35+ Đề thi Giữa kì 1 Toán 12 Kết nối tri thức (cấu trúc mới, có đáp án)
Với bộ 35+ Đề thi Giữa kì 1 Toán 12 Kết nối tri thức năm 2026 theo cấu trúc mới có đáp án và ma trận được biên soạn và chọn lọc từ đề thi Toán 12 của các trường THPT trên cả nước sẽ giúp học sinh lớp 12 ôn tập và đạt kết quả cao trong các bài thi Giữa kì 1 Toán 12.
35+ Đề thi Giữa kì 1 Toán 12 Kết nối tri thức (cấu trúc mới, có đáp án)
Chỉ từ 150k mua trọn bộ Đề thi Toán 12 Giữa kì 1 Kết nối tri thức có lời giải bản word trình bày đẹp mắt, dễ dàng chỉnh sửa:
- B1: gửi phí vào tk:
1133836868- CT TNHH DAU TU VA DV GD VIETJACK - Ngân hàng MB (QR) - B2: Nhắn tin tới Zalo VietJack Official - nhấn vào đây để thông báo và nhận giáo án
Đề thi Giữa kì 1 Toán 12 Kết nối tri thức (Giáo viên VietJack)
Đề thi Toán 12 Giữa kì 1 năm 2025-2026 (trên cả nước)
Đề thi Giữa kì 1 Toán 12 THCS&THPT Nguyễn Bỉnh Khiêm năm 2025-2026
Đề thi Giữa kì 1 Toán 12 THCS và THPT Tạ Quang Bửu năm 2025-2026
Đề thi Giữa kì 1 Toán 12 THCS-THPT Nguyễn Khuyến năm 2025-2026
Đề thi Giữa kì 1 Toán 12 THCS-THPT Trần Cao Vân năm 2025-2026
Sở Giáo dục và Đào tạo ...
Đề thi Giữa kì 1 - Kết nối tri thức
Năm học ...
Môn: Toán 12
Thời gian làm bài: phút
(Đề 1)
PHẦN I. TRẮC NGHIỆM KHÁCH QUAN
A. TRẮC NGHIỆM NHIỀU PHƯƠNG ÁN LỰA CHỌN. Thí sinh trả lời từ câu 1 đến câu 12.
Mỗi câu hỏi thí sinh chỉ chọn một phương án.
Câu 1. Cho hàm số y = f(x) có đồ thị là đường cong hình dưới đây.
Hàm số đã cho nghịch biến trên khoảng nào dưới đây?
A. .
B. .
C. (-3; 1).
D. (0; 2).
Câu 2. Cho hàm số y = f(x) có bảng biến thiên như sau:
Hàm số đã cho đạt cực đại tại
A. x = -2.
B. x = 3.
C. x = 1.
D. x = 2.
Câu 3. Cho hàm số y = f(x) có đồ thị hàm số như hình vẽ sau:
Giá trị nhỏ nhất của hàm số trên đoạn [0; 4] là
A. -3.
B. 2.
C. 1.
D. -2.
Câu 4. Cho hàm số y = f(x) có tập xác định là ℝ và . Số tiệm cận ngang của đồ thị hàm số y = f(x) là
A. 2.
B. 0.
C. 1.
D. 3.
Câu 5. Cho hàm số y = f(x) có đồ thị như hình.
Phát biểu nào sau đây là đúng?
A. Đồ thị hàm số có đường tiệm cận đứng x = 1, đường tiệm cận ngang y = 2.
B. Đồ thị hàm số có đường tiệm cận đứng x = 2, đường tiệm cận ngang y = 1
C. Đồ thị hàm số có đường tiệm cận đứng x = 2, đường tiệm cận ngang y = 0.
D. Đồ thị hàm số có đường tiệm cận đứng x = 0, đường tiệm cận ngang y = 1.
Câu 6. Cho hàm số y = f(x) xác định, liên tục trên ℝ và có bảng biến thiên dưới đây.
Đồ thị hàm số y = f(x) cắt đường thẳng y = -2020 tại bao nhiêu điểm?
