34+ Đề thi Giữa kì 1 Toán 11 Chân trời sáng tạo (cấu trúc mới, có đáp án)
Với bộ 34+ Đề thi Toán 11 Giữa kì 1 Chân trời sáng tạo năm 2026 theo cấu trúc mới có đáp án và ma trận được biên soạn và chọn lọc từ đề thi Toán 11 của các trường THPT trên cả nước sẽ giúp học sinh lớp 11 ôn tập và đạt kết quả cao trong các bài thi Giữa học kì 1 Toán 11.
34+ Đề thi Giữa kì 1 Toán 11 Chân trời sáng tạo (cấu trúc mới, có đáp án)
Chỉ từ 150k mua trọn bộ Đề thi Giữa kì 1 Toán 11 Chân trời sáng tạo theo cấu trúc mới bản word có lời giải chi tiết:
- B1: gửi phí vào tk:
1133836868- CT TNHH DAU TU VA DV GD VIETJACK - Ngân hàng MB (QR) - B2: Nhắn tin tới Zalo VietJack Official - nhấn vào đây để thông báo và nhận đề thi
Đề thi Giữa kì 1 Toán 11 Chân trời sáng tạo (Giáo viên VietJack)
Đề thi Giữa kì 1 Toán 11 năm 2025-2026 (trên cả nước)
Đề thi Giữa kì 1 Toán 11 THCS&THPT Nguyễn Bỉnh Khiêm năm 2025-2026
Đề thi Giữa kì 1 Toán 11 THPT Nguyễn Thị Minh Khai năm 2025-2026
Sở Giáo dục và Đào tạo ...
Đề thi Giữa kì 1 - Chân trời sáng tạo
năm 2025
Môn: Toán 11
Thời gian làm bài: phút
(Đề số 1)
Phần I. Câu trắc nghiệm nhiều phương án lựa chọn. Học sinh trả lời từ câu 1 đến câu 12. Mỗi câu hỏi, học sinh chỉ chọn một phương án
Câu 1. Góc có số đo 108° đổi sang radian là
A.
B.
C.
D.
Câu 2. Chọn khẳng định đúng trong các khẳng định sau:
A.
B.
C.
D.
Câu 3. Tập xác định của hàm số là
A. D = ℝ.
B. D = ℝ \ {0}.
C.
D.
Câu 4. Nếu thì sin2x bằng
A.
B.
C.
D.
Câu 5. Nghiệm của phương tình 2sinx + 1 = 0 là
A.
B.
C.
D.
Câu 6. Dãy số là dãy số tăng khi và chỉ khi
A.
B.
C.
D.
Câu 7. Trong các dãy số sau, dãy nào là một cấp số cộng?
A. 1; -3; -6; -9; -12.
B. 1; -3; -7; -11; -15
C. 1; -3; -5; -7; -9.
D. 1; -2; -4; -6; -8.
Câu 8. Cho cấp số cộng có và công sai d = 3. Tổng 4 số hạng đầu của là:
A.
B.
C.
D.
Câu 9. Phát biểu nào dưới đây là sai?
A.
B. (C là hằng số).
C. (k nguyên dương).
D.
Câu 10. Giới hạn của dãy số với là
A.
B.
C.
D.
Câu 11. Cho hình chóp S.ABCD. Giao tuyến của hai mặt phẳng (SAB) và (SBC) là
A. SA.
B. SB.
C. SC.
D. AC.
Câu 12. Cho tứ diện ABCD. Gọi M, N lần lượt là trung điểm AD và AC. Gọi G là trọng tâm tam giác BCD. Giao tuyến của hai mặt phẳng (GMN) và (BCD) là đường thẳng:
A. qua M và song song với AB.
B. qua N và song song với BD.
C. qua G và song song với CD.
D. qua G và song song với BC.
Phần II. Câu trắc nghiệm đúng sai. Học sinh trả lời từ câu 1 đến câu 4. Trong mỗi ý a), b), c), d) ở mỗi câu hỏi, học sinh chọn Đúng hoặc Sai.
