Top 8 Đề kiểm tra Toán 11 Chương 5 Đại số có đáp án
Phần dưới là danh sách Top 8 Đề kiểm tra Toán 11 Chương 5 Đại số có đáp án. Hi vọng bộ đề thi này sẽ giúp bạn ôn luyện & đạt điểm cao trong các bài thi Toán lớp 11.
Top 4 Đề kiểm tra 15 phút Toán 11 Chương 5 Đại số có đáp án
- Đề kiểm tra 15 phút Đại số 11 Chương 5 có đáp án (Đề 1)
- Đề kiểm tra 15 phút Đại số 11 Chương 5 có đáp án (Đề 2)
- Đề kiểm tra 15 phút Đại số 11 Chương 5 có đáp án (Đề 3)
- Đề kiểm tra 15 phút Đại số 11 Chương 5 có đáp án (Đề 4)
Top 4 Đề kiểm tra 1 tiết Toán 11 Chương 5 Đại số có đáp án
- Đề kiểm tra 45 phút Đại số 11 Chương 5 có đáp án (Đề 1)
- Đề kiểm tra 45 phút Đại số 11 Chương 5 có đáp án (Đề 2)
- Đề kiểm tra 45 phút Đại số 11 Chương 5 có đáp án (Đề 3)
- Đề kiểm tra 45 phút Đại số 11 Chương 5 có đáp án (Đề 4)
Đề kiểm tra 15 phút Đại số 11 Chương 5
Thời gian làm bài: 15 phút
Câu 1: Hàm số y = 2cosx2 có đạo hàm là:
Câu 2: Hàm số
có đạo hàm là:
Câu 3: Cho hàm số y = cos3x.sin2x. Tính
bằng:
Câu 4: Hàm số
có đạo hàm là:
Câu 5: Đạo hàm của hàm số
là:
Câu 6: Tính đạo hàm của hàm số sau:
Câu 7: Phương trình tiếp tuyến của đồ thị hàm số
tại điểm có hoành độ x = 2 là:
Câu 8: Tiếp tuyến của parabol y = 4 - x2 tại điểm (1; 3) tạo với hai trục tọa độ một tam giác vuông. Diện tích của tam giác vuông đó là:
Câu 9: Cho hàm số
(Cm). Tìm m để tiếp tuyến của (Cm) tại điểm có hoành độ x0 = 0 đi qua A(4; 3)
Câu 10: Tiếp tuyến của đồ thị hàm số
có hệ số góc k = -9 có phương trình là:
Câu 11: Cho hàm số
có đồ thị là (Cm). Tìm m để tiếp tuyến của đồ thị (Cm) tại điểm có hoành độ x = 1 song song với đường thẳng (d): y = 3x +100.
Câu 12: Cho hàm số
. Biểu thức nào sau đây chỉ vi phân của hàm số f(x) ?
Câu 13: Hàm số
có đạo hàm cấp hai là:
Câu 14: Cho hàm số f(x) = sin3x + x2. Giá trị
bằng:
Câu 15: Một chuyển động thẳng xác định bởi ph¬ương trình s = t3 – 3t2 + 5t + 2, trong đó t tính bằng giây và s tính bằng mét. Gia tốc của chuyển động khi t = 3 là:
Đáp án & Hướng dẫn giải
Câu 1:
- Ta có:
Chọn D.
Câu 2:
- Ta có:
Chọn B.
Câu 3:
- Ta có:
Chọn B.
Câu 4:
- Ta có:
Chọn A.
Câu 5:
- Ta có:
Chọn A
Câu 6:
- Áp dụng công thức (sin u)' với
Chọn D.
Câu 7:
- Gọi (x0; y0) là tọa độ tiếp điểm.
- Ta có:
- Vậy phương trình tiếp tuyến cần tìm là:
Chọn D.
Câu 8:
- Ta có:
- Phương trình tiếp tuyến tại điểm có tọa độ (1;3 ) là:
- Ta có: d giao Ox tại
, giao Oy tại B(0; 5) khi đó d tạo với hai trục tọa độ tam giác vuông OAB vuông tại O
- Diện tích tam giác vuông OAB là:
Chọn D
Câu 9:
- Ta có:
- Phương trình tiếp tuyến d của (Cm) tại điểm có hoành độ x0 = 0 là: y = (-m - 3).x - m - 1
- Tiếp tuyến đi qua A(4; 3) khi và chỉ khi:
Chọn A
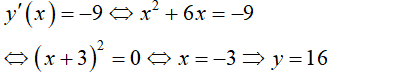
Câu 10:
- Tập xác định: D = R
- Đạo hàm: y' = x2 + 6x.