A. 0.
B. 4.
C. 2.
D. 1.
Câu 7. Đồ thị của hàm số nào dưới đây có dạng như đường cong trong hình sau?
A. .
B. .
C. .
D. .
Câu 8. Cho hình chóp tứ giác S.ABCD.
Trong các vectơ có điểm đầu và điểm cuối phân biệt thuộc tập hợp các đỉnh của hình chóp tứ giác, có bao nhiêu vectơ có giá nằm trong mặt phẳng (SCD)?
A. 3.
B. 2.
C. 6.
D. 0.
Câu 9. Cho hình hộp
Khẳng định nào sau đây là sai?
A. .
B. .
C. .
D. .
Câu 10. Cho hàm số f(x) có đạo hàm . Số điểm cực trị của hàm số đã cho là
A. 2.
B. 0.
C. 1.
D. 3.
Câu 11. Tâm đối xứng của đồ thị hàm số có toạ độ là
A. (-2; -3)
B. (2; -3)
C. (-2; 3)
D. (2; 3)
Câu 12. Cho hình chóp S.ABCD có đáy là hình bình hành. Tìm .
A. .
B. .
C. .
D. .
B. TRẮC NGHIỆM ĐÚNG - SAI. Thí sinh trả lời từ câu 1 đến câu 2. Trong mỗi ý a), b), c), d) ở mỗi câu, thí sinh chọn đúng hoặc sai.
Câu 1. Cho hàm số
a) Hàm số đồng biến trên các khoảng và
b) Đồ thị hàm số có tiệm cận ngang y = -3.
c) Giá trị nhỏ nhất của hàm số đã cho trên đoạn [0; 2025] là f(0).
d) Khoảng cách từ tâm đối xứng của đồ thị hàm số đến trục hoành bé hơn 3.
Câu 2. Cho tứ diện ABCD có , AB = 4, tam giác BCD đều cạnh 3, G là trọng tâm tam giác BCD, điểm M là trung điểm CD. Đặt , , .
a)
b) .
c) .
d) .
C. TRẢ LỜI NGẮN. Thí sinh trả lời câu 1 đến câu 4.
Câu 1. Một chuyển động xác định bởi phương trình với t ≥ 0, trong đó t tính bằng giây và s tính bằng mét. Biết bắt đầu từ giây thứ t0 thì vận tốc của vật bắt đầu tăng. Tính t0.
Câu 2. Để loại bỏ x% chất gây ô nhiễm môi trường từ khí thải của một nhà máy, người ta ước tính chi phí (triệu đồng) cần bỏ ra được mô hình hoá bởi hàm số có dạng (như hình vẽ), (0 ≤ x < 100). Tính chi phí chênh lệch (tỉ đồng) phải bỏ ra để loại bỏ 90% và loại bỏ 99% chất gây ô nhiễm từ khí thải của nhà máy.
Câu 3. Cho tứ diện ABCD. Gọi M và N lần lượt là trung điểm củaAB và CD. Tìm giá trị của k thích hợp điền vào đẳng thức vectơ: . Viết kết quả dưới dạng số thập phân.
Câu 4. Gọi M là giá trị lớn nhất, m là giá trị nhỏ nhất của hàm số trên đoạn [-1; 3]. Khi đó tính tổng M + m.