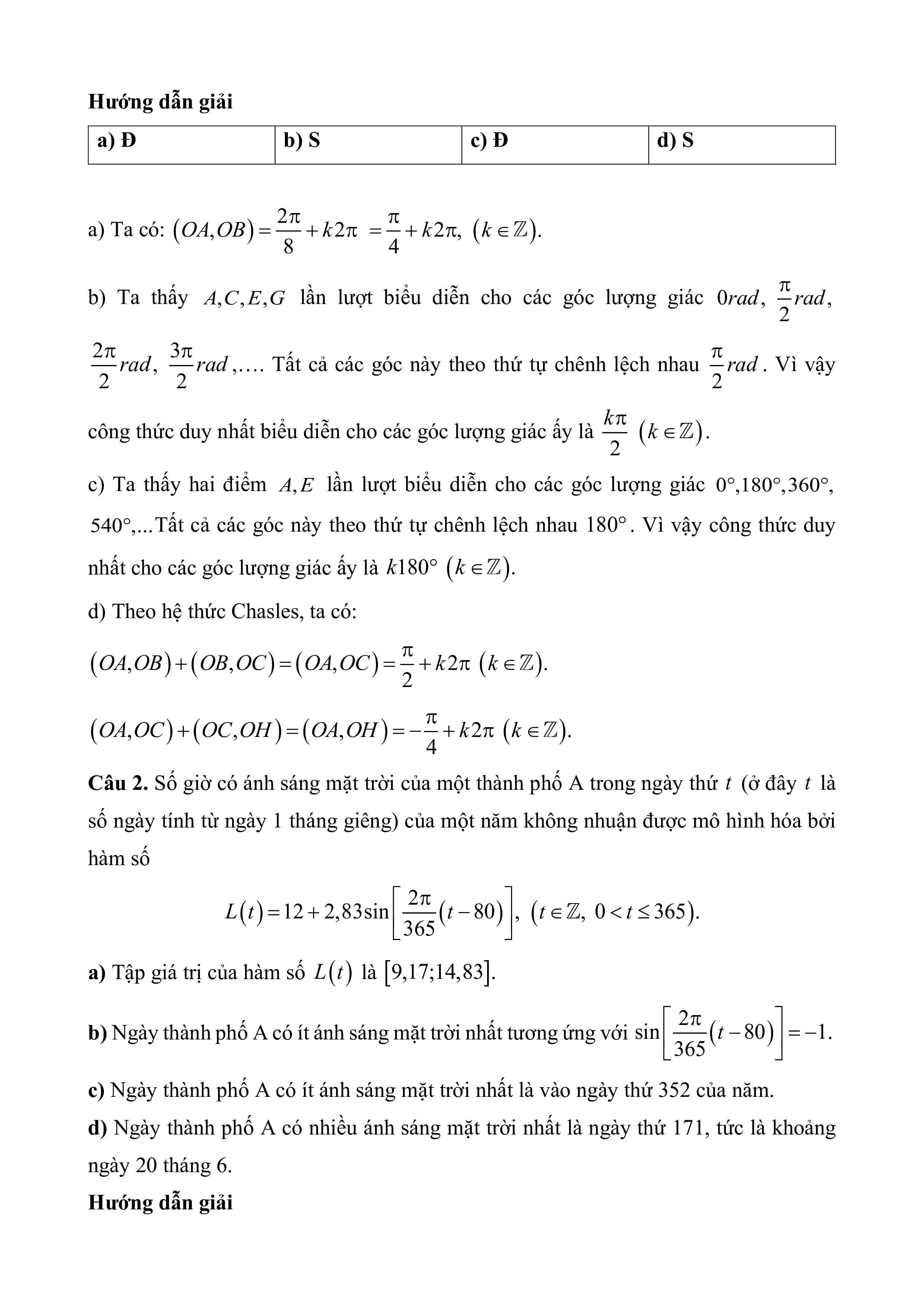
Câu 1. Trong hình vẽ bên, ta xem hình ảnh đường tròn trên một bánh lái tàu thủy tương ứng với một đường tròn lượng giác.
