Đề kiểm tra 45 phút Toán 12 Chương 4 Giải tích có đáp án (Đề 1)
Đề kiểm tra Toán 12
Thời gian làm bài: 45 phút
Câu 1. Cho số phức z = 5- 4i. Môđun của số phức z là
A. 3.
B. .
C. 1.
D. 9.
Câu 2. Cho hai số phức z1 = 1 + i và z2 = -5 + 2i. Tính môđun của số phức z1 + z2.
Câu 3. Cho số phức z = 2 + 5i. Tìm số phức
A. w = 7 - 3i.
B. w = -3 - 3i.
C. w = 3 + 3i.
D. w = -7 - 7i.
Câu 4. Trong C, phương trình 2x2 + x + 1 = 0 có nghiệm là:
Câu 5. Cho . Số phức liên hợp của z là:
Câu 6. Biết z1; z2 là hai nghiệm của phương trình . Khi đó giá trị của
là:
Câu 7. Điểm M biểu diễn số phức z = 3 + 2i trong mặt phẳng tọa độ phức là:
A. M(2; 3)
B. M(3; 2)
C. M(3;-2)
D. M(-3;-2)
Câu 8.
Câu 9. Cho số phức z thỏa mãn điều kiện . Phần thực của số phức z là:
A. -3
B. -2
C. 2
D. 3
Câu 10. Cho hai số phức z = -1 + 2i, z' = 3 + 4i. Tích số zz' bằng:
A. -11 + 2i.
B. -11 - 2i.
C. 11 + 2i.
D. 11 - 2i.
Câu 11. Cho số phức z = a + bi (a, b ∈ R). Để điểm biểu diễn của z nằm trong hình tròn như hình 3 (không tính biên), điều kiện của a và b là:
Câu 12. Các số thực x, y thỏa mãn: 3x + y + 5xi = 2y -1 + (x - y)i là
Câu 13. Giá trị của các số thực b, c để phương trình z2 + bz + c = 0 nhận số phức z = 1 + i làm một nghiệm là:
Câu 14. Tập hợp điểm biểu diễn số phức z thỏa mãn |z| = 1 và phần ảo của z bằng 1 là:
A. Giao điểm của đường tròn tâm O, bán kính R = 1 và đường thẳng x = 1.
B. Đường tròn tâm O, bán kính R = 1.
C. Giao điểm của đường tròn tâm O, bán kính R = 1 và đường thẳng y = 1.
D. Đường thẳng y = 1.
Câu 15. Xác định tập hợp các điểm M trong mặt phẳng phức biểu diễn các số phức z thỏa mãn điều kiện:
A. Đường thẳng
B. Đường thẳng
C. Hai đường thẳng , đường thẳng
D. Đường thẳng
Câu 16. Tìm acgumen của
Câu 17. Biết . Tính module của z2012
A. 32012
B. 31006
C. 22012
D. 21006
Câu 18. Cho số phức z thỏa mãn . Viết z dưới dạng z = a + bi, a, b ∈ R. Khi đó tổng a + b có giá trị bằng bao nhiêu?
A. 0.
B. -1
C. 1
D. 2.
Câu 19. Cho số phức , m nguyên dương. Có bao nhiêu giá trị m ∈ [1;100] để z là số thực?
A. 27.
B. 26.
C. 25.
D. 28.
Câu 20. Trong các số phức thỏa mãn điều kiện |z + 3i| = |z + 2 - i|. Tìm số phức có môđun nhỏ nhất?
Đáp án & Hướng dẫn giải
Câu 1. Chọn B
Câu 2. Chọn A.
Câu 3. Chọn B.
Câu 4. Chọn A.
Ta có: Δ = b2 - 4ac = 12 - 4.2.1 = -7 = 7i2 < 0 nên phương trình có hai nghiệm phức là:
Câu 5. Chọn A.
Câu 6. Chọn A.
Câu 7. Chọn B.
Số phức z có phần thực là 3, phần ảo là 2 nên điểm biểu diễn trên mặt phẳng tọa độ là điểm M(3; 2)
Câu 8. Chọn A.
Ta có:
Câu 9. Chọn C.
Giả sử z = x + yi (x,y ∈ R) suy ra
Vậy z = 2 - 3i, phần thực bằng 2.
Câu 10. Chọn A.
