15+ Đề thi Học kì 1 Toán 12 Kết nối tri thức (cấu trúc mới, có đáp án)
Với bộ 15+ Đề thi Học kì 1 Toán 12 Kết nối tri thức năm 2026 theo cấu trúc mới có đáp án và ma trận được biên soạn và chọn lọc từ đề thi Toán 12 của các trường THPT trên cả nước sẽ giúp học sinh lớp 12 ôn tập và đạt kết quả cao trong các bài thi Học kì 1 Toán 12.
15+ Đề thi Học kì 1 Toán 12 Kết nối tri thức (cấu trúc mới, có đáp án)
Chỉ từ 150k mua trọn bộ Đề thi Toán 12 Học kì 1 Kết nối tri thức có lời giải bản word trình bày đẹp mắt, dễ dàng chỉnh sửa:
- B1: gửi phí vào tk:
1133836868- CT TNHH DAU TU VA DV GD VIETJACK - Ngân hàng MB (QR) - B2: Nhắn tin tới Zalo VietJack Official - nhấn vào đây để thông báo và nhận giáo án
50+ Đề thi Toán 12 Cuối kì 1 năm 2025-2026 (cả nước)
Đề thi Học kì 1 Toán 12 trường Trần Cao Vân (Tp. HCM) năm 2025-2026
Đề thi Học kì 1 Toán 12 trường chuyên Lê Khiết (Quảng Ngãi) năm 2025-2026
Đề thi Học kì 1 Toán 12 trường THPT Trần Phú (Hà Nội) năm 2025-2026
Đề thi Học kì 1 Toán 12 trường THPT Thủ Đức (Tp. HCM) năm 2025-2026
Đề thi Học kì 1 Toán 12 trường THPT Lương Thế Vinh (Tp. HCM) năm 2025-2026
Đề thi Học kì 1 Toán 12 trường THPT Việt Đức (Hà Nội) năm 2025-2026
Đề thi Học kì 1 Toán 12 trường THPT Marie Curie (Tp. HCM) năm 2025-2026
Đề thi Học kì 1 Toán 12 trường THPT Ngô Quyền (Tp. HCM) năm 2025-2026
Đề thi Học kì 1 Toán 12 trường THPT Đại Ngãi (Cần Thơ) năm 2025-2026
Sở Giáo dục và Đào tạo ...
Đề thi Học kì 1 - Kết nối tri thức
Năm học ...
Môn: Toán 12
Thời gian làm bài: phút
(Đề 1)
PHẦN I. TRẮC NGHIỆM KHÁCH QUAN
A. TRẮC NGHIỆM NHIỀU PHƯƠNG ÁN LỰA CHỌN. Thí sinh trả lời từ câu 1 đến câu 12.
Mỗi câu hỏi thí sinh chỉ chọn một phương án.
Câu 1. Cho hàm số y = f(x) có bảng biến thiên như sau
Điểm cực tiểu của đồ thị hàm số đã cho là
A. x = 2.
B. (-2; 1).
C. (2; -3).
D. (-3; 2).
Câu 2. Cho hàm số y = f(x) liên tục trên đoạn [-2; 4] và có đồ thị như hình vẽ dưới đây
Giá trị lớn nhất của hàm số trên đoạn [-2; 4] là:
A. -4.
B. 0.
C. 7.
D. 5.
Câu 3. Cho hàm số y = f(x) có bảng biến thiên như hình vẽ sau
Tìm số đường tiệm cận ngang của đồ thị hàm số y = f(x)
A. 1.
B. 0.
C. 2.
D. 3.
Câu 4. Đồ thị hàm số nào dưới đây có dạng đường cong như hình vẽ?
A. .
B. x3 - 3x + 1.
C. -x3 + 3x + 1.
D. .
Câu 5. Cho hình hộp ABCD.A'B'C'D', tổng là vectơ nào dưới đây?