a) Công thức tổng quát biểu diễn góc lượng giác (OA, OB) theo đơn vị radian là
b) Công thức tổng quát biểu diễn góc lượng giác tương ứng với bốn điểm biểu diễn là A, C, E, G theo đơn vị radian là
c) Công thức tổng quát biểu diễn góc lượng giác tương ứng với hai điểm biểu diễn là A, E theo đơn vị đo độ là
d) Công thức tổng quát biểu diễn góc lượng giác (OA, OC) + (OC, OH) theo đơn vị radian là
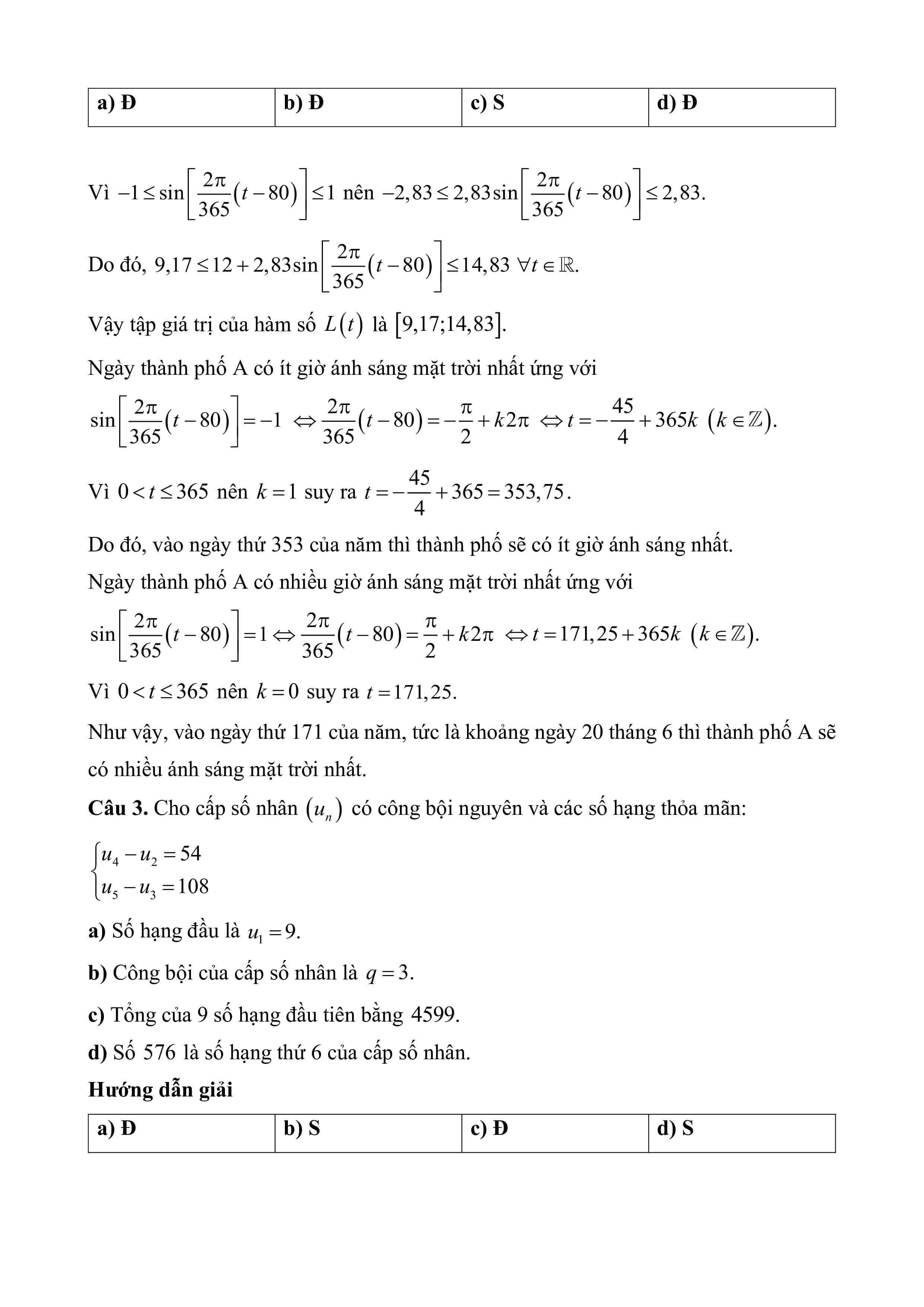
Câu 2. Số giờ có ánh sáng mặt trời của một thành phố A trong ngày thứ t (ở đây t là số ngày tính từ ngày 1 tháng giêng) của một năm không nhuận được mô hình hóa bởi hàm số
a) Tập giá trị của hàm số L(t) là [9,17; 14,83].