- Tiếp tuyến có hệ số góc k = -9 nên:
- Phương trình tiếp tuyến cần tìm là:
y = - 9(x + 3) + 16 hay y = -9x - 11
Chọn A.
Câu 11:
- Ta có: y' = 3x2 - 4x + m -1.
- Với x = 1:
- Tiếp tuyến của (Cm) tại điểm có hoành độ x=1 có phương trình.
- Vì tiếp tuyến tại điểm có hoành độ x = 1 song song với đường thẳng d nên
Chọn C
Câu 12:
- Ta có:
Chọn A.
Câu 13:
- Ta có:
Chọn D
Câu 14:
- Ta có:
Chọn B
Câu 15:
- Gia tốc tức thời của chuyển động tại thời điểm t bằng đạo hàm cấp hai của phương trình chuyển động tại thời điểm t.
- Ta có:
- Suy ra, phương trình gia tốc của chuyển động là:
a(t) = s’’(t) = 6t – 6 (m/ s2)
- Do đó, gia tốc của chuyển động khi t = 3 là: a(3) = 12 (m/ s2)
Chọn D.
Đề kiểm tra 45 phút Đại số 11 Chương 5
Thời gian làm bài: 45 phút
Câu 1: Cho hàm số f(x) liên tục tại x0 . Đạo hàm của f(x) tại x0 là:
Câu 2: Cho hàm số f(x) = x2 - x, đạo hàm của hàm số ứng với số gia Δx của đối số x tại x0 là:
Câu 3: Cho hàm số
Tính đạo hàm của hàm số đã
Câu 4: Xét ba mệnh đề sau:
(1) Nếu hàm số f(x) có đạo hàm tại điểm x = x0 thì f(x) liên tục tại điểm đó.
(2) Nếu hàm số f(x) liên tục tại điểm x = x0 thì f(x) có đạo hàm tại điểm đó.
(3) Nếu f(x) gián đoạn tại x = x0 thì chắc chắn f(x) không có đạo hàm tại điểm đó.
- Trong ba câu trên:
A. Có hai câu đúng và một câu sai.
B. Có một câu đúng và hai câu sai.
C. Cả ba đều đúng.
D. Cả ba đều sai.
Câu 5: Cho hàm số f(x) xác định trên ℜ\{1} bởi
Giá trị của bằng:
Câu 6: Tìm a,b để hàm số
có đạo hàm tại x = 0?
Câu 7: Đạo hàm của hàm số
bằng biểu thức nào sau đây?
Câu 8: Cho
Tính f'(1).
Câu 9: Cho hàm số
Với giá trị nào của k thì
?
Câu 10: Đạo hàm của hàm số
là:
Câu 11: Tính đạo hàm của hàm số sau:
Câu 12: Hàm số xác định trên
. Đạo hàm của hàm f(x) là:
Câu 13: Giải bất phương trình f'(x) < 0 với
Câu 14: Cho hàm số y = 2x3 - 3x2 – 5. Các nghiệm của phương trình y’ = 0 là:
Câu 15: Cho hàm số
. Tập nghiệm của bất phương trình f'(x) > 0 là:
Câu 16: Cho hàm số
. Số x = 1 là nghiệm của bất phương trình f'(x) ≤ 1 khi và chỉ khi:
Câu 17: Xét hàm số
. Tính giá trị
bằng:
Câu 18: Đạo hàm của
là:
Câu 19: Cho hàm số
. Khi đó phương trình y' = 0 có nghiệm là:
Câu 20: Cho hàm số
. Xét hai kết quả:
- Kết quả nào đúng?
A. Cả hai đều sai.
B. Chỉ (II).
C. Chỉ (I).
D. Cả hai đều đúng.
Câu 21: Tính đạo hàm của hàm số sau:
Câu 22: Phương trình tiếp tuyến của đồ thị của hàm số y = x(3 - x)2 tại điểm có hoành độ x = 2 là:
Câu 23: Cho hàm số
có đồ thị hàm số (C). Phương trình tiếp tuyến của (C) tại điểm có hoành độ là nghiệm của phương trình y" = 0 là:
Câu 24: Cho hàm số
, có đồ thị là (C). Tìm biết tiếp tuyến của đồ thị (C) tại giao điểm của (C) và trục Ox có phương trình là
Câu 25: Trên đồ thị của hàm số
có điểm M sao cho tiếp tuyến tại đó cùng với các trục tọa độ tạo thành một tam giác có diện tích bằng 2. Tọa độ M là:
Câu 26: Tiếp tuyến của đồ thị hàm số
có hệ số góc k = -9 có phương trình là:
Câu 27: Cho hàm số
có đồ thị cắt trục tung tại A(0; -1), tiếp tuyến tại A có hệ số góc k = -3. Các giá trị của a, b là
Câu 28: Cho hàm số
, tiếp tuyến của đồ thị hàm số kẻ từ điểm (- 6; 5) là:
Câu 29: Tìm vi phân của các hàm số y = sin 2x +sin3x
Câu 30: Cho hàm số
. Vi phân của hàm số là:
Câu 31: Hàm số
có đạo hàm cấp hai bằng:
Câu 32: Cho hàm số
. Tính y"(1).
