Đề thi học sinh giỏi Toán lớp 6 có đáp án (Đề 2)
Đề thi học sinh giỏi Toán lớp 6 có đáp án (Đề 2)
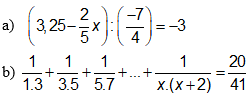
Bài 1. Tìm x, biết:
Bài 2.
Bài 3.
Tính số học sinh của lớp 6A.
Bài 4. Trên cùng một nửa mặt phẳng bờ là đường thẳng chứa tia Ox, vẽ hai tia Oy, Oz sao cho ∠xOy=70o , ∠xOz=35o
a) So sánh góc xOz và góc yOz
b) Tia Oz có là phân giác góc xOy không? Vì sao?
c) Vẽ Om là tia đối của tia Oz. So sánh ∠xOm và ∠yOm
Đáp án và Hướng dẫn giải
Bài 1.
Bài 2.
Bài 3. Phân số chỉ 2 học sinh thêm vào đạt loại giỏi là:
Bài 4.
a) ∠xOz = ∠yOz =35o
b)Tia Oz là phân giác của góc xOy
c) ∠xOm = ∠yOm.
Xem thêm các Đề thi học sinh giỏi Toán lớp 6 chọn lọc, có đáp án hay khác:
Mục lục Đề thi Toán 6 theo chương và học kì:
- Chương 1: Ôn tập và bổ túc về số tự nhiên
- Chương 2: Số nguyên
- Chương 1: Đoạn thẳng
- Đề thi Toán 6 Học kì 1
- Chương 3: Phân số
- Chương 2: Góc
- Đề thi Toán 6 Học kì 2
- Đề thi học sinh giỏi toán 6
Loạt bài Đề thi Toán 6 | Đề thi 15 phút, 45 phút, 1 tiết, học kì 1, học kì 2 Toán 6 có đáp án của chúng tôi được biên soạn bám sát nội dung sgk Toán 6 Tập 1 và Tập 2 gồm đầy đủ 2 phần: Số học và Hình học giúp bạn giành điểm cao trong các bài kiểm tra Toán lớp 6 hơn.
Nếu thấy hay, hãy động viên và chia sẻ nhé! Các bình luận không phù hợp với nội quy bình luận trang web sẽ bị cấm bình luận vĩnh viễn.
- Giáo án lớp 6 (các môn học)
- Giáo án điện tử lớp 6 (các môn học)
- Giáo án Ngữ văn 6
- Giáo án Toán 6
- Giáo án Tiếng Anh 6
- Giáo án Khoa học tự nhiên 6
- Giáo án Lịch Sử 6
- Giáo án Địa Lí 6
- Giáo án GDCD 6
- Giáo án Tin học 6
- Giáo án Công nghệ 6
- Giáo án HĐTN 6
- Giáo án Âm nhạc 6
- Giáo án Vật Lí 6
- Giáo án Sinh học 6
- Đề thi lớp 6 (các môn học)
- Đề thi Toán 6 (có đáp án)
- Đề cương ôn tập Toán lớp 6
- Chuyên đề dạy thêm Toán 6 năm 2024 (có lời giải)
- Đề thi Ngữ Văn 6 (có đáp án)
- Chuyên đề Tiếng Việt lớp 6
- Bộ Đề thi Tiếng Anh 6 (có đáp án)
- Bộ Đề thi Khoa học tự nhiên 6 (có đáp án)
- Đề thi Lịch Sử & Địa Lí 6 (có đáp án)
- Đề thi Địa Lí 6 (có đáp án)
- Đề thi Lịch Sử 6 (có đáp án)
- Đề thi GDCD 6 (có đáp án)
- Đề thi Tin học 6 (có đáp án)
- Đề thi Công nghệ 6 (có đáp án)
- Đề thi Toán Kangaroo cấp độ 3 (Lớp 5, 6)
Giải bài tập SGK & SBT
Tài liệu giáo viên
Sách
Khóa học
Thi online
Hỏi đáp



