bất phương trình đã cho là
.
Câu 18: Cho tam thức bậc hai
có
. Gọi
là hai nghiệm phân biệt của
. Chọn mệnh đề đúng trong các mệnh đề sau.
A.
luôn cùng dấu với hệ số a khi
.
B.
luôn cùng dấu với hệ số a khi
hoặc
.
C.
luôn âm với mọi
D.
luôn dương với mọi
Lời giải
Chọn B
Theo định lí về dấu của tam thức bậc hai.
Câu 19: Bảng xét dấu sau là của biểu thức nào?

A.
. B.
.
C.
. D.
.
Lời giải
Chọn B
Câu 20: Tìm khẳng định đúng trong các khẳng định sau.
A.
là tam thức bậc hai.
B.
là tam thức bậc hai.
C.
là tam thức bậc hai.
D.
là tam thức bậc hai.
Lời giải
Chọn A
Câu 21: Cho các mệnh đề
(I)với mọi
thì
.
(II) với mọi
thì
.
(III) với mọi
thì
.
A. Mệnh đề (I) ,(III) đúng. B. Chỉ mệnh đề (I) đúng.
C. Chỉ mệnh đề (III) đúng. D. Cả ba mệnh đề đều sai.
Lời giải
Chọn A
Ta có
. Vậy (I)đúng.
. Vậy sai.
. Vậy đúng.
Câu 22: Bất phương trình có tập nghiệm là
A.
. B.
.
C.
. D.
.
Lời giải
Chọn D
Xét đáp án A: 
Ta thấy
,
và
với mọi
.
Tập nghiệm của bất phương trình là
.
Xét đáp án B: 
Tập nghiệm của bất phương trình là
.
Xét đáp án C:
Tập nghiệm của bất phương trình là
.
Xét đáp án D:
.
Tập nghiệm của bất phương trình là 
Câu 23: Gọi S là tập nghiệm của bất phương trình
. Trong các tập hợp sau, tập nào không là tập con của ?
A.
. B.
.
C.
. D.
.
Lời giải
Chọn D
.
Suy ra
. Do đó
.
Câu 24: Với x thuộc tập nào dưới đây thì
không dương
A.
. B.
.
C.
. D.
.
Lời giải
Chọn C.




Có 


Vậy
.
Câu 25: Tổng bình phương các nghiệm nguyên của bất phương trình
là
A. 5. B. 2. C.0 . D.1 .
Lời giải
Chọn B
Ta có:

Trục xét dấu:

Tập nghiệm của bất phương trình là 
Tổng bình phương các nghiệm nguyên bất phương trình là:
.
Câu 26: Tập nghiệm của hệ 
A.
. B.
. C.
. D.
.
Lời giải
Chọn D
Ta có .



Câu 27: Bất phương trình
có bao nhiêu nghiệm nguyên?
A. 0. B.1 .
C.2 . D. Nhiều hơn 2 nhưng hữu hạn
Lời giải
Chọn A
Đặt
.
Khi đó bất phương trình trở thành 

Vô nghiệm.
Vậy bất phương trình đã cho vô nghiệm.
Câu 28: Tìm m để mọi
đều là nghiệm của bất phương trình 
A.
. B.
.
C.
. D.
.
Lời giải
Chọn C

+)
Với m=1 bất phương trình có dạng
. Do đó m=1 không thoả mãn.
Với m=-1 bất phương trình có dạng
. Do đó m=-1 là một giá trị cần tìm.
+)
. Khi đó vế trái là tam thức bậc hai có
nên
tam thức luôn có 2 nghiệm
.
Suy ra mọi
đều là nghiệm của bất phương trình
khi và chỉ khi

Từ đó suy ra
.
Câu 29: Tìm m để
luôn dương với mọi x.
A.
. B.
. C.
. D.
.
Lời giải
Chọn A
Nhận thấy
với mọi m nên
là một tam thức bậc 2.
Để
.

Câu 30: Tập nghiệm của bất phương trình
là
A.
. B.
.
C.
. D.
.
Lời giải
Chọn B
Ta có: 

Vậy tập nghiệm của bất phương trình là:
.
Câu 31: Tập nghiệm của bất phương trình
là:
A.
. B.
.
C.
. D.
.
Lời giải
Chọn B
Điều kiện:


không thỏa điều kiện.
Vậy
.
Câu 32: Tính tổng các nghiệm nguyên thuộc
của bất phương trình
A. 2. B.12
C. 0. D. 5.
Lời giải
Chọn C

Điều kiện:
.
- Nếu
, bất phương trình đúng.
- Nếu
,

Mà
.
Nên
.
Do đó tổng tất cả các nghiệm nguyên thuộc
của bất phương trình là:
.
Câu 33: Tập nghiệm của bất phương trình
là
A.
.
B.
.
C.
. D.
.
Lời giải
Chọn C
Bất phương trình:
.
Điều kiện:
.
Bất phương trình tương đương:
.
+ Với
không thỏa mãn.
+ Với
, ta có:








hoặc .