Câu 11. Chọn C.
Ta thấy miền mặt phẳng trên hình là hình tròn tâm O(0;0) bán kính bằng R = 2, gọi M(a;b) là điểm thuộc miền mặt phẳng đó thì M(a;b) = {a; b ∈ R; a2 + b2 < 4}
Câu 12. Chọn D.
Câu 13. Chọn C.
Do z = 1 + i là một nghiệm của z2 + bz + c = 0 nên ta có:
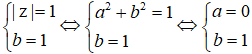
Câu 14. Chọn C
Gọi M(a; b) là điểm biểu diễn số phức A(-1,1), R = 1
Ta có:
Khi đó, số phức z = i và M(0;1)
Vì a2 + b2 = 1 nên điểm M biểu diễn số phức z thuộc đường tròn tâm O(0;0), bán kính R = 1
Vì điểm M(0; 1) nên M thuộc đường thẳng y = 1.
Tập hợp các điểm biểu diễn là giao điểm của đường tròn tâm O, bán kính R = 1 và đường thẳng y = 1.
Câu 15. Chọn C
Gọi M(x ; y) là điểm biểu diễn của số phức z = x + yi trong mặt phẳng phức (x, y ∈ R).
Theo đề bài ta có: ⇔ |x + yi + x - yi + 3| = 4 ⇔ |2x + 3| = 4
Vậy tập hợp điểm M(x;y) cần tìm là đường thẳng đường thẳng và đường thẳng
Câu 16. Chọn B.
Ta có:
Câu 17. Chọn C
Câu 18. Chọn C.
Câu 19. Chọn C.
Để z là số thực khi và chỉ khi
Mà m ∈ [1;100] nên m ∈ {4;8;12;....;96;100}
Vậy có giá trị m thỏa yêu cầu đề bài.
Câu 20. Chọn C.
Xem thêm các Đề thi Toán 12 chọn lọc, có đáp án hay khác:
Đề kiểm tra 45 phút Toán 12 Chương 4 Giải tích có đáp án (Đề 2)
Đề kiểm tra 45 phút Toán 12 Chương 4 Giải tích có đáp án (Đề 3)
Đề kiểm tra 45 phút Toán 12 Chương 4 Giải tích có đáp án (Đề 4)
Để học tốt lớp 12 các môn học sách mới:
- Giải bài tập Lớp 12 Kết nối tri thức
- Giải bài tập Lớp 12 Chân trời sáng tạo
- Giải bài tập Lớp 12 Cánh diều
Đã có app VietJack trên điện thoại, giải bài tập SGK, SBT Soạn văn, Văn mẫu, Thi online, Bài giảng....miễn phí. Tải ngay ứng dụng trên Android và iOS.
Theo dõi chúng tôi miễn phí trên mạng xã hội facebook và youtube:Nếu thấy hay, hãy động viên và chia sẻ nhé! Các bình luận không phù hợp với nội quy bình luận trang web sẽ bị cấm bình luận vĩnh viễn.
- Giáo án lớp 12 (các môn học)
- Giáo án điện tử lớp 12 (các môn học)
- Giáo án Toán 12
- Giáo án Ngữ văn 12
- Giáo án Vật Lí 12
- Giáo án Hóa học 12
- Giáo án Sinh học 12
- Giáo án Địa Lí 12
- Giáo án Lịch Sử 12
- Giáo án Lịch Sử 12 mới
- Giáo án GDCD 12
- Giáo án Kinh tế Pháp luật 12
- Giáo án Tin học 12
- Giáo án Công nghệ 12
- Giáo án GDQP 12
- Đề thi lớp 12 (các môn học)
- Đề thi Ngữ văn 12
- Đề thi Toán 12
- Đề thi Tiếng Anh 12 mới
- Đề thi Tiếng Anh 12
- Đề thi Vật Lí 12
- Đề thi Hóa học 12
- Đề thi Sinh học 12
- Đề thi Địa Lí 12
- Đề thi Lịch Sử 12
- Đề thi Giáo dục Kinh tế Pháp luật 12
- Đề thi Giáo dục quốc phòng 12
- Đề thi Tin học 12
- Đề thi Công nghệ 12


Giải bài tập SGK & SBT
Tài liệu giáo viên
Sách
Khóa học
Thi online
Hỏi đáp