b) Ngày thành phố A có ít ánh sáng mặt trời nhất tương ứng với
c) Ngày thành phố A có ít ánh sáng mặt trời nhất là vào ngày thứ 352 của năm.
d) Ngày thành phố A có nhiều ánh sáng mặt trời nhất là ngày thứ 171, tức là khoảng ngày 20 tháng 6.
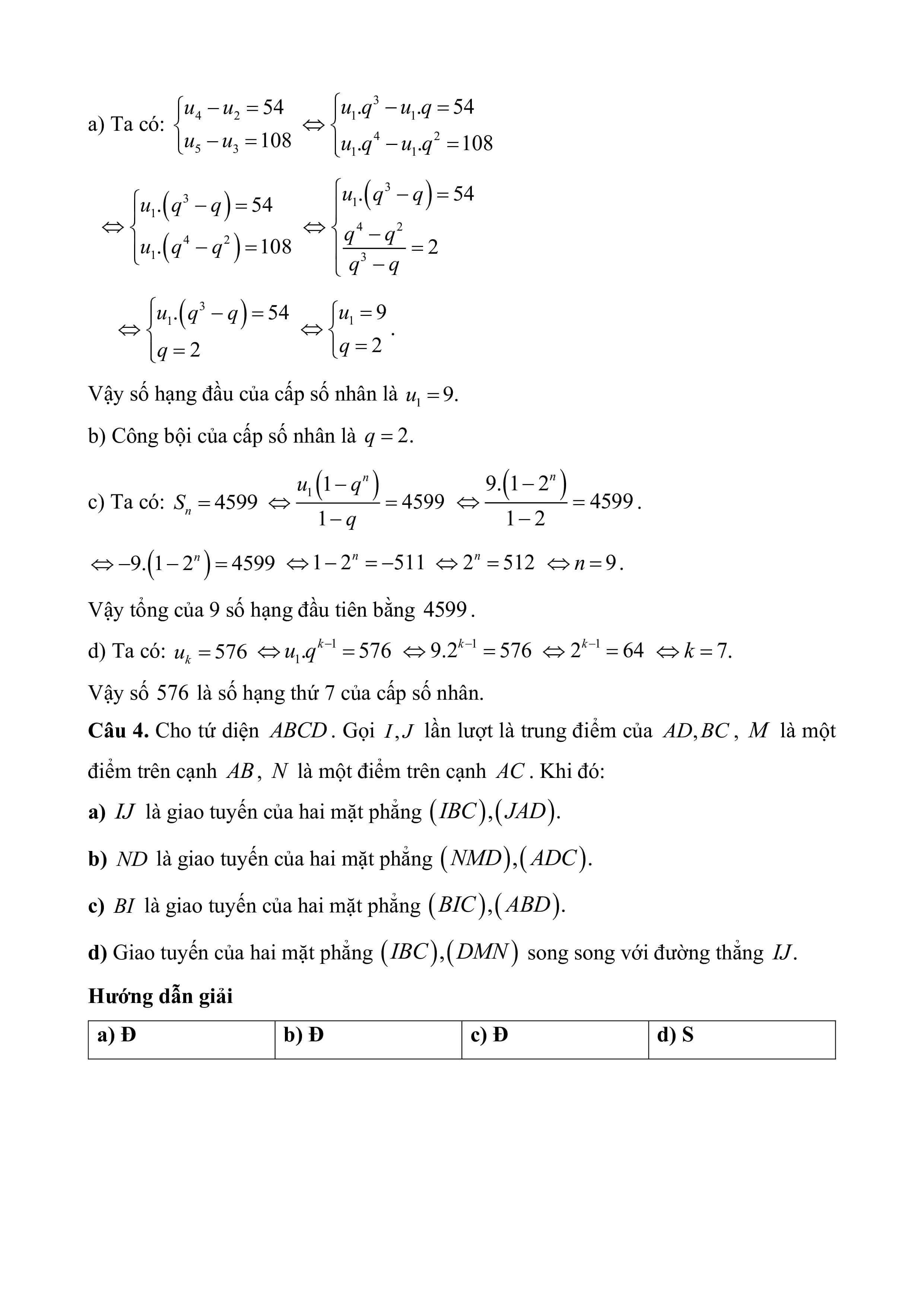
Câu 3.Cho cấp số nhân có công bội nguyên và các số hạng thỏa mãn:
a) Số hạng đầu là u1 = 9.