Suy ra
.
+ Với
, ta có:(*) 
, đúng với






Suy ra
.
Vậy bất phương trình có tập nghiệm
.
Câu 34: Cho tam giác có Cạnh bằng
A
. . B.
C.
. D.
.
Lời giải
Chọn B
Áp dụng định lý cosin cho tam giác ABC, ta có:



Câu 35: Cho tam giácABC có
. Tính độ dài đường cao hạ từ đỉnh A của tam giác ABC .
A.
. B.
.
C.
. D.
.
Lời giải
Chọn B

Do
.
như hình vẽ.
Áp dụng hệ quả ĐL cosin cho tam giác ABC ta có:
.
Khi đó:
.
Mà
.
Xét tam giác AHB vuông tại H, ta có:
.
Câu 36: Cho tam giác ABC có
;
và hai đường trung tuyến BM ,CN vuông góc với nhau. Diện tích tam giác ABC là:.
A.
. B.
.
C.
. D.
.
Lời giải
Chọn D
Trong tam giác ABC với
;
,
.
Tam giác ABC có hai đường trung tuyến BM,CN vuông góc với nhau khi và chỉ khi
.
Mặt khác theo định lí cô sin trong tam giác, ta có .
Từ (1)và (2) suy ra

.
Diện tích tam giác
.


Chứng minh bài toán: Tam giác ABC có hai đường trung tuyến BM ,CN vuông góc với nhau khi và chỉ khi
.

Ta có:
.

Tương tự, ta có
.
Do 





Câu 37: Cho
có
, bán kính đường tròn ngoại tiếp là . Trong các mệnh đề sau, mệnh đề nào sai?
A.
. B.
.
C.
. D.
.
Lời giải
Chọn A
Theo định lý sin ta có:
.
Từ công thức
nên phương án A sai.
Từ công thức
nên phương án B đúng.
Từ công thức
nên phương án C đúng.
Từ công thức
nên phương án D đúng.
Câu 38: Cho tam giác ABC có
, M là trung điểm của BC. Độ dài trung tuyến AM bằng:
A.5 . B.
.
C.25 . D.
.
Lời giải
Chọn A
Trong tam giác ABC ta có,
.
Câu 39: Cho tam giác ABC có
,
và diện tích bằng 64. Tính SinA ?
A.
. B.
.
C.
. D.
.
Lời giải
Chọn D
Áp dụng công thức tính diện tích
:
.
Câu 40: Cho tam giác ABC có
. Bán kính đường tròn nội tiếp tam giác ABC bằng
A. 2. B.
.
C.
. D.
.
Lời giải
Chọn C
Đặt
,
.
Diện tích tam giác ABC bằng
.
Bán kính đường tròn nội tiếp ![]()
![]()
.
Câu 41: Với các số đo trên hình vẽ sau, chiều cao của tháp nghiêng Pisa gần với giá trị nào nhất?

A.8. B. 7.5.
C. 6.5. D.7.
Lời giải
Chọn D
Xét tam giác ABC ta có:
.
Lại có: 
Xét tam giác CAD vuông tại C có:
.
Câu 42: Cho đường thẳng
có phương trình
. Trong các điểm sau đây điểm nào không thuộc ![]()
A.
. B.
.
C.
. D.
.
Lời giải
Chọn B
Với
thay
vào phương trình
ta có:

Với
thay
vào phương trình
ta có:

Với
thay
vào phương trình
ta có:

Với
thay
vào phương trình
ta có:

Câu 43: Trong mặt phẳng Oxy, đường thẳng
có môt véc tơ chỉ phương là
A.
. B. 
C.
. D.
.
Lời giải
Chọn C
Đường thẳng
có một véc tơ chỉ phương là
.
Câu 44: Cho đường thẳng
. Vectơ nào sau đây không phải vectơ pháp tuyến của
?
A.
. B.
. C.
. D.
.
Lời giải
Chọn D
Ta có, vectơ pháp tuyến của
có dạng
với K khác 0.
Đối chiếu các đáp án suy ra D sai.
Câu 45: Phương trình tham số của đường thẳng đi qua hai điểm A(3,-1) và B(-6,2) là
A.
. B.
.
C.
. D.
.
Lời giải
Chọn D
Đường thẳng AB đi qua hai điểm
và
nên đường thẳng AB nhận
làm véc tơ chỉ phương hay nhận
làm véc tơ chỉ phương.
Vậy đường thẳng AB đi qua
và nhận
làm véc tơ chỉ phương có phương trình tham số là
.
Câu 46: Đường thẳng đi qua M(2,0), song song với đường thẳng
có phương trình tổng quát là
A.
. B.
.
C.
. D.
.
Lời giải
Chọn A
Gọi d là đường thẳng đi qua M(2,0) và song song với đường thẳng
.
Đường thẳng
có VTCP
, thì đường thẳng d có VTCP
.
Suy ra đường thẳng d có VTPT
.
Phương trình tổng quát của đường thẳng d đi qua M(2,0), VTPT
có dạng:
.
Câu 47: Cho tam giác ABC có
. Phương trình đường trung tuyến AM của tam giác là
A.
. B.
. C.
. D.
.
Lời giải
Chọn B
Gọi M là trung điểm của cạnh
.
.
Đường thẳng đi qua điểm
nhận
làm một vectơ pháp tuyến có phương trình là:
.
Câu 48: Cho tam giác ABC có trực tâm H(1,1), phương trình cạnh
, phương trình cạnh
thì phương trình cạnh BC là
A.
. B.
.
C.
. D.
.
Lời giải
Chọn A

Ta có đường thẳng
nên phương trình đường thẳng
.
.
Ta có
nên tọa độ của  là nghiệm của hệ
.
Đường thẳng BC đi qua điểm B nhận
là VTPT có phương trình
.
Câu 49: Cho đường thẳng d1 có phương trình
và d2 có phương trình
. Biết
thì tọa độ điểm M là:
A.
. B.
.
C.
. D.
.
Lời giải
Chọn D
Do
nên tọa độ điểm M là nghiệm của hệ phương trình:

Câu 50: Cho
và đường thẳng
, điểm
sao cho tam giác ABC cân ở C. Tọa độ của điểm C là
A. C(0,3). B. C(-2,5). C. C(-2,-1). D. C(1,1).
Lời giải
Chọn C
.
Do tam giác ABC cân ở C nên 
.
Suy ra C(-2,-1).
Xem thêm bộ Đề thi Toán 10 năm 2025 chọn lọc khác:
Để học tốt lớp 10 các môn học sách mới:
- Giải bài tập Lớp 10 Kết nối tri thức
- Giải bài tập Lớp 10 Chân trời sáng tạo
- Giải bài tập Lớp 10 Cánh diều
Tủ sách VIETJACK shopee lớp 10-11 (cả 3 bộ sách):
Đã có app VietJack trên điện thoại, giải bài tập SGK, SBT Soạn văn, Văn mẫu, Thi online, Bài giảng....miễn phí. Tải ngay ứng dụng trên Android và iOS.
Theo dõi chúng tôi miễn phí trên mạng xã hội facebook và youtube:Nếu thấy hay, hãy động viên và chia sẻ nhé! Các bình luận không phù hợp với nội quy bình luận trang web sẽ bị cấm bình luận vĩnh viễn.
- Giáo án lớp 10 (các môn học)
- Giáo án điện tử lớp 10 (các môn học)
- Giáo án Ngữ văn 10
- Giáo án Toán 10
- Giáo án Tiếng Anh 10
- Giáo án Vật Lí 10
- Giáo án Hóa học 10
- Giáo án Sinh học 10
- Giáo án Lịch Sử 10
- Giáo án Địa Lí 10
- Giáo án Kinh tế Pháp luật 10
- Giáo án Tin học 10
- Giáo án Công nghệ 10
- Giáo án Giáo dục quốc phòng 10
- Giáo án Hoạt động trải nghiệm 10
- Đề thi lớp 10 (các môn học)
- Đề thi Ngữ Văn 10 (có đáp án)
- Chuyên đề Tiếng Việt lớp 10
- Đề cương ôn tập Văn 10
- Đề thi Toán 10 (có đáp án)
- Đề thi cương ôn tập Toán 10
- Đề thi Toán 10 cấu trúc mới (có đáp án)
- Đề thi Tiếng Anh 10 (có đáp án)
- Đề thi Vật Lí 10 (có đáp án)
- Đề thi Hóa học 10 (có đáp án)
- Đề thi Sinh học 10 (có đáp án)
- Đề thi Lịch Sử 10 (có đáp án)
- Đề thi Địa Lí 10 (có đáp án)
- Đề thi Kinh tế & Pháp luật 10 (có đáp án)
- Đề thi Tin học 10 (có đáp án)
- Đề thi Công nghệ 10 (có đáp án)
- Đề thi Giáo dục quốc phòng 10 (có đáp án)


Giải bài tập SGK & SBT
Tài liệu giáo viên
Sách
Khóa học
Thi online
Hỏi đáp