Câu 33: Cho chuyển động thẳng xác định bởi phương trình
(t tính bằng giây; s tính bằng mét). Khẳng định nào sau đây đúng ?
A. Vận tốc của chuyển động bằng khi t = 0 hoặc t = 2.
B. Vận tốc của chuyển động tại thời điểm t= 2 là v = 18m/s.
C. Gia tốc của chuyển động tại thời điểm t = 3 là a = 12m/s2.
D. Gia tốc của chuyển động bằng 0 khi t = 0.
Đáp án & Hướng dẫn giải
Câu 1:
- Định nghĩa:
- Cho h = Δx, khi Δx → 0 thì h → 0 nên ta có:
Chọn C
Câu 2:
- Ta có :
- Nên:
Chọn B.
Câu 3:
- Ta có :
Chọn C.
Câu 4:
(1) Nếu hàm số f(x) có đạo hàm tại điểm x = x0 thì f(x) liên tục tại điểm đó. Đây là mệnh đề đúng.
(2) Nếu hàm số f(x) liên tục tại điểm x = x0 thì f(x) có đạo hàm tại điểm đó. Đây là mệnh đề sai.
- Ví dụ: Lấy hàm f(x) = |x| ta có tập xác định D = R .
+)Với mọi x0 ≠ 0 thì
+)Lại có:
→ Nên hàm số f(x) liên tục trên R.
+) Nhưng ta có:
→ Nên hàm số không có đạo hàm tại x = 0.
→ Vậy mệnh đề (2) là mệnh đề sai.
(3) Nếu f(x) gián đoạn tại x = x0 thì chắc chắn f(x) không có đạo hàm tại điểm đó.
- Vì (1) là mệnh đề đúng nên ta suy ra : Nếu f(x) không liên tục tại x = x0 thì f(x) không có đạo hàm tại điểm đó.
- Vậy (3) là mệnh đề đúng.
Chọn A.
Câu 5:
- Ta có :
Chọn B.
Câu 6:
- Để hàm số đã cho có đạo hàm tại x = 0 khi và chỉ khi:
+ Hàm số liên tục tại x = 0
+ Đạo hàm bên trái và đạo hàm bên phải tại điểm x = 0 bằng nhau.
+) Ta có:
- Do đó, để hàm số liên tục tại x = 0 khi b = 1.
+) Ta có: f(0) = 1.
- Vậy a = 0, b = 1 là những giá trị cần tìm.
Chọn C.
Câu 7:
- Ta có :
Chọn C.
Câu 8:
- Sử dụng công thức:
Chọn A.
Câu 9:
- Ta có :
Chọn B.
Câu 10:
- Đặt u = x3 - 2x2 thì:
- Theo công thức tính đạo hàm của hàm số hợp, ta có:
Chọn B.
Câu 11:
- Ta có :
Chọn D.
Câu 12:
- Sử dụng công thức đạo hàm hợp:
- Ta có :
Chọn A.
Câu 13:
Chọn A.
Câu 14:
- Ta có :
Chọn D.
Câu 15:
- Với ∀x ≠ 1, ta có:
Chọn A.
Câu 16:
Chọn D.
Câu 17:
- Ta có :
Chọn D.
Câu 18:
- Ta có :
Chọn B.
Câu 19:
- Ta có :
Chọn C.
Câu 20:
- Ta có :
+) Xét (I) ta có:
+) Do đó, (I) đúng và (II) sai.
Chọn B.
Câu 21:
- Bước đầu tiên ta áp dụng công thức (uα)' với
- Ta có :
- Tính :
Chọn D.
Câu 22:
- Gọi M(x0; y0) là tọa độ tiếp điểm.
- Ta có :
- Vậy phương trình tiếp tuyến cần tìm là
Chọn A.
Câu 23:
- Ta có :
- Theo giả thiết x0 là nghiệm của phương trình:
- Phương trình tiếp tuyến tại điểm
là:
Chọn A.