b) Công bội của cấp số nhân là q = 3.
c) Tổng của 9 số hạng đầu tiên bằng 4599.
d) Số 576 là số hạng thứ 6 của cấp số nhân.
Câu 4. Cho tứ diện ABCD . Gọi I, J lần lượt là trung điểm của AD, BC, M là một điểm trên cạnh AB, N là một điểm trên cạnh AC. Khi đó:
a) IJ là giao tuyến của hai mặt phẳng (IBC), (JAD).
b) ND là giao tuyến của hai mặt phẳng (NMD), (ADC).
c) BI là giao tuyến của hai mặt phẳng (BIC), (ABD).
d) Giao tuyến của hai mặt phẳng (IBC), (DMN) song song với đường thẳng IJ.
Phần III. Câu trắc nghiệm trả lời ngắn. Học sinh trả lời từ câu 1 đến câu 6.
Câu 1. Tính giá trị lớn nhất của hàm số .
Câu 2. Hằng ngày mực nước của con kênh lên xuống theo thủy triều. Độ sâu h (mét) của mực nước trong kênh được tính tại thời điểm t (giờ) trong một ngày bởi công thức . Mực nước của kênh cao nhất khi t bằng bao nhiêu?
Câu 3. Cho cấp số nhân (un) có u1 = 3 và 15u1 - 4u2 + u3 đạt giá trị nhỏ nhất. Tìm số hạng thứ 11 của cấp số nhân đã cho.
Câu 4. Nếu anh Nam nhận được lời mời làm việc cho một công ty nước ngoài với mức lương khởi điểm là 35000 đô la mỗi năm và được tăng thêm 1400 đô la lương mỗi năm, thì sẽ mất bao nhiêu năm làm việc để tổng lương mà anh Nam nhận được là 319200 đô la?
Câu 5.Tính giới hạn (viết kết quả dưới dạng số thập phân).
Câu 6. Cho hình chóp S.ABCD có đáy ABCD là hình thang với AD \\ BC và AD = 2BC. Gọi M là điểm trên cạnh SD thỏa mãn Mặt phẳng (ABM) cắt cạnh bên SC tại điểm N. Tính tỉ số
Sở Giáo dục và Đào tạo ...
Đề thi Giữa kì 1 - Chân trời sáng tạo
năm 2025
Môn: Toán 11
Thời gian làm bài: phút
(Đề số 2)
PHẦN I. TRẮC NGHIỆM KHÁCH QUAN (7,0 điểm)
Hãy khoanh tròn vào phương án đúng duy nhất trong mỗi câu dưới đây.
Câu 1. Đổi số đo của góc sang rađian.
A.
B.
C.
D.
Câu 2. Trong mặt phẳng tọa độ cho đường tròn lượng giác như hình vẽ bên dưới. Hỏi góc lượng giác nào sau đây có số đo là
A.
B.
C.
D.