A. .
B. .
C. .
D. .
Câu 6. Trong không gian với hệ trục tọa độ Oxyz, cho . Tọa độ của vectơ là
A. (3; -2; 1).
B. (-1; 2; -3).
C. (2; -3; -1).
D. (1; -2; 3).
Câu 7. Thời gian chạy bộ mỗi ngày trong thời gian gần đây của bạn Thuận được thống kê ở bảng sau:
|
Thời gian (phút) |
[20; 25) |
[25; 30) |
[30; 35) |
[35; 40) |
[40; 45) |
|
Số ngày |
6 |
6 |
4 |
1 |
1 |
Khoảng biến thiên của mẫu số liệu ghép nhóm là
A. 20.
B. 30.
C. 15.
D. 25.
Câu 8. Biết rằng phương sai của một mẫu số liệu ghép nhóm là s2 = 36,36. Độ lệch chuẩn của mẫu số liệu ghép nhóm này là
A. 6,19.
B. 6,03.
C. 2,08.
D. 6,01.
Câu 9. Cho hàm số y = f(x) có đạo hàm . Mệnh đề nào sau đây đúng?
A. f(0) = f(4).
B. f(0) > f(2).
C. f(4) > f(0).
D. f(4) > f(2).
Câu 10. Cho hàm số có đồ thị như hình vẽ. Chọn mệnh đề đúng
A. ac > 0.
B. cd > 0.
C. ab > 0.
D. ad > bc.
Câu 11. Trong không gian Oxyz cho ba điểm A(1; 2; -1), B(2; -1; 3), C(-3; 5; 1). Tọa độ điểm D sao cho tứ giác ABCD là hình bình hành là
A. (-2; 8; -3).
B. (-2; 2; 5).
C. (-4; 8; -5).
D. (-4; 8; -3).
Câu 12. Trong không gian với hệ trục tọa độ Oxyz, cho và . Vectơ có tọa độ là
A. .
B. .
C. .
D. .
B. TRẮC NGHIỆM ĐÚNG - SAI. Thí sinh trả lời từ câu 1 đến câu 2. Trong mỗi ý a), b), c), d) ở mỗi câu, thí sinh chọn đúng hoặc sai.
Câu 1. Cho hàm số bậc ba f(x) = ax3 + bx2 + cx + d có đồ thị như hình vẽ dưới đây
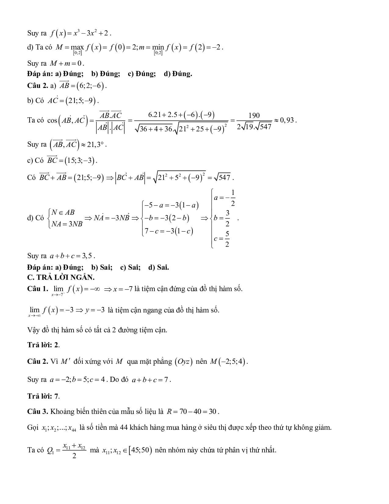
a) Hàm số đạt cực tiểu tại x = 2.