PHẦN II. TỰ LUẬN
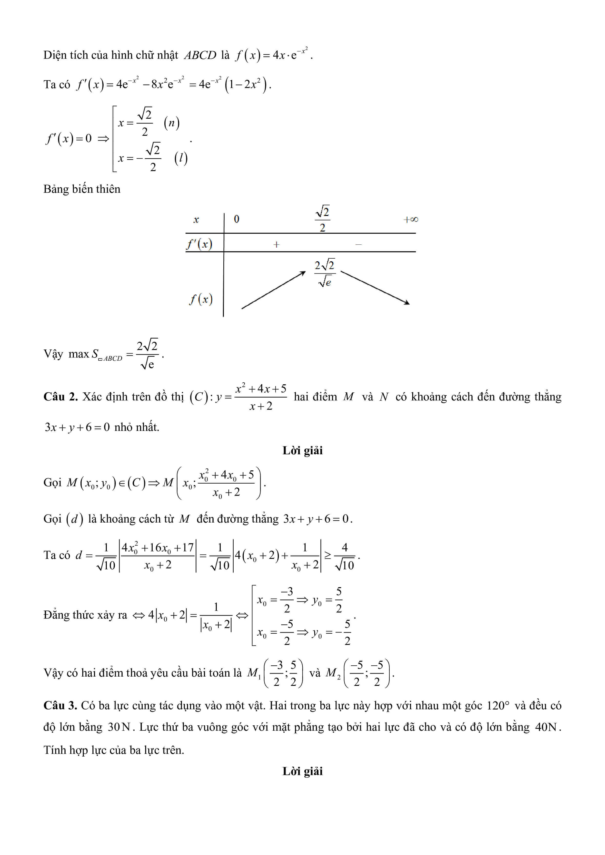
Câu 1. Cho đồ thị hàm số như hình vẽ. ABCD là hình chữ nhật thay đổi sao cho B và C luôn thuộc đồ thị hàm số đã cho và AD nằm trên trục hoành. Diện tích hình chữ nhật ABCD có giá trị lớn nhất bằng bao nhiêu?
Câu 2. Xác định trên đồ thị (C): hai điểm M và N có khoảng cách đến đường thẳng 3x + y + 6 = 0 nhỏ nhất.
Câu 3. Có ba lực cùng tác dụng vào một vật. Hai trong ba lực này hợp với nhau một góc 120° và đều có độ lớn bằng 30N. Lực thứ ba vuông góc với mặt phẳng tạo bởi hai lực đã cho và có độ lớn bằng 40N. Tính hợp lực của ba lực trên.
------------Hết------------
Sở Giáo dục và Đào tạo ...
Đề thi Giữa kì 1 - Kết nối tri thức
Năm học ...
Môn: Toán 12
Thời gian làm bài: phút
(Đề 2)
PHẦN I. Câu trắc nghiệm nhiều phương án lựa chọn. Thí sinh trả lời từ câu 1 đến câu 12. Mỗi câu hỏi thí sinh chỉ chọn một phương án.
Câu 1. Cho hàm số y = f(x) liên tục trên ℝ và có bảng biến thiên như sau:
Hàm số đã cho nghịch biến trên khoảng nào dưới đây?
A. (-∞;0).
B. (-∞;2).
C. (0;0).
D. (0;+∞).
Câu 2. Cho hàm số y = f(x) liên tục trên ℝ và có đồ thị như hình dưới đây.
Phát biểu nào sau đây là đúng?
A. xCT = -1, xCĐ = 1.
B. xCT = -1, xCĐ = 3.
C. xCT = 3, xCĐ = -1.
D. xCT = 1, xCĐ = -1.
Câu 3. Cho hàm số y = f(x) có đồ thị như hình dưới đây.
Giá trị nhỏ nhất của hàm số đã cho trên đoạn [-2;0] là:
A. -1.
B. -4.
C. -2.
D. 1.
Câu 4. Cho hàm số y = f(x) có đồ thị như hình dưới đây.
Phát biểu nào sau đây là đúng?
A. Đồ thị hàm số có đường tiệm cận đứng x = 2, đường tiệm cận ngang y = -1.
B. Đồ thị hàm số có đường tiệm cận đứng x = -1, đường tiệm cận ngang y = 2.
C. Đồ thị hàm số có đường tiệm cận đứng x = -1, đường tiệm cận ngang y = -1.
D. Đồ thị hàm số có đường tiệm cận đứng x = 2, đường tiệm cận ngang y = 0.
Câu 5. Cho hàm số y = f(x) có đồ thị như hình dưới đây.
Đường tiệm cận xiên của đồ thị hàm số đã cho là đường thẳng
A. y = x - 1.
B. y = -x - 1.
C. y = x + 1.
D. y = -x + 1.
Câu 6. Cho hàm số y = f(x) có đồ thị như hình dưới đây.
Tâm đối xứng của đồ thị hàm số có tọa độ là
A. (1;0).
B. (-1;1).
C. (2;-2).
D. (1;-1).
Câu 7. Phát biểu nào sau đây là đúng?