Câu 3. Trong mặt phẳng tọa độ trên đường tròn lượng giác gọi điểm M là điểm biểu diễn của góc Lấy điểm N đối xứng với M qua gốc tọa độ. Hỏi N là điểm biểu diễn của góc có số đo bằng bao nhiêu?
A.
B.
C.
D.
Câu 4. Cho thuộc góc phần phần tư thứ nhất của đường tròn lượng giác. Khẳng định nào sau đây là đúng?
A.
B. .
C. .
D. .
Câu 5. Mệnh đề nào sau đây là sai?
A. .
B. .
C. .
D. .
Câu 6.Cho góc thỏa mãn và . Tính .
A. .
B. .
C. .
D.
Câu 7.Khẳng định nào sau đây đúng?
A. .
B. .
C. .
D.
Câu 8.Cho các đẳng thức sau:
1) .
2) .
3) .
4) .
Có bao nhiêu đẳng thức dưới đây là đồng nhất thức?
A. 1.
B. 2.
C. 3.
D. 4.
Câu 9. Cho góc thỏa mãn . Tính .
A. .
B. .
C. .
D. .
Câu 10. Tìm tập xác định D của hàm số
A.
B.
C.
D.
Câu 11. Đường cong trong hình dưới đây là đồ thị của một hàm số trong bốn hàm số được liệt kê ở bốn phương án A, B, C, D.
Hỏi hàm số đó là hàm số nào?
A.
B.
C.
D.
Câu 12. Hàm số có tất cả bao nhiêu giá trị nguyên?
A. 3.
B. 4.
C. 5.
D. 6.
Câu 13. Trong các phương trình sau, phương trình tương đương với phương trình là
A. .
B. .
C. .
D. .
Câu 14. Tất cả nghiệm của phương trình là
A. .
B. .
C. .
D. .
Câu 15. Tất cả nghiệm của phương trình là
A. .
B. .
C. .
D.
Câu 16. Nghiệm âm lớn nhất của phương trình lượng giác là
A. .
B.
C. .
D. .
Câu 17. Cho dãy số là dãy số tự nhiên lẻ theo thứ tự tăng dần và . Năm số hạng đầu của dãy số là:
A. .
B. .
C. .
D.
Câu 18. Trong các dãy số sau, dãy số nào không là dãy số bị chặn?
A. với .
B. với
C.
D. với .
Câu 19. Cho dãy số với , a là số thực. Tìm một giá trị của a để là dãy số giảm.
A. .
B. 1.
C. 0.
D. .
Câu 20. Trong các dãy số được cho dưới đây, dãy số nào không phải là cấp số cộng?
A..
B..
C..
D..
Câu 21. Trong các dãy số được cho dưới đây, dãy số nào không phải là cấp số cộng?
A. .
B. .
C. .
D. .
Câu 22. Cho hai số -3 và 23. Xen kẽ giữa hai số đã cho n số hạng để tất cả các số đó tạo thành cấp số cộng có công sai d=2. Tìm n.
A. n=12
B. n=13.
C. n=14.
D. n=15.
Câu 23. Tìm n số hạng đầu tiên của một cấp số cộng với . Tìm số hạng tổng quát của cấp số cộng đã cho.
A..
B..
C..
D.
Câu 24. Dãy số nào sau đây không phải là cấp số nhân?
A.
B.
C. .
D.
Câu 25. Dãy số là cấp số nhânvới
A. Công bội là 3 và số hạng đầu tiên là 1.
B.Công bội là 2 và số hạng đầu tiên là 1.
C.Công bội là 4 và số hạng đầu tiên là 2.
D.Công bội là 2 và số hạng đầu tiên là 2.
Câu 26. Tìm tất cả giá trị của để ba số theo thứ tự đó lập thành một cấp số nhân.
A..
B..
C..
D.
Câu 27. Cho cấp số nhân có tổng n số hạng đầu tiên là . Tìm số hạng thứ 5 của cấp số nhân đã cho.
A. .
B..
C.
D..
Câu 28. Trong các khẳng định sau, khẳng định nào đúng?