b) Có 3 giá trị nguyên của m để phương trình f(x) = m có 3 nghiệm phân biệt.
c) Đường cong trên là đồ thị hàm số f(x) = x3 - 3x2 + 2.
d) Gọi M và m lần lượt là giá trị lớn nhất và giá trị nhỏ nhất của hàm số y = f(x) trên [0; 2] thì M + m = 0.
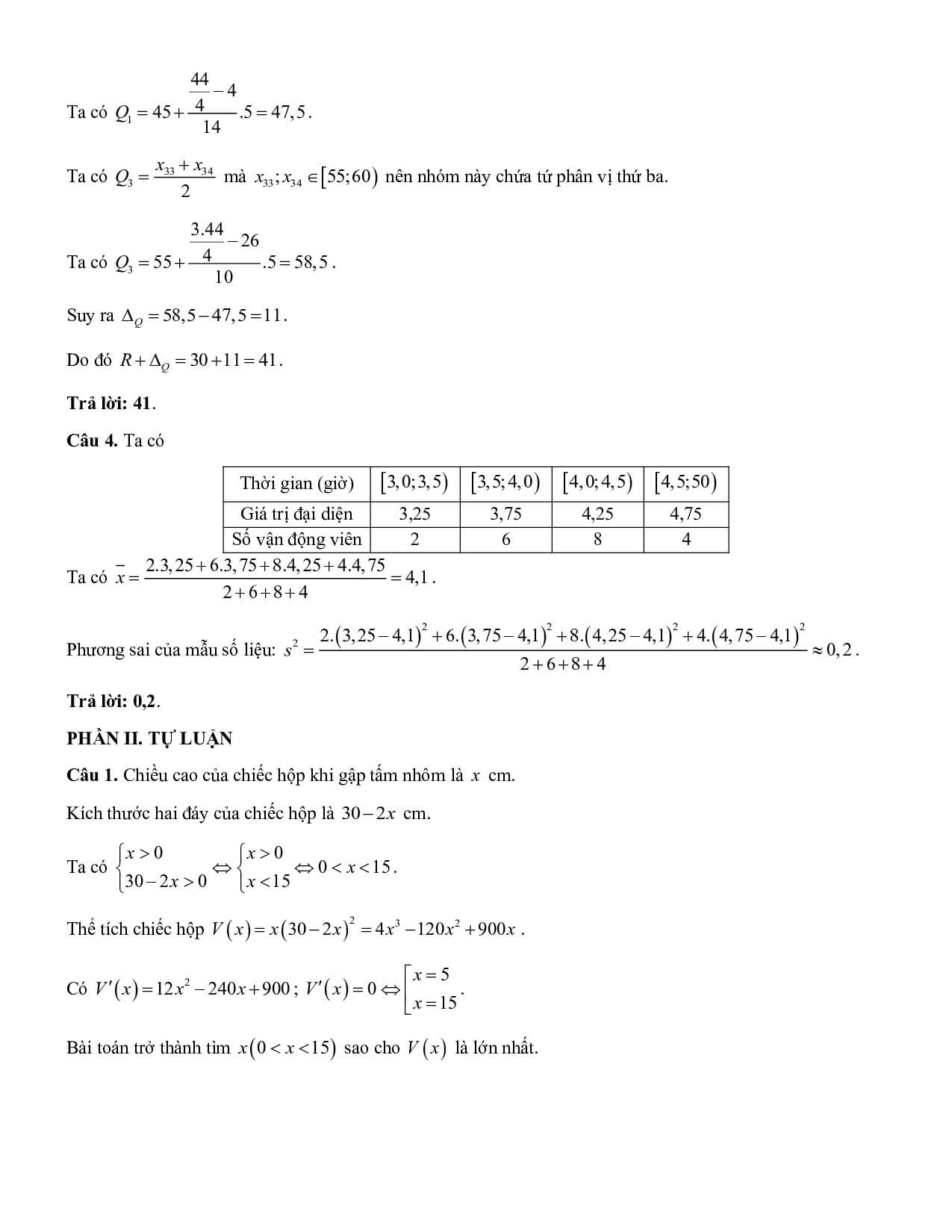
Câu 2. Trong không gian Oxyz, cho ba điểm A(-5; 0; 7), B(1; 2; 1), C(16; 5; -2). Khi đó:
a) .
b) Góc giữa hai vectơ và bằng .
c)
d) Điểm N(a; b; c) thuộc đoạn AB thỏa mãn NA = 3NB. Khi đó a + b + c = 4,5.
C. TRẢ LỜI NGẮN. Thí sinh trả lời câu 1 đến câu 4.
Câu 1. Cho hàm số y = f(x) có và . Hỏi đồ thị của hàm số đã cho có tất cả bao nhiêu đường tiệm cận đứng và tiệm cận ngang?
Câu 2. Trong không gian Oxyz, cho điểm M(2; 5; 4). Tìm tọa độ điểm M'(a; b; c) đối xứng với M qua mặt phẳng (Oyz). Tính a + b + c.
Câu 3. Một siêu thị thống kê số tiền (đơn vị: chục nghìn đồng) mà 44 khách hàng mua hàng ở siêu thị đó trong một ngày. Số liệu được ghi lại trong bảng sau:
|
Nhóm |
[40; 45) |
[45; 50) |
[50; 55) |
[55; 60) |
[60; 65) |
[65; 70) |
|
|
Tần số |
4 |
14 |
8 |
10 |
6 |
2 |
n = 44 |
Tổng của khoảng biến thiên và khoảng tứ phân vị của bảng số liệu trên bằng bao nhiêu?
Câu 4. Một nhóm vận động viên chạy marathon đã ghi lại thời gian hoàn thành cự li 42 km như sau:
|
Thời gian (giờ) |
[3; 0; 3; 5) |
[3; 5; 4; 0) |
[4; 0; 4; 5) |
[4; 5; 50) |
|
Số vận động viên |
2 |
6 |
8 |
4 |
Tìm phương sai của mẫu số liệu ghép nhóm này (làm tròn kết quả đến hàng phần mười).