A. Với hai vectơ bất kì và số thực k, ta có .
B. Với hai vectơ bất kì và số thực k, ta có .
C. Với hai vectơ bất kì và số thực k, ta có .
D. Với hai vectơ bất kì và số thực k, ta có .
Câu 8. Hàm số nào sau đây nghịch biến trên ℝ?
A. .
B. y = -x3 - 3x - 2024.
C. y = -x3 - 2x2 + x + 2024.
D. 2x2 - 3x + 2024.
Câu 9. Giá trị lớn nhất của hàm số y = (x - 3)2 . ex trên đoạn [2;4] bằng
A. 0.
B. 4e.
C. e2.
D. e4.
Câu 10. Quan sát bảng biến thiên và cho biết bảng biến thiên đó là của hàm số nào.
A. .
B. .
C. .
D. .
Câu 11. Cho hàm số có đồ thị như hình vẽ.
Trong các số a,b,c,d có bao nhiêu số có giá trị dương?
A. 1.
B. 2.
C. 3.
D. 4.
Câu 12. Cho tứ diện đều ABCD có cạnh bằng a. Tích vô hướng bằng
A. a2.
B. -a2.
C. a2.
D. a2.
PHẦN II. Câu trắc nghiệm đúng sai. Thí sinh trả lời từ câu 1 đến câu 4. Trong mỗi ý a), b), c), d) ở mỗi câu, thí sinh chọn đúng hoặc sai.
Câu 1. Cho hàm số y = f(x) xác định trên ℝ và có bảng biến thiên như sau:
a) Hàm số y = f(x) đồng biến trên mỗi khoảng (-∞;1) và (3;+∞).
b) Số điểm cực trị của hàm số đã cho là 3.
c) Hàm số y = f(x) có giá trị nhỏ nhất bằng 0.
d) Đồ thị hàm số không có đường tiệm cận.
Câu 2. Cho hàm số y = ex - x + 3.
a) Hàm số đã cho nghịch biến trên ℝ.
b) Hàm số đã cho đạt cực đại tại x = 0.
c) Đồ thị hàm số cắt trục tung tại điểm có tọa độ là (0;4).
d) Đồ thị hàm số đã cho không đi qua gốc tọa độ.
Câu 3. Cho hình hộp ABCD.A'B'C'D'.
a) Các vectơ bằng với vectơ là .
b) Các vectơ đối của vectơ là .
c) .
d) .
Câu 4. Cho tứ diện ABCD có AB, AC, AD đôi một vuông góc và AB = AC = AD = 1. Gọi M là trung điểm của BC.
a) .
b) .
c) .
d) .
PHẦN III. Câu trắc nghiệm trả lời ngắn. Thí sinh trả lời từ câu 1 đến câu 6.
Câu 1. Giả sử hàm số đạt cực đại tại x = a và đạt cực tiểu tại x = b. Giá trị của biểu thức M = 2a - 3b bằng bao nhiêu?
Câu 2. Cho hàm số y = ex+2 + 5x - m với m là tham số thực. Với giá trị nào của m thì hàm số đã cho có giá trị lớn nhất trên đoạn [0;3] bằng e5?
Câu 3. Cho hình lập phương ABCD.A'B'C'D'. Gọi M,N lần lượt là trung điểm của A'D' và C'D'. Gọi φ là góc giữa hai vectơ và . Số đo của góc φ bằng bao nhiêu độ?
Câu 4. Người ta giăng lưới để nuôi riêng một loại cá trên một góc hồ. Biết rằng lưới được giăng theo một đường thẳng từ một vị trí trên bờ ngang đến một vị trí trên bờ dọc và phải đi qua một cái cọc đã cắm sẵn ở vị trí A. Diện tích nhỏ nhất có thể giăng lưới là bao nhiêu mét vuông, biết rằng khoảng cách từ cọc đến bờ ngang là 5 m và khoảng cách từ cọc đến bờ dọc là 12 m.