A. Qua 2 điểm phân biệt có duy nhất một mặt phẳng.
B.Qua 3 điểm phân biệt bất kì có duy nhất một mặt phẳng.
C.Qua 3 điểm không thẳng hàng có duy nhất một mặt phẳng.
D.Qua 4 điểm phân biệt bất kì có duy nhất một mặt phẳng.
Câu 29. Các yếu tố nào sau đây xác định một mặt phẳng duy nhất?
A. Ba điểm phân biệt.
B.Một điểm và một đường thẳng.
C.Hai đường thẳng cắt nhau.
D.Bốn điểm phân biệt.
Câu 30. Cho mặt phẳng , cho 4 điểm trong đó không có ba điểm nào thẳng hàng. Điểm S không thuộc mặt phẳng . Có mấy mặt phẳng tạo bởi S và 2 trong 4 điểm nói trên?
A.4.
B.8.
C.5.
D.6.
Câu 31. Cho bốn điểm không đồng phẳng. Gọi lần lượt là trung điểm của và . Trên đoạn lấy điểm P sao cho . Giao điểm của đường thẳng và mặt phẳng là giao điểm của
A. CD và NP.
B. CD và MN.
C. CD và MP.
D.CD và AP.
Câu 32. Trong các mệnh đề sau, mệnh đề nào đúng?
A. Hai đường thẳng có một điểm chung thì chúng có vô số điểm chung khác.
B.Hai đường thẳng song song khi và chỉ khi chúng không có điểm chung.
C.Hai đường thẳng song song khi và chỉ khi chúng không đồng phẳng.
D.Hai đường thẳng chéo nhau khi và chỉ khi chúng không đồng phẳng.
Câu 33. Trong không gian, cho ba đường thẳng phân biệt trong đó . Khẳng định nào sau đây sai?
A. Nếu thì .
B.Nếu c cắt a thì c cắt b.
C.Nếu và thì ba đường thẳng cùng ở trên một mặt phẳng.
D.Tồn tại duy nhất một mặt phẳng qua a và b.
Câu 34. Cho hình chóp có là hình bình hành. Gọi d là giao tuyến của hai mặt phẳng và . Khẳng định nào sau đây đúng?
A. d qua S và song song với BC.
B. d qua S và song song với DC.
C. d qua S và song song với AB.
D. d qua S và song song với BD.
Câu 35. Gọi G là trọng tâm tứ diện . Gọi là trọng tâm của tam giác . Tính tỉ số
A.2.
B.3.
C.
D.
II. Tự luận (3,0 điểm)
Bài 1. (1,0 điểm) Số giờ có ánh sáng mặt trời của một thành phố A trong ngày thứ t của năm 2017 được cho bởi một hàm số với và . Vào ngày nào trong năm thì thành phố A có nhiều giờ có ánh sáng mặt trời nhất?
Bài 2. (1,0 điểm) Một du khách vào chuồng đua ngựa đặt cược, lần đầu đặt 20000 đồng, mỗi lần sau đặt gấp đôi lần cọc trước. Người đó thua 9 lần liên tiếp và thắng ở lần thứ 10. Hỏi du khách trên thắng hay thua bao nhiêu?
Bài 3. (1,0 điểm) Cho hình chóp tứ giác S.ABCD có đáy ABCD là hình bình hành và N là trung điểm của cạnh SA.
a) Tìm giao điểm của AC và mặt phẳng (SBD)
b) Tìm thiết diện của hình chóp khi cắt bởi mặt phẳng (NBC). Thiết diện là hình gì?
-------------- HẾT --------------
ĐÁP ÁN ĐỀ SỐ 01
I. Bảng đáp án trắc nghiệm
|
1. C |
2. C |
3. A |
4. A |
5. D |
6. B |
7. D |
|
8. B |
9. C |
10. D |
11. A |
12. C |
13. B |
14. D |
|
15. D |
16. A |
17. C |
18. D |
19. B |
20. D |
21. A |
|
22. A |
23. A |
24. C |
25. B |
26. A |
27. A |
28. C |
|
29. C |
30. D |
31. A |
32. D |
33. B |
34. A |
35. B |
II. Hướng dẫn giải chi tiết tự luận
Bài 1. (1,0 điểm)
Mà nên .