PHẦN II. TỰ LUẬN
Câu 1. Cho một tấm nhôm hình vuông có cạnh là 30 cm. Người ta cắt bỏ ở bốn góc của tấm nhôm đó các hình vuông bằng nhau có cạnh là x cm, sau đó gập tấm nhôm lại để tạo thành một chiếc hộp không nắp. Tìm x để thể tích chiếc hộp là lớn nhất.
Câu 2. Một chiếc đèn tròn được treo song song với mặt phẳng nằm ngang bởi ba sợi dây không giãn xuất phát từ điểm O trên trần nhà và lần lượt buộc vào ba điểm A, B, C trên đèn tròn sao cho OA, OB, OC đôi một vuông góc với nhau. Biết khối lượng các sợi dây không đáng kể, các lực căng của sợi dây đặt tại điểm O là có độ lớn bằng nhau và bằng 20 N. Trọng lượng của chiếc đèn đó bằng bao nhiêu newton?
Câu 3. Hai chiếc flycam được điều khiển cùng bay lên tại một địa điểm. Sau một thời gian bay, chiếc flycam thứ nhất nằm cách điểm xuất phát 3 m về phía nam và 2 m về phía đông, đồng thời cách mặt đất 5 m. Chiếc flycam thứ hai nằm cách điểm xuất phát 6 m về phía bắc và 6 m về phía tây, đồng thời cách mặt đất 5 m. Chọn hệ trục tọa độ Oxyz với gốc O đặt tại điểm xuất phát của hai chiếc flycam, mặt phẳng (Oxy) trùng với mặt đất (coi như phẳng) có trục Ox hướng về phía nam, trục Oy hướng về phía đông và trục Oz hướng thẳng lên trời (đơn vị đo mỗi trục là mét). Trên mặt đất, người ta xác định được một vị trí sao cho tổng khoảng cách từ vị trí đó tới hai chiếc flycam ngắn nhất. Hỏi khoảng cách từ vị trí đó đến điểm xuất phát là bao nhiêu mét?
Sở Giáo dục và Đào tạo ...
Đề thi Học kì 1 - Kết nối tri thức
Năm học ...
Môn: Toán 12
Thời gian làm bài: phút
(Đề 2)
PHẦN I. Câu trắc nghiệm nhiều phương án lựa chọn. Thí sinh trả lời từ câu 1 đến câu 12.
Mỗi câu hỏi thí sinh chỉ chọn một phương án.
Câu 1. Cho hàm số y = f(x) có bảng biến thiên như sau
Hàm số đã cho đồng biến trên khoảng nào dưới đây?
A. (1; +∞).
B. (-1; 0).
C. (-1; 1).
D. (0; 1).
Câu 2. Giá trị nhỏ nhất trên tập xác định của hàm số có đồ thị sau là
A. .
B. .
C. .
D. .
Câu 3. Cho hàm số y = f(x) = có bảng biến thiên như sau:
Đồ thị hàm số có bao nhiêu đường tiệm cận
A. 2.
B. 3.
C. 4.
D. 1.
Câu 4. Đồ thị như hình vẽ là của hàm số
A. .
B. .
C. .
D. .
Câu 5. Hàm số y = x4 - 2x2 + 1 nghịch biến trên các khoảng nào sau đây?
A. (-∞; -1) và (0; 1).
B. (-∞; -1) và (0; ∞).
C. (-∞; 0) và (1; +∞).
D. (-1; 0) và (1; +∞).
Câu 6. Hàm số nào sau đây có một đường tiệm cận?
A. .
B. .
C. .
D. .
Câu 7. Cho hình hộp chữ nhật ABCD.A'B'C'D'. Khi đó, vectơ bằng vectơ là vectơ nào dưới đây?
A. .
B. .
C. .
D. .
Câu 8. Trong không gian Oxyz, cho điểm M (1;-2;3). Chọn khẳng định đúng trong các khẳng định sau.
A. .
B. .
C. .
D. .
Câu 9. Gọi G là trọng tâm của tứ diện ABCD. Trong các khẳng định sau, khẳng định nào sai?