Câu 5. Cho hàm số có đồ thị là (C). Gọi I là giao điểm của hai đường tiệm cận của (C), M là một điểm bất kì trên (C) và tiếp tuyến của (C) tại M cắt hai tiệm cận tại A, B. Biết chu vi tam giác IAB có giá trị nhỏ nhất bằng với a,b ∈ ℕ. Giá trị của biểu thức a - b + 4 bằng bao nhiêu?
Câu 6. Có ba lực cùng tác động vào một cái bàn như hình vẽ dưới. Trong đó hai lực tạo với nhau một góc 110° và có độ lớn lần lượt là 9 N và 4 N, lực vuông góc với mặt phẳng tạo bởi hai lực và có độ lớn 7 N. Độ lớn hợp lực của ba lực trên là bao nhiêu Newton (làm tròn kết quả đến hàng đơn vị của Newton)?
----------HẾT----------
ĐÁP ÁN CHI TIẾT
PHẦN I. Câu trắc nghiệm nhiều phương án lựa chọn
|
1. C |
2. D |
3. B |
4. A |
5. B |
6. D |
|
7. A |
8. B |
9. D |
10. D |
11. B |
12. C |
PHẦN II. Câu trắc nghiệm đúng sai
Câu 1. a) S, b) Đ, c) Đ, d) Đ.
Câu 2. a) S, b) S, c) Đ, d) Đ.
Câu 3. a) Đ, b) S, c) S, d) Đ.
Câu 4. a) Đ, b) S, c) S, d) Đ.
PHẦN III. Câu trắc nghiệm trả lời ngắn
Câu 1. Đáp số: -7.
Câu 2. Đáp số: 15.
Câu 3. Đáp số: 60.
Câu 4. Đáp số: 120.
Câu 5. Đáp số: 0.
Câu 6. Đáp số: 11.
----------HẾT----------
................................
................................
................................
Trên đây tóm tắt một số nội dung miễn phí trong bộ Đề thi Toán 12 năm 2026 mới nhất, để mua tài liệu trả phí đầy đủ, Thầy/Cô vui lòng xem thử:
Tham khảo đề thi Toán 12 Kết nối tri thức có đáp án hay khác:
Để học tốt lớp 12 các môn học sách mới:
- Giải bài tập Lớp 12 Kết nối tri thức
- Giải bài tập Lớp 12 Chân trời sáng tạo
- Giải bài tập Lớp 12 Cánh diều
Đã có app VietJack trên điện thoại, giải bài tập SGK, SBT Soạn văn, Văn mẫu, Thi online, Bài giảng....miễn phí. Tải ngay ứng dụng trên Android và iOS.
Theo dõi chúng tôi miễn phí trên mạng xã hội facebook và youtube:Nếu thấy hay, hãy động viên và chia sẻ nhé! Các bình luận không phù hợp với nội quy bình luận trang web sẽ bị cấm bình luận vĩnh viễn.
- Giáo án lớp 12 (các môn học)
- Giáo án điện tử lớp 12 (các môn học)
- Giáo án Toán 12
- Giáo án Ngữ văn 12
- Giáo án Vật Lí 12
- Giáo án Hóa học 12
- Giáo án Sinh học 12
- Giáo án Địa Lí 12
- Giáo án Lịch Sử 12
- Giáo án Lịch Sử 12 mới
- Giáo án GDCD 12
- Giáo án Kinh tế Pháp luật 12
- Giáo án Tin học 12
- Giáo án Công nghệ 12
- Giáo án GDQP 12
- Đề thi lớp 12 (các môn học)
- Đề thi Ngữ văn 12
- Đề thi Toán 12
- Đề thi Tiếng Anh 12 mới
- Đề thi Tiếng Anh 12
- Đề thi Vật Lí 12
- Đề thi Hóa học 12
- Đề thi Sinh học 12
- Đề thi Địa Lí 12
- Đề thi Lịch Sử 12
- Đề thi Giáo dục Kinh tế Pháp luật 12
- Đề thi Giáo dục quốc phòng 12
- Đề thi Tin học 12
- Đề thi Công nghệ 12


Giải bài tập SGK & SBT
Tài liệu giáo viên
Sách
Khóa học
Thi online
Hỏi đáp