Câu 24:
- Ta có:
+) Giao điểm của tiếp tuyến của đồ thị (C) tại giao điểm của (C) và trục Ox là:
+) Tiếp tuyến tại A có phương trình:
+) Tiếp tuyến tại A có hệ số góc:
- Giải hệ phương trình (1) và (2) ta được: a = -1, b = 4.
Chọn D.
Câu 25:
- Ta có :
Lấy điểm M(x0; y0) ∈ C.
+ Phương trình tiếp tuyến tại điểm M là:
+ Giao với trục hoành:
+ Giao với trục tung:
- Ta có:
- Theo giả thiết tam giác OAB có diện tích bằng 2 nên:
Chọn D
Câu 26:
- Tập xác định: D = R.
- Đạo hàm: y' = x2 + 6x.
- Tiếp tuyến tại điểm M(x0, y0) của đồ thị hàm số có hệ số góc là – 9
- Do đó, phương trình tiếp tuyến của đồ thị hàm số tại điểm M(-3, 16) là:
y = -9(x + 3) + 16 hay y = -9x – 11.
Chọn A.
Câu 27:
- Ta có:
- Hệ số góc của tiếp tuyến với đồ thị tại điểm A là: k = y'(0)
Chọn B.
Câu 28:
- Ta có:
- Phương trình tiếp tuyến của đồ thị
tại điểm M(x0; y0)∈(C) với x0 ≠ 2 là:
- Vì tiếp tuyến đi qua điểm (- 6; 5) nên ta có:
+ Với x0 = 0 thay vào (*) ta có phương trình tiếp tuyến là: y = -x-1
+ Với x0 = 6 thay vào (*) ta có phương trình tiếp tuyến là:
- Vậy có hai tiếp tuyến thỏa đề bài là:
Chọn B.
Câu 29:
- Ta có :
- Do đó, vi phân của hàm số đã cho là :
Chọn B.
Câu 30:
- Do đó, vi phân của hàm số đã cho là:
Chọn D.
Câu 31:
- Ta có :
Chọn C.
Câu 32:
- Ta có :
Chọn B.
Câu 33:
- Phương trình vận tốc của chuyển động là:
- Phương trình gia tốc của chuyển động là:
Chọn C.
Xem thêm các Đề thi Toán 11 chọn lọc, có đáp án hay khác:
Để học tốt lớp 11 các môn học sách mới:
- Giải bài tập Lớp 11 Kết nối tri thức
- Giải bài tập Lớp 11 Chân trời sáng tạo
- Giải bài tập Lớp 11 Cánh diều
Tủ sách VIETJACK shopee lớp 10-11 (cả 3 bộ sách):
Đã có app VietJack trên điện thoại, giải bài tập SGK, SBT Soạn văn, Văn mẫu, Thi online, Bài giảng....miễn phí. Tải ngay ứng dụng trên Android và iOS.
Theo dõi chúng tôi miễn phí trên mạng xã hội facebook và youtube:Nếu thấy hay, hãy động viên và chia sẻ nhé! Các bình luận không phù hợp với nội quy bình luận trang web sẽ bị cấm bình luận vĩnh viễn.
- Giáo án lớp 11 (các môn học)
- Giáo án điện tử lớp 11 (các môn học)
- Giáo án Toán 11
- Giáo án Ngữ văn 11
- Giáo án Tiếng Anh 11
- Giáo án Vật Lí 11
- Giáo án Hóa học 11
- Giáo án Sinh học 11
- Giáo án Lịch Sử 11
- Giáo án Địa Lí 11
- Giáo án KTPL 11
- Giáo án HĐTN 11
- Giáo án Tin học 11
- Giáo án Công nghệ 11
- Giáo án GDQP 11
- Đề thi lớp 11 (các môn học)
- Đề thi Ngữ Văn 11 (có đáp án)
- Chuyên đề Tiếng Việt lớp 11
- Đề cương ôn tập Văn 11
- Đề thi Toán 11 (có đáp án)
- Đề thi Toán 11 cấu trúc mới
- Đề cương ôn tập Toán 11
- Đề thi Tiếng Anh 11 (có đáp án)
- Đề thi Tiếng Anh 11 mới (có đáp án)
- Đề thi Vật Lí 11 (có đáp án)
- Đề thi Hóa học 11 (có đáp án)
- Đề thi Sinh học 11 (có đáp án)
- Đề thi Lịch Sử 11
- Đề thi Địa Lí 11 (có đáp án)
- Đề thi KTPL 11
- Đề thi Tin học 11 (có đáp án)
- Đề thi Công nghệ 11
- Đề thi GDQP 11 (có đáp án)


Giải bài tập SGK & SBT
Tài liệu giáo viên
Sách
Khóa học
Thi online
Hỏi đáp