A. .
B. .
C. .
D. .
Câu 10. Trong không gian Oxyz, cho hai vectơ và . Tích vô hướng bằng
A. 0.
B. 1.
C. 4.
D. 2.
Câu 11. Cho mẫu số liệu ghép nhóm cho bởi bảng như hình sau
Khoảng biến thiên của mẫu số liệu là
A. 3.
B. 9.
C. 8.
D. 15.
Câu 12. Cho mẫu số liệu ghép nhóm sau
Gọi là số trung bình cộng của mẫu số liệu trên.
.
Công thức trên dùng để tính
A. Phương sai.
B. Độ lệch chuẩn.
C. Giá trị trung bình.
D. Độ phân tán.
PHẦN II. Câu trắc nghiệm đúng sai. Thí sinh trả lời từ câu 1 đến câu 4. Trong mỗi ý a), b), c), d) ở mỗi câu, thí sinh chọn đúng hoặc sai.
Câu 1. Cho hàm số y = f(x) xác định trên ℝ và có bảng biến thiên như hình vẽ. Xét tính đúng sai của các khẳng định sau
a) Hàm số nghịch biến trên khoảng (1;7).
b) Hàm số đạt giá trị nhỏ nhất tại x = 7.
c) f(1) < f(3).
sd) Tổng giá trị lớn nhất và giá trị nhỏ nhất là −31.
Câu 2. Cho hàm số y = x3 - 3x + 1. Xét tính đúng hoặc sai của các mệnh đề sau:
a) Hàm số đồng biến trên khoảng (-1;1).
b) Trên khoảng (-∞;1), hàm số có giá trị nhỏ nhất.
c) Hàm số có đồ thị như hình
d) Gọi A, B lần lượt là điểm cực đại và điểm cực tiểu của đồ thị hàm số. Khi đó, diện tích tam giác ABC là 12 với C(-1;2).
Câu 3. Trong không gian với hệ tọa độ Oxyz, cho hình bình hành ABCD có A (-3;4;2), B(-5;6;2), C(-10;17;-7).
a) Tọa độ trung điểm của AB là (-4;5;2).
b) Tọa độ vectơ .
c) .
d) Tọa độ chân đường cao vẽ từ A của tam giác ABC là .
Câu 4. Người ta ghi lại tiền lãi (đơn vị: triệu đồng) của một số nhà đầu tư (với số tiền đầu tư như nhau), khi đầu tư vào hai lĩnh vực A, B được cho dưới bảng sau.
Xét tính đúng, sai của các mệnh đề sau
a) Khoảng biến thiên của mẫu số liệu nhà đầu tư vào lĩnh vực A là 25.
b) Độ lệch chuẩn của mẫu số liệu số nhà đầu tư vào lĩnh vực A là 5,83 (làm tròn đến hàng phần trăm).
c) Độ lệch chuẩn của mẫu số liệu số nhà đầu tư vào lĩnh vực B là 7,01 (làm tròn đến hàng phần trăm).
d) Nếu so sánh theo độ lệch chuẩn thì tiền lãi của các nhà đầu tư trong lĩnh vực A có xu hướng phân tán rộng hơn so với tiền lãi của các nhà đầu tư trong lĩnh vực B.
PHẦN III. Câu trắc nghiệm trả lời ngắn. Thí sinh trả lời câu 1 đến câu 6.
Câu 1. Một vật chuyển động theo quy luật với t (giây) là khoảng thời gian tính từ khi vật bắt đầu chuyển động và s (mét) là quãng đường vật di chuyển được trong khoảng thời gian đó. Hỏi trong khoảng thời gian 9 giây, kể từ khi bắt đầu chuyển động, vận tốc lớn nhất của vật đạt được bằng bao nhiêu m/s?
Câu 2. Cho hàm số y = f(x) có đồ thị như hình vẽ bên. Xác định số tiệm cận của đồ thị hàm số .
Câu 3. Người ta cần xây một bể chứa nước sản xuất dạng khối hộp chữ nhật không nắp có thể tích bằng 200 m3. Đáy bể là hình chữ nhật có chiều dài gấp đôi chiều rộng. Chi phí để xây bể là 350 nghìn đồng/m2. Hãy xác định chi phí thấp nhất để xây bể (làm tròn đến đơn vị triệu đồng).