Với k = 0 rơi vào ngày 29 tháng 5 (vì ta đã biết tháng 1 và 3 có 31 ngày, tháng 4 có 30 ngày, riêng đối với năm 2017 thì không phải năm nhuận nên tháng 2 có 28 ngày hoặc dựa vào dữ kiện thì ta biết năm này tháng 2 chỉ có 28 ngày).
Bài 2. (1,0 điểm)
Du khách thu trong 9 lần đầu tiên nên tổng số tiền thua là:
S9 = u1 + u2 + ... + u9 = = 10 220 000 (đồng)
Số tiền mà du khách thắng trong lần thứ 10 là:
u10 = u1p9 = 10 240 000 (đồng)
Ta có u10 - S9 = 10 240 000 - 10 220 000 = 20 000 > 0 nên du khách thắng 20 000 đồng.
Bài 3. (1,0 điểm)
a) Gọi O là giao điểm của AC và BD.
Khi đó .
Vậy O là giao điểm của AC và mặt phẳng (SBD).
b) Ta có:
Vậy thiết diện là hình thang MNCD.
................................
................................
................................
Trên đây tóm tắt một số nội dung miễn phí trong bộ Đề thi Toán 11 Chân trời sáng tạo năm 2026 mới nhất, để mua tài liệu trả phí đầy đủ, Thầy/Cô vui lòng xem thử:
Tham khảo đề thi Toán 11 Chân trời sáng tạo có đáp án hay khác:
Để học tốt lớp 11 các môn học sách mới:
- Giải bài tập Lớp 11 Kết nối tri thức
- Giải bài tập Lớp 11 Chân trời sáng tạo
- Giải bài tập Lớp 11 Cánh diều
Tủ sách VIETJACK shopee lớp 10-11 (cả 3 bộ sách):
Đã có app VietJack trên điện thoại, giải bài tập SGK, SBT Soạn văn, Văn mẫu, Thi online, Bài giảng....miễn phí. Tải ngay ứng dụng trên Android và iOS.
Theo dõi chúng tôi miễn phí trên mạng xã hội facebook và youtube:Nếu thấy hay, hãy động viên và chia sẻ nhé! Các bình luận không phù hợp với nội quy bình luận trang web sẽ bị cấm bình luận vĩnh viễn.
- Giáo án lớp 11 (các môn học)
- Giáo án điện tử lớp 11 (các môn học)
- Giáo án Toán 11
- Giáo án Ngữ văn 11
- Giáo án Tiếng Anh 11
- Giáo án Vật Lí 11
- Giáo án Hóa học 11
- Giáo án Sinh học 11
- Giáo án Lịch Sử 11
- Giáo án Địa Lí 11
- Giáo án KTPL 11
- Giáo án HĐTN 11
- Giáo án Tin học 11
- Giáo án Công nghệ 11
- Giáo án GDQP 11
- Đề thi lớp 11 (các môn học)
- Đề thi Ngữ Văn 11 (có đáp án)
- Chuyên đề Tiếng Việt lớp 11
- Đề cương ôn tập Văn 11
- Đề thi Toán 11 (có đáp án)
- Đề thi Toán 11 cấu trúc mới
- Đề cương ôn tập Toán 11
- Đề thi Tiếng Anh 11 (có đáp án)
- Đề thi Tiếng Anh 11 mới (có đáp án)
- Đề thi Vật Lí 11 (có đáp án)
- Đề thi Hóa học 11 (có đáp án)
- Đề thi Sinh học 11 (có đáp án)
- Đề thi Lịch Sử 11
- Đề thi Địa Lí 11 (có đáp án)
- Đề thi KTPL 11
- Đề thi Tin học 11 (có đáp án)
- Đề thi Công nghệ 11
- Đề thi GDQP 11 (có đáp án)


Giải bài tập SGK & SBT
Tài liệu giáo viên
Sách
Khóa học
Thi online
Hỏi đáp

