Đề kiểm tra 45 phút Toán lớp 6 Chương 3 có đáp án (Đề 2)
Đề kiểm tra 45 phút Toán lớp 6 Chương 3 có đáp án (Đề 2)
Bài 1. (4 điểm) Tính bằng cách hợp lí (nếu có thể):
Bài 2. (3 điểm) Tìm x, biết:
Bài 3. (3 điểm) Một bà đi chợ bán trứng, lần đầu bà bán được 2/5 số trứng , lần 2 bà bán được 2/3 số trứng còn lại, cuối cùng còn lại 10 quả . hỏi số trứng ban đầu bà mang đi bán là bao nhiêu quả?
Đáp án và Hướng dẫn giải
Bài 1.
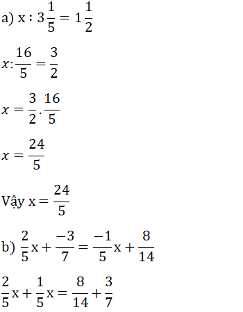
Bài 2.
|x - 2| = 1
x - 2 = 1 hoặc x - 2 = -1
x = 3 hoặc x = 1
Vậy x = 3 hoặc x = 1
Bài 3.
Số trứng còn lại sau lần bán đầu tiên là:
Lần thứ hai, bà bán được:
Phân số ứng với 10 quả trứng còn lại là:
Vậy số trứng ban đầu bà mang đi bán là:
Các Đề kiểm tra 15 phút, 1 tiết Toán lớp 6 Chương 3 phần Số học khác:
Mục lục Đề thi Toán 6 theo chương và học kì:
- Chương 1: Ôn tập và bổ túc về số tự nhiên
- Chương 2: Số nguyên
- Chương 1: Đoạn thẳng
- Đề thi Toán 6 Học kì 1
- Chương 3: Phân số
- Chương 2: Góc
- Đề thi Toán 6 Học kì 2
- Đề thi học sinh giỏi toán 6
Loạt bài Đề thi Toán 6 | Đề thi 15 phút, 45 phút, 1 tiết, học kì 1, học kì 2 Toán 6 có đáp án của chúng tôi được biên soạn bám sát nội dung sgk Toán 6 Tập 1 và Tập 2 gồm đầy đủ 2 phần: Số học và Hình học giúp bạn giành điểm cao trong các bài kiểm tra Toán lớp 6 hơn.
Nếu thấy hay, hãy động viên và chia sẻ nhé! Các bình luận không phù hợp với nội quy bình luận trang web sẽ bị cấm bình luận vĩnh viễn.
- Giáo án lớp 6 (các môn học)
- Giáo án điện tử lớp 6 (các môn học)
- Giáo án Ngữ văn 6
- Giáo án Toán 6
- Giáo án Tiếng Anh 6
- Giáo án Khoa học tự nhiên 6
- Giáo án Lịch Sử 6
- Giáo án Địa Lí 6
- Giáo án GDCD 6
- Giáo án Tin học 6
- Giáo án Công nghệ 6
- Giáo án HĐTN 6
- Giáo án Âm nhạc 6
- Giáo án Vật Lí 6
- Giáo án Sinh học 6
- Đề thi lớp 6 (các môn học)
- Đề thi Toán 6 (có đáp án)
- Đề cương ôn tập Toán lớp 6
- Chuyên đề dạy thêm Toán 6 năm 2024 (có lời giải)
- Đề thi Ngữ Văn 6 (có đáp án)
- Chuyên đề Tiếng Việt lớp 6
- Bộ Đề thi Tiếng Anh 6 (có đáp án)
- Bộ Đề thi Khoa học tự nhiên 6 (có đáp án)
- Đề thi Lịch Sử & Địa Lí 6 (có đáp án)
- Đề thi Địa Lí 6 (có đáp án)
- Đề thi Lịch Sử 6 (có đáp án)
- Đề thi GDCD 6 (có đáp án)
- Đề thi Tin học 6 (có đáp án)
- Đề thi Công nghệ 6 (có đáp án)
- Đề thi Toán Kangaroo cấp độ 3 (Lớp 5, 6)
Giải bài tập SGK & SBT
Tài liệu giáo viên
Sách
Khóa học
Thi online
Hỏi đáp