Câu 4. Giả sử doanh số bán hàng (đơn vị triệu đồng) của một sản phẩm mới trong vòng 1 số năm nhất định tuân theo quy luật logistic được mô hình hóa bằng hàm số f(t) = 500(t2 + me-t), với t ≥ 0 là thời gian tính bằng năm kể từ khi phát hành sản phẩm mới, m ≤ 0 là tham số. Khi đó đạo hàm f'(t) sẽ biểu thị tốc độ bán hàng. Biết rằng tốc độ bán hàng luôn tăng trong khoảng thời gian 10 năm đầu phát hành sản phẩm, khi đó giá trị nhỏ nhất của m bằng bao nhiêu?
Câu 5. Một chiếc cân đòn tay đang cân một vật có khối lượng m = 3kg được thiết kế với đĩa cân được giữ bởi bốn đoạn xích SA, SB, SC, SD sao cho S.ABCD là hình chóp đều có . Biết độ lớn của lực căng cho mỗi sợi xích có dạng . Lấy g = 10m/s2. Khi đó giá trị của a bằng bao nhiêu?
Câu 6. Trong không gian Oxyz cho ba điểm A(3;2;-1), B(-1;-x;1), C(7;-1;y). Khi A, B, C thẳng hàng thì giá trị biểu thức x + y bằng bao nhiêu?
BẢNG ĐÁP ÁN
PHẦN I.
|
Câu |
1 |
2 |
3 |
4 |
5 |
6 |
7 |
8 |
9 |
10 |
11 |
12 |
|
Chọn |
D |
A |
B |
B |
A |
C |
A |
A |
B |
C |
D |
A |
PHẦN II.
|
Câu 1 |
Câu 2 |
Câu 3 |
Câu 4 |
|
a) S |
a) S |
a) Đ |
a) Đ |
|
b) Đ |
b) S |
b) S |
b) Đ |
|
c) Đ |
c) Đ |
c) S |
c) Đ |
|
d) S |
d) S |
d) S |
d) S |
PHẦN III.
|
Câu |
1 |
2 |
3 |
4 |
5 |
6 |
|
Chọn |
36 |
6 |
59 |
−2 |
30 |
−8 |
................................
................................
................................
Trên đây tóm tắt một số nội dung miễn phí trong bộ Đề thi Toán 12 năm 2026 mới nhất, để mua tài liệu trả phí đầy đủ, Thầy/Cô vui lòng xem thử:
Tham khảo đề thi Toán 12 Kết nối tri thức có đáp án hay khác:
Để học tốt lớp 12 các môn học sách mới:
- Giải bài tập Lớp 12 Kết nối tri thức
- Giải bài tập Lớp 12 Chân trời sáng tạo
- Giải bài tập Lớp 12 Cánh diều
Đã có app VietJack trên điện thoại, giải bài tập SGK, SBT Soạn văn, Văn mẫu, Thi online, Bài giảng....miễn phí. Tải ngay ứng dụng trên Android và iOS.
Theo dõi chúng tôi miễn phí trên mạng xã hội facebook và youtube:Nếu thấy hay, hãy động viên và chia sẻ nhé! Các bình luận không phù hợp với nội quy bình luận trang web sẽ bị cấm bình luận vĩnh viễn.
- Giáo án lớp 12 (các môn học)
- Giáo án điện tử lớp 12 (các môn học)
- Giáo án Toán 12
- Giáo án Ngữ văn 12
- Giáo án Vật Lí 12
- Giáo án Hóa học 12
- Giáo án Sinh học 12
- Giáo án Địa Lí 12
- Giáo án Lịch Sử 12
- Giáo án Lịch Sử 12 mới
- Giáo án GDCD 12
- Giáo án Kinh tế Pháp luật 12
- Giáo án Tin học 12
- Giáo án Công nghệ 12
- Giáo án GDQP 12
- Đề thi lớp 12 (các môn học)
- Đề thi Ngữ văn 12
- Đề thi Toán 12
- Đề thi Tiếng Anh 12 mới
- Đề thi Tiếng Anh 12
- Đề thi Vật Lí 12
- Đề thi Hóa học 12
- Đề thi Sinh học 12
- Đề thi Địa Lí 12
- Đề thi Lịch Sử 12
- Đề thi Giáo dục Kinh tế Pháp luật 12
- Đề thi Giáo dục quốc phòng 12
- Đề thi Tin học 12
- Đề thi Công nghệ 12


Giải bài tập SGK & SBT
Tài liệu giáo viên
Sách
Khóa học
Thi online
Hỏi đáp

